|
|
Понравилась статья? Поделитесь с друзьями:
|
|
|
|
|
|
|
|
|
Развитие городской системы России: тенденции и факторы[1]
Коломак Е.[2]
(Опубликовано в журнале "Вопросы экономики", 2014,
№10, с. 82-96)
В последнее столетие роль городов в экономических и
социальных процессах возросла. Эта тенденция имеет глобальный характер
и наблюдается практически во всех странах. В 1900 г. в городах проживало
13% населения мира, в 1950 г. - 29, в 1990 - 46%, в 2010 г. - уже
больше половины. При этом увеличивается не только численность городского
населения, но и его концентрация, опережающими темпами растут крупные
города. Если в начале XX в. было 10 городов с населением больше
1 млн. человек, то к 2000 г. их число достигло 400. В городах сосредоточены
ресурсы развития, динамичные секторы экономики, инновационные и
культурные центры. Этим объясняется рост интереса к развитию городских
систем, выявлению влияющих на них тенденций и факторов, теме городов
посвящены доклады ООН[3].
Анализу развития городской системы в современной России
посвящено немного исследований. А. Трейвиш[4]
показал применимость теории дифференцированной урбанизации к крупным
российским регионам. В соавторстве с Т. Нефедовой он оценивает состояние
городов страны и прогнозирует их реакцию на финансовый кризис[5].
Ж. Зайончковская и Н. Ноздрина[6]
изучали миграцию населения и ареал притягательности крупных городов
на основе социологических обследований. Коллектив авторов из Института
народнохозяйственного прогнозирования РАН представил основные характеристики
развития городов России в последнее десятилетие[7].
Мы рассмотрим, как изменилась урбанистическая система страны с начала
рыночных реформ, и протестируем полученные результаты на основе
теории пространственного равновесия.
Основные концепции и прогнозы
Эволюция городской системы России начиная с 1990-х годов
проходила в уникальных условиях: наследство централизованной системы
планирования сочеталось с введением рыночных механизмов управления.
Пространственная политика советского периода была направлена на
достижение более равномерного распределения населения по территории
страны и на стимулирование развития восточных и северных территорий.
Инструментами этой политики выступали создание новых производств
и индустриальных центров в отдаленных районах, реализация крупных
инфраструктурных проектов на неосвоенных территориях, ограничения
на переезд из села в город и из малых городов в крупные. В начале
переходного периода в ряде работ прогнозировались резкие изменения
в пространственной модели развития России в результате отмены "прописки",
отсутствия регулирования миграционных потоков, отмены субсидий северным
территориям и отказа от активного государственного регулирования[8].
В частности, указывалось, что возможна интенсивная миграция населения
из сельской местности в города, из средних и малых городов в крупные
города и агломерации, особенно в Москву и Санкт-Петербург, прогнозировалось
нарастание серьезных социальных, экономических и демографических
проблем в промышленных центрах северной и восточной частей страны.
Эти предположения основаны на идее множественности пространственного
равновесия, которая получила обоснование в теории новой экономической
географии[9]. В модели "центр-периферия"
показано, что на распределение экономической активности в пространстве
в условиях рыночного механизма влияют издержки взаимодействия экономических
агентов, возрастающая отдача на масштаб, размер рынка и разнообразие
производимых продуктов. В равновесии может формироваться поляризованная
либо рассредоточенная пространственная структура производства и
занятости. Причем тенденция к пространственной концентрации различается
по секторам экономики, поэтому возможны разные комбинации поляризации
и дисперсии и соответственно разные пространственные модели экономического
развития.
Однако существуют теории, согласно которым системы расселения
отличаются высокой стабильностью, к ним относятся закон Ципфа и
концепция географического и исторического детерминизма. Закон
Ципфа - это эмпирическая закономерность в распределении городов,
которая получила подтверждение для многих стран и демонстрирует
высокую устойчивость. В соответствии с ней размер города обратно
пропорционален его рангу. В одной из работ показано, что такая закономерность
соответствует стохастическому процессу: если города будут расти
случайным образом с одинаковым средним значением темпа роста и одинаковым
среднеквадратическим отклонением, то в пределе распределение будет
сходиться к закону Ципфа[10].
Из стабильности распределения размера городов следует, что допустимы
колебания численности населения отдельных городов, однако это не
сопровождается увеличением (или сокращением) неоднородности в урбанистической
системе и процессами концентрации (или деконцентрации) городского
населения.
Приверженцы географического и исторического детерминизма
утверждают, что системы расселения обладают большой устойчивостью,
которая обеспечивается географическими, климатическими и историческими
факторами, а пространственное равновесие - единственно. Для доказательства
корректности теоретических заключений обращаются, как правило, к
реальным процессам, однако однозначных эмпирических подтверждений
ни множественности, ни единственности пространственного равновесия
до сих пор не получено. Поиски эмпирических обоснований основаны
на предположении, что смена равновесия и переход к другой системе
расселения могут произойти вследствие крупных потрясений или изменения
исторических трендов в развитии страны. Начало данному направлению
положили работы Д. Дэвиса и Д. Вайнштейна, в которых оценивается
влияние американских бомбардировок во время Второй мировой войны
на размещение населения и промышленности Японии[11].
Авторы не получили подтверждения гипотезы множественности пространственного
равновесия, скорее были выдвинуты аргументы в пользу его единственности.
Не только население и общее промышленное производство, но и выпуск
продукции отдельных отраслей демонстрировали тенденцию к восстановлению
довоенной пространственной структуры. К такому же выводу пришли
авторы работ, где оценивалось влияние бомбардировок немецких и вьетнамских
городов: долгосрочного воздействия на пространственное распределение
экономической активности в этих странах не было выявлено[12].
Авторы некоторых исследований делают вывод о смене пространственного
равновесия. М. Боскер и соавторы анализируют последствия Второй
мировой войны для Германии и выявляют устойчивые изменения в послевоенном
распределении населения по городам страны[13].
Другой коллектив ученых изучает последствия раздела Германии в 1945
г. и ее объединения в 1990 г. на основе данных об авиаперевозках
и загрузке аэропортов и приходит к заключению, что произошла смена
пространственной модели развития[14].
Стабильность пространственных пропорций, которая, несмотря
на серьезные разрушения и катаклизмы, наблюдается во многих странах,
является аргументом сторонников географического и исторического
детерминизма. Если вернуться к примерам Германии, Японии и Вьетнама,
то можно заметить, что эти страны не располагали большими возможностями
для пространственного маневра. Высокая плотность населения, практически
полное освоение территории, отсутствие подходящих промышленных площадок,
особенности рельефа и климата выступали ограничениями в формировании
альтернативных схем размещения населения и производства. Исторические
и культурные связи также работают в направлении сохранения традиций,
в том числе в отношении мест проживания: они сдерживают мобильность
населения и закрепляют сложившуюся систему расселения.
Эволюция системы российских городов с начала 1990-х
годов представляет собой результат реального исторического эксперимента
перехода от нерыночного пространственного равновесия к рыночному.
Жесткое регулирование внутренней миграции, ограничивающее рост крупных
городов, промышленная политика, поддерживающая развитие средних
и малых городов, активная региональная политика, направленная на
сглаживание межрегиональных различий, значительные субсидии северным
и восточным городам в основном ушли в прошлое. Привели ли шоки рыночных
реформ и отсутствие централизованного планирования к изменению городской
системы страны? Особенности российской ситуации следующие. Во-первых,
обширные территории России предоставляют большую гибкость и пространственный
маневр в размещении, чем Германия, Япония или Вьетнам, где плотность
и освоенность территорий достаточно высоки. Во-вторых, имеет место
не деструктивный технический шок, а институциональный, и он носит
конструктивный характер. В-третьих, его влияние распространяется
на всю страну, а не на ограниченную территорию бомбежек и переселений.
Изменение российской системы городов
В анализе используется два источника информации: отчеты
Федеральной службы государственной статистики и база данных статистического
портала Мультистат "Экономика городов России". Данные Росстата содержат
агрегированные характеристики городской системы страны в целом,
в базе данных Мультистата представлены характеристики развития отдельных
населенных пунктов, которые имеют статус города. Поскольку нас интересует
влияние реформ, то рассматривается период с 1991 г. по 2012 г.
В соответствии с российским законодательством населенный
пункт может получить статус города, если численность его населения
более 12 тыс. человек и менее 15% жителей заняты в сельском хозяйстве.
Однако в России много городов (208 из 1092), в которых число жителей
меньше 12 тыс. человек. Причина этого - в снижении численности населения
в стране за последние десятилетия. Поселения сохраняют положение
города, так как имели его раньше или благодаря важным историческим
событиям, с которыми ассоциируется городской статус. При этом существуют
населенные пункты, которые удовлетворяют формальным требованиям
города, но остаются поселениями сельского типа, чтобы сохранить
льготы, предоставляемые жителям сельской местности.
До 2006 г. городское население России сокращалось, с
2007 г. начался его рост, при этом доля горожан в общей численности
населения стала расти с 1995 г. (табл. 1). Таким образом, в течение
20 лет население страны сокращалось быстрее, чем его городская часть.
Снятие административных барьеров на миграцию внутри страны, как
и предполагалось, привело к росту городского населения за счет сокращения
доли сельских жителей. Основным фактором снижения численности городского
населения был отрицательный естественный прирост. Несмотря на то
что города привлекали население и сальдо миграции было положительным
на протяжении практически всего рассматриваемого периода, концентрация
населения в городах не компенсировала снижение рождаемости и влияние
административных реформ. Административно-территориальные преобразования
вносили изменения в статистику городского населения в результате
преобразования городских населенных пунктов в сельские и наоборот,
а также при изменении границ муниципальных образований.
Таблица 1. Численность городского населения
России
|
Год
|
Городское население
|
Компонент изменения численности городского населения,
тыс. человек
|
Темп прироста, %
|
|
% общей численности
|
млн человек
|
естественный прирост
|
миграционный прирост
|
изменение статуса населенного пункта
|
|
1991
|
73,6
|
109,4
|
61,9
|
74,1
|
-183,4
|
-0,04
|
|
1992
|
73,1
|
108,7
|
-186,4
|
-42,3
|
-460,6
|
-0,63
|
|
1993
|
73,0
|
108,3
|
-553,6
|
260,4
|
-70,4
|
-0,33
|
|
1994
|
73,0
|
108,3
|
-649,8
|
686,9
|
-20,2
|
0,02
|
|
1995
|
73,0
|
108,3
|
-615,5
|
606,1
|
-1,7
|
-0,01
|
|
1996
|
73,1
|
108,2
|
-555,1
|
489,8
|
-57,5
|
-0,11
|
|
1997
|
73,1
|
108,1
|
-514,6
|
481,3
|
-43,7
|
-0,07
|
|
1998
|
73,2
|
108,1
|
-487,8
|
397,8
|
32,4
|
-0,05
|
|
1999
|
73,1
|
107,4
|
-653,7
|
219,6
|
-199,6
|
-0,59
|
|
2000
|
73,2
|
107,1
|
-674,9
|
365,2
|
-38,1
|
-0,32
|
|
2001
|
73,3
|
106,7
|
-661,1
|
330,4
|
-15,7
|
-0,32
|
|
2002
|
73,3
|
106,3
|
-634,6
|
257,5
|
-27,0
|
-0,38
|
|
2003
|
73,4
|
105,8
|
-606,9
|
127,8
|
-23,7
|
-0,27
|
|
2004
|
73,1
|
105,2
|
-532,7
|
369,2
|
-693,9
|
-0,81
|
|
2005
|
73,2
|
104,8
|
-558,9
|
399,5
|
-204,1
|
-0,35
|
|
2006
|
73,3
|
104,7
|
-456,7
|
422,2
|
-52,4
|
-0,08
|
|
2007
|
73,5
|
104,9
|
-324,6
|
406,0
|
52,0
|
0,13
|
|
2008
|
73,5
|
104,9
|
-248,7
|
412,3
|
-113,2
|
0,05
|
|
2009
|
73,6
|
105,1
|
-160,0
|
393,0
|
-87,1
|
0,14
|
|
2010
|
73,8
|
105,4
|
-157,9
|
500,3
|
17,4
|
0,34
|
|
2011
|
73,9
|
105,7
|
-86,6
|
470,0
|
-62,6
|
0,30
|
|
2012
|
74,0
|
106,1
|
2,0
|
461,6
|
-87,3
|
0,36
|
Источник: Росстат.
Причинами административных реформ был целый спектр факторов,
причем они имели разнонаправленное влияние. Сокращение населения
малых городов приводило к смене их статуса и соответственно к уменьшению
городского населения. Субсидии и льготы сельским поселениям создавали
стимулы сохранять статус сельского поселения, несмотря на формальное
соответствие городскому типу. Рост экономической активности и спрос
на соседние территории со стороны крупных городов завершался расширением
их границ за счет сельских муниципальных образований, в результате
численность городского населения увеличивалась. Такие реорганизации
обусловили колебания отчетных данных, при этом реальная структура
расселения и производственной активности изменялась мало. Наиболее
значительно административно-территориальные преобразования повлияли
на статистику численности городского населения в 1992 и 2004 гг.
Вследствие административно-территориальных преобразований
нельзя сопоставить статистические данные за различные годы по городам,
которые были затронуты реформой. Для решения этой проблемы информация
базы "Экономика городов России" подвергнута обработке. Во-первых,
если происходило объединение городов, то данные по объединенным
городам суммировались для всего периода наблюдений. Во-вторых, если
город в какой-то момент получал статус поселения сельского типа,
то он исключался из выборки и за предшествующие периоды. В-третьих,
несколько городов было исключено из выборки (все они относились
к категории малых) из-за нестабильности структуры данных или из-за
их отсутствия в течение длительного периода. Следует отметить, что
эта модификация не повлияла заметным образом на результаты анализа,
так как она мало затронула верхнюю часть распределения городов,
где представлены крупные города, а число малых городов в выборке
достаточно большое.
В результате выборка, построенная на информации базы
"Экономика городов России", включала данные по 1011 городам. В таблице
2 приведены характеристики выборки, на основе которой изучалось
развитие городской системы страны. В выборке представлена большая
часть городского населения, и охват увеличился за рассматриваемый
период на 4,5% (с 87 до 91,5%). Средний размер города вырос на 2%
(с 94,17 тыс. до 95,65 тыс. человек), но при этом размер медианного
города снизился на 7% (с 31 тыс. до 28,88 тыс. человек). Из разнонаправленной
динамики средней и медианы следует, что крупные города росли быстрее,
чем малые. Это подтверждает увеличение с 2000 г. коэффициента вариации,
свидетельствующее о неравномерном распределении населения между
городами и о росте неоднородности российской городской системы.
Таблица 2. Описание выборки
городов России*
|
Год
|
Доля населения городов в выборке в общем городском населении
России, %
|
Средняя численность населения города, тыс. человек
|
Численность населения медианного города, тыс. человек
|
Коэффициент вариации (отношение стандартного отклонения
к среднему значению)
|
|
1991
|
87,0
|
94,17
|
31,00
|
3,78
|
|
1992
|
87,1
|
94,20
|
31,00
|
3,76
|
|
1993
|
87,3
|
93,81
|
31,20
|
3,75
|
|
1994
|
87,1
|
93,31
|
31,20
|
3,80
|
|
1995
|
86,6
|
92,77
|
30,90
|
3,71
|
|
1996
|
86,4
|
92,60
|
30,90
|
3,70
|
|
1997
|
86,3
|
92,41
|
30,80
|
3,70
|
|
1998
|
86,1
|
92,06
|
30,40
|
3,71
|
|
1999
|
88,5
|
94,62
|
31,40
|
3,63
|
|
2000
|
88,6
|
94,17
|
31,10
|
3,64
|
|
2001
|
88,5
|
93,71
|
31,00
|
3,65
|
|
2003
|
89,5
|
94,09
|
30,10
|
4,13
|
|
2004
|
89,5
|
93,83
|
30,10
|
4,14
|
|
2005
|
90,1
|
93,73
|
29,82
|
4,15
|
|
2006
|
90,1
|
93,41
|
29,63
|
4,16
|
|
2007
|
90,1
|
93,34
|
29,71
|
4,17
|
|
2008
|
90,0
|
93,35
|
29,72
|
4,18
|
|
2009
|
89,8
|
93,23
|
29,09
|
4,19
|
|
2010
|
91,5
|
95,09
|
29,11
|
4,44
|
|
2011
|
91,3
|
95,34
|
29,17
|
4,44
|
|
2012
|
91,5
|
95,65
|
28,88
|
4,45
|
|
2012 - 1991
|
4,5
|
1,48
|
-2,12
|
0,67
|
* В базе данных "Экономика городов России" отсутствует информация
для 2002 г., этот год не представлен в выборке.
Источник: База данных "Экономика городов России" / Росстат.
С учетом мировых трендов особый интерес представляют
крупные города. Характеристики их абсолютной и относительной динамики
приведены в таблице 3. К крупнейшим городам России относятся Москва,
Санкт-Петербург, Новосибирск, Екатеринбург и Нижний Новгород. За
период с 1991 по 2012 г. суммарная доля населения этих городов выросла,
однако только благодаря Москве. Абсолютный и относительный рост
численности населения в столице начался в 2000 г. и был довольно
быстрым. Остальные крупнейшие города страны теряли население, и
их доля в городском населении сокращалась. Однако наблюдалась интересная
динамика развития крупных городов, где численность населения составляла
более 500 тыс. человек: их абсолютный и относительный вес в городской
системе увеличивался. Концентрация городского населения в крупных
городах второго эшелона выразилась в увеличении коэффициента вариации
размера городов.
Таблица 3. Вес крупных и крупнейших
городов в городском населении
|
Год
|
Москва
|
Пять крупнейших городов
|
Крупные города
|
|
тыс. человек
|
% населения РФ
|
тыс. человек
|
% населения РФ
|
тыс. человек.
|
% населения РФ
|
|
1991
|
8911,30
|
9,36
|
18086,10
|
19,00
|
40228,10
|
42,25
|
|
1992
|
8864,90
|
9,31
|
18000,85
|
18,90
|
40134,15
|
42,14
|
|
1993
|
8789,20
|
9,27
|
17833,10
|
18,80
|
39399,30
|
41,54
|
|
1994
|
8700,90
|
9,23
|
18048,50
|
19,13
|
38774,40
|
41,10
|
|
1995
|
8625,40
|
9,20
|
17376,10
|
18,53
|
38138,00
|
40,66
|
|
1996
|
8572,40
|
9,16
|
17271,60
|
18,45
|
37508,90
|
40,06
|
|
1997
|
8546,60
|
9,15
|
17216,70
|
18,43
|
37974,70
|
40,65
|
|
1998
|
8537,20
|
9,17
|
17207,10
|
18,49
|
37899,60
|
40,72
|
|
1999
|
8538,20
|
8,93
|
17276,60
|
18,06
|
40962,90
|
42,82
|
|
2000
|
8537,20
|
8,97
|
17222,60
|
18,09
|
39836,60
|
41,84
|
|
2001
|
8546,10
|
9,02
|
17214,20
|
18,17
|
39163,70
|
41,34
|
|
2003
|
10386,90
|
10,92
|
19068,40
|
20,05
|
41972,90
|
44,13
|
|
2004
|
10391,50
|
10,95
|
19059,80
|
20,09
|
41347,00
|
43,59
|
|
2005
|
10406,58
|
10,98
|
19037,05
|
20,09
|
41286,03
|
43,57
|
|
2006
|
10425,08
|
11,04
|
19025,88
|
20,15
|
41278,18
|
43,71
|
|
2007
|
10442,66
|
11,07
|
19030,44
|
20,17
|
41727,58
|
44,22
|
|
2008
|
10470,32
|
11,09
|
19057,96
|
20,19
|
41773,83
|
44,26
|
|
2009
|
10508,97
|
11,15
|
19124,38
|
20,29
|
41382,93
|
43,90
|
|
2010
|
11503,50
|
11,97
|
20485,60
|
21,31
|
43717,34
|
45,48
|
|
2011
|
11541,10
|
11,99
|
20563,38
|
21,36
|
43837,88
|
45,53
|
|
2012
|
11612,94
|
12,01
|
20739,84
|
21,45
|
43711,79
|
45,20
|
|
2012 – 1991
|
2701,64
|
2,65
|
2653,74
|
2,45
|
3483,69
|
2,95
|
Источник: База данных "Экономика городов России" / Росстат.
Эти наблюдения соответствуют предположениям, высказанным
в начале рыночных реформ, однако интенсивность процессов не оправдала
ожиданий. Действительно, отказ от регулирования внутренней миграции
привел к перемещению населения в города. Но доля городских жителей
увеличилась всего на 0,4% - за 12 лет такое изменение нельзя назвать
заметным. Как и предсказывалось, увеличивались вес крупных городов
и неоднородность урбанистической системы страны, но активными процессы
концентрации можно считать только в одном мегаполисе - в Москве.
Если сравнить распределение размера городов в 1991 и
2012 гг., то можно заметить отсутствие кардинальных изменений: линии
практически совпадают (рис. 1). Отличие состоит в том, что распределение
для 2012 г. имеет чуть более плоскую форму и соответственно более
длинные "хвосты". Содержательно это означает, что развитие крупных
городов сопровождалось сокращением населения, главным образом, в
городах среднего размера. Доля населения малых городов в общей численности
городского населения не сократилась. Сопоставим ситуацию в России
с выявленными и обсуждаемыми тенденциями в мире.

Рисунок 1. Распределение городов России по размеру
в 1991 и 2012 гг.
Стала ли Россия ближе к закономерности Ципфа?
Закон Ципфа выведен на основе эмпирических наблюдений
во многих странах, но этот феномен не получил теоретического объяснения.
В соответствии с этой статистической закономерностью распределение
размера городов в стране хорошо аппроксимируется Парето-распределением.
В результате в регрессии lnSi = ? + ? lnRi
+ ?i, где Si - логарифм численности
населения города, a Ri - логарифм порядкового
номера города в упорядоченной по убыванию последовательности (или
ранга), коэффициент ? равен -1. Содержательная трактовка закона
следующая: вероятность того, что размер города больше S,
пропорциональна 1/S, и коэффициент пропорциональности равен
?. Если ? = -1, то самый большой город в 2 раза больше второго по
численности населения города, в 3 раза больше третьего по величине
и т.д.
Оценки коэффициента Ципфа для различных стран варьируют
от -0,6 до -1,5, и его значение связывают с ограничениями на работу
рыночных сил (Всемирный банк, 2005). Считается, что закон Ципфа
хорошо описывает городские системы стран, где отсутствовало регулирование
размеров, местоположения городов и внутренней миграции населения.
Приведем примеры крупных стран. Так, в США в самом большом
городе, Нью-Йорке, проживает 8,4 млн. человек, во втором по численности
городе страны Лос-Анжелесе - 3,8 млн. человек, Чикаго насчитывает
2,7 млн. человек. В Бразилии в крупнейших городах Сан-Паулу, Рио-де-Жанейро
и Сальвадоре численность жителей равна соответственно 11,3 млн,
6,3 млн. и 2,9 млн. человек. Примером крупной европейской страны
является Франция, где численность населения самых больших городов
Парижа, Марселя и Лиона составляет соответственно 2,2 млн, 0,9 млн.
и 0,5 млн. человек.
Замена рыночных механизмов государственным регулированием
и централизованное территориальное планирование приводят к отклонению
от закона "ранг-размер".
Оценки для России, сделанные Всемирным банком для конца
1990-х годов[15], показали,
что значение коэффициента в распределении Парето было -0,98, что
очень близко к -1[16]. Однако
график отличается от стандартного распределения. Во-первых, положение
двух крупнейших городов оказалось ниже выравнивающей прямой, из
чего следует, что они недостаточно крупные. (В развитых странах
наблюдается, как правило, отклонение в другую сторону: самые большие
города находятся выше графика, по размеру они больше, чем предписывает
закон Ципфа.) Во-вторых, существенно отстают по величине крупные
города второго эшелона, их отклонение вниз еще больше, чем Москвы
и Санкт-Петербурга. Наконец, большинство точек, относящихся к городам
среднего размера, лежит выше прямой, то есть их размер превышает
предписанный закономерностью ранг-размер. Из этих наблюдений сделан
вывод, что в России недостаточно крупных городских центров и страна
не реализует агломерационный потенциал городов.
Предполагалось, что в результате введения рыночных механизмов
управления российская урбанистическая система станет ближе к закономерности
Ципфа. Из-за проводимой в советское время политики урбанистическая
структура в стране отличалась от возможной при меньшем вмешательстве
государства. При этом с рынком связывалась более эффективная территориальная
организация городской системы. Поэтому считалось, что переход от
централизованного к рыночному пространственному равновесию должен
сопровождаться ускорением урбанизации, усилением концентрации и
опережающим ростом крупных городов, особенно за счет городов второго
эшелона.
Из наших оценок, которые были сделаны для городов России
по всей базе данных (включающей города с населением менее 40 тыс.
жителей), видно, что существенных изменений в форме распределения
ранг-размер не произошло (рис. 2). Левая часть распределения Ципфа
для 2012 г., как и для 1991 г., лежит ниже выравнивающей прямой,
то есть размер крупнейших (первого эшелона) и крупных (второго эшелона)
городов меньше предписанного закономерностью. Но при этом большое
число малых городов в России (которые были исключены из оценок Всемирного
банка) также меньше по размерам, чем предсказывается законом (это
относится к загнутой вниз правой части графика). Последнее можно
объяснить административным эффектом и существованием поселений,
которые сохранили городской статус благодаря историческим причинам,
но уже не отвечают масштабам города.

Рисунок 2. Распределение Ципфа для российских
городов
Чтобы понять, почему крупнейшие и крупные города остаются
"недостаточно большими" в России, оценим значение и динамику коэффициента
Ципфа в регрессии
По нашим оценкам, абсолютный уровень коэффициента β для российских
городов больше 1, он увеличивается со временем (рис. 3). Это значит,
что наклон выравнивающей прямой увеличивается. Из этого следует,
что растет доля крупных городов, так как вероятность, что размер
города больше S, равна абсолютному значению отношения β/S.
Наклон выравнивающей прямой, который определяется методом наименьших
квадратов, увеличивается из-за влияния малых городов ("хвост" справа
тянет линию регрессии вниз, угол наклона становится больше). При
исключении малых городов из выборки точки, соответствующие двум
крупнейшим российским городам, приближаются к выравнивающей. Если
учесть, что при построении кривых Ципфа для западных стран используются
данные не по городам, а по агломерациям, которые включают поселения-спутники,
то очевидно, что два крупнейших города России укладываются в мировые
стандарты урбанизации. Но существенное отклонение крупных городов
второго эшелона от прямой сохраняется: они не соответствуют закономерности
Ципфа. При этом средние города остаются "слишком большими", а малые
города - "слишком малыми". Таким образом, переход к преимущественно
рыночным механизмам управления пространственным распределением экономической
активности не внес кардинальных изменений в урбанистическую систему
России.

Рисунок 3. Коэффициент Ципфа
Факторы развития городской системы России
Проанализируем роль факторов, выдвигаемых агломерационной
экономикой в качестве значимых для развития городской системы России.
Для этого построим и оценим регрессионные уравнения, где в качестве
зависимых переменных выступают логарифм численности населения города
и логарифм темпов роста размера города. В первом случае мы получаем
портрет большого города, во втором - характеристики растущего города.
Набор тестируемых факторов сформирован на основании
предположения, что развитие города опирается на собственные ресурсы
и использует внешние, которые могут иметь экономическую или политическую
природу. Агломерационная экономика подчеркивает ключевую роль издержек
взаимодействия агентов, размеров, структуры и доступности рынков
в формировании экономического пространства. Рост городов обусловлен
снижением издержек доступа к рынку товаров и сырья, развитием инфраструктуры,
согласованием спроса и предложения на труд, которое стимулируется
высокой заработной платой. Концентрация и диверсификация ресурсов
позволяют экономить на масштабе и комбинировать факторы производства.
Сосредоточение политических и административных институтов может
создавать дополнительные импульсы для развития города.
С учетом информации, включенной в базу данных "Экономика
городов России", и при выделении трех групп факторов - внешних,
внутренних и административных - регрессионные зависимости включали
следующий набор переменных. Возможности привлечения внешних ресурсов
зависят от транспортной инфраструктуры, их характеризует расстояние
от города до ближайшей железнодорожной станции. Внутренние ресурсы
города описываются размером города, плотностью населения, предлагаемой
заработной платой, доступностью жилья, развитием инфраструктуры
здравоохранения и образования, а также уровнем диверсификации экономики.
Влияние последнего фактора неоднозначно: диверсифицированная экономика
более гибкая и устойчивая, однако в этом случае сложнее использовать
преимущества специализации. Административные ресурсы развития можно
зафиксировать с помощью переменной административного статуса города.
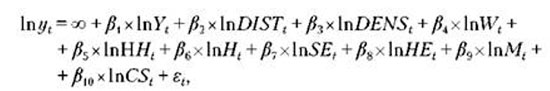
В результате для размера города оценивалось следующее уравнение:

где: Yt - численность населения
города t; DISTt - расстояние от города t
до ближайшей железнодорожной станции; DENSt -
плотность населения в городе t; Wt - среднемесячная
заработная плата в городе t; HHt - индекс Херфиндаля-Хиршмана[17]2
для города t; Ht - жилой фонд на душу населения
в городе t; SEt - прием в госучреждения среднего
профессионального образования в городе t; HEt -
прием в госучреждения высшего образования в городе t; Mt
- число врачей на душу населения в городе t; CSt
- переменная, которая принимает значение 1 для административных
центров субъектов РФ и 0 в противном случае.
Уравнение темпа роста города имело вид:

где yt - темп роста населения города
t.
Формально структуру данных можно считать панельной,
но, чтобы исключить искажение неучтенных эффектов административно-территориальных
реформ, оценки проводились отдельно для каждого года. Значительная
часть независимых переменных создает проблему эндогенности, для
получения состоятельных оценок в этом случае применяется метод инструментальных
переменных. Оценки проводились для 2009, 2010 и 2011 гг., и в качестве
инструментов использовались лаговые значения переменных в 2005 г.:
они не связаны с ошибкой и имеют высокую степень корреляции с переменными,
которые создают проблему эпдогенности, из-за инерционности экономических
процессов.
Результаты оценок для размера города приведены в таблице
4. Из них следует, что крупный город является административным
центром, близко расположен к железной дороге, в нем высокая плотность
населения, относительно высокая заработная плата, высокий уровень
диверсификации экономики, город испытывает дефицит жилого фонда,
предоставляет больше медицинских услуг и имеет развитую сеть вузов.
Таблица 4. Оценки регрессии численности населения
города
|
Переменная
|
2009
|
2010
|
2011
|
|
Расстояние до железнодорожной станции
|
-0,149* (0,014)
|
-0,149* (0,014)
|
-0,153* (0,014)
|
|
Плотность населения
|
0,222* (0,029)
|
0,230* (0,029)
|
0,233* (0,032)
|
|
Среднемесячная заработная плата
|
0,696* (0,059)
|
0,681* (0,060)
|
0,700* (0,061)
|
|
Индекс Херфиндаля-Хиршмана
|
-0,297* (0,056)
|
-0,295* (0,058)
|
-0,316* (0,058)
|
|
Жилой фонд, на душу населения
|
-1,467* (0,145)
|
-1,460* (0,163)
|
-1,324* (0,198)
|
|
Число врачей, на душу населения
|
0,131
(0,085)
|
0,197* (0,093)
|
0,205* (0,091)
|
|
Прием в госучреждения среднего профессионального образования
|
-0,152 (5,522)
|
-1,370 (6,076)
|
1,855
(6,794)
|
|
Прием в госучреждения высшего образования
|
68,464* (6,691)
|
71,998* (7,223)
|
93,851* (9,683)
|
|
Административный центр субъекта Федерации
|
0,408* (0,154)
|
0,448* (0,152)
|
0,248* (0,168)
|
* Статистически значимые переменные.
Примечание. В скобках указаны стандартные ошибки оценок.
Результаты оценок для темпа роста населения города приведены
в таблице 5. Портрет растущего города следующий: относительно
крупный город, не административный центр, характеризующийся преимущественно
высокой плотностью населения, имеющий относительно большой жилой
фонд, располагающий учреждениями высшего образования и хорошим здравоохранением.
Таблица 5. Регрессия темпа роста численности
населения города
|
Показатель
|
2009/ 2005
|
2010/ 2005
|
2011/ 2005
|
2010/ 2009
|
2011/ 2009
|
|
Расстояние до железнодорожной станции
|
0,002 (0,001)
|
0,002 (0,002)
|
0,001 (0,003)
|
-0,0004 (0,001)
|
-0,001 (0,002)
|
|
Население города
|
0,011* (0,003)
|
0,007* (0,002)
|
0,018* (0,007)
|
0,007* (0,003)
|
0,009 (0,006)
|
|
Плотность населения
|
0,007* (0,002)
|
0,019* (0,004)
|
0,009 (0,006)
|
0,012* (0,002)
|
0,002 (0,005)
|
|
Среднемесячная заработная плата
|
0,008 (0,006)
|
0,010 (0,009)
|
0,019 (0,012)
|
0,005 (0,005)
|
0,012 (0,010)
|
|
Индекс Херфиндаля-Хиршмана
|
0,013* (0,005)
|
0,016* (0,008)
|
0,016 (0,011)
|
0,0001 (0,005)
|
0,002 (0,009)
|
|
Жилой фонд, на душу населения
|
-0,016 (0,015)
|
0,094* (0,025)
|
0,252* (0,039)
|
0,079* (0,014)
|
0,287* (0,033)
|
|
Число врачей, на душу населения
|
0,012 (0,008)
|
0,036* (0,013)
|
0,049* (0,017)
|
0,012 (0,007)
|
0,034* (0,014)
|
|
Прием в госучреждения среднего профессионального образования
|
-0,215 (0,529)
|
-1,097 (0,864)
|
-0,917 (1,261)
|
-0,791 (0,481)
|
-0,333 (1,058)
|
|
Прием в госучреждения высшего образования
|
1,541 (0,716)
|
2,592 (1,138)
|
14,282 (1,981)
|
1,528 (0,633)
|
12,305 (1,662)
|
|
Административный центр субъекта Федерации
|
-0,041 (0,015)
|
-0,072 (0,022)
|
-0,229 (0,031)
|
-0,031 (0,012)
|
-0,190 (0,026)
|
* Статистически значимые переменные.
Примечание. В скобках указаны стандартные ошибки оценок.
Полученные оценки в целом подтверждают гипотезы агломерационной
экономики. Процессы концентрации городского населения обусловлены,
главным образом, экономическими факторами: крупный рынок и развитая
инфраструктура создают возможности для развития и роста. Сдерживает
развитие российских больших городов (как правило, административных
центров регионов) рынок жилья. Существует много примеров быстрого
роста городов - спутников крупных агломераций, где есть возможность
вести активное строительство недорогого и элитного жилья, при этом
используется близкий рынок труда большого города.
* * *
Основные выводы из наблюдения эволюции городской системы
России в последние два десятилетия следующие. Во-первых, относительные
пропорции городской системы России за годы реформ изменились незначительно,
массового потока сельских жителей в города не наблюдалось. Во-вторых,
в стране идет постепенное сосредоточение населения в крупных городах,
преимуществнно в Москве и крупных городах второго эшелона, это приводит
к росту неоднородности урбанистической системы страны. Утверждение,
что два самых больших города Россия отстают по размерам от мировых
стандартов, следует признать не совсем корректным. Если учесть поселения,
входящие в их агломерации, то Москва и Санкт-Петербург укладываются
в сложившиеся глобальные тренды и пропорции.
Выявленные тенденции лишь отчасти соответствуют предположениям
авторов исследований, проведенных в начале реформ. Прогноз миграции
населения в крупные города оказался верным, однако скорость этого
процесса не оправдала ожиданий: предполагалось более активное изменение
структуры урбанистической системы страны. Крупные города второго
эшелона росли более высокими темпами, но при этом самые большие
российские города, за исключением Москвы, демонстрировали слабую
динамику. Несмотря на неполную реализацию прогнозировавшихся эффектов
рыночных механизмов, следует отметить, что в России наблюдается
изменение пространственной урбанистической модели развития, связанное
с усилением агломерационных процессов и ростом неоднородности городской
системы. Очевидно, что в ближайшей перспективе в стране будет идти
дальнейшая концентрация городского населения в мегаполисах и крупных
городах. Этот вектор в эволюции урбанистической системы соответствует
мировым трендам, при этом ее темп в России даже отстает от ожиданий,
которые были высказаны в начале переходного периода.
Институциональные трансформации в России определили
усиление роли рыночных факторов. Механизмы пространственной эволюции,
которые запускает рынок, в России работают и оказывают значимое
влияние на развитие российских городов. Но большая инерционность
систем расселения и ограничения, налагаемые жилищным строительством,
сдерживают агломерационные процессы в стране.
[1] Работа выполнена при финансовой
поддержке Российского фонда фундаментальных исследований (грант
N 14-06-00114).
[2] Коломак Евгения Анатольевна,
д.э. н., проф., заведующая Сектором межрегиональных народнохозяйственных
проблем Института экономики и организации промышленного производства
СО РАН (Новосибирск).
[3] UN HABITAT (2010a). Urban
World. Issue 4; UN HABITAT (2010b). State of the World's Cities
2010/2011; UN HABITAT (2012). State of the World's Cities 2012/2013.
[4] Трейвиш А. (2009). Город,
район, страна и мир. Развитие России глазами страноведа. М.: Новый
хронограф.
[5] Нефедова Т., Трейвиш А.
(2010). Города и сельская местность: состояние и соотношение в пространстве
России // Региональные исследования. N 2. С. 42 – 56.
[6] Зайончковская Ж., Ноздрина
H. (2008). Миграционный опыт населения региональных центров России
(на примере социологического опроса в 10 городах) // Проблемы прогнозирования.
N 4. С. 98-112.
[7] Белкина Т., Минченко М.,
Ноздрина Н., Протокалистова Л., Щербакова Е. (2011). Мониторинг
состояния и проблемы развития городов России в годы реформ // Проблемы
прогнозирования. N 2. С. 83-102.
[8] Clayton E., Richardson
T. (1989). Soviet control of city size // Economic Development and
Cultural Change. Vol. 38, No 1. P. 155-165; Gaddy C. G., Hill F.
(2003). The Siberian Curse: How Communist Planners Left Russia Out
in the Cold. Washington, DC: Brookings Institution Press.
[9] Combes P. -P., Mayer Т.,
Thisse J. -F. (2008). Economic Geography. The Integration of Regions
and Nations. Princeton, NJ: Princeton University Press.
[10] Gabaix X. (1999). Zipf's
Law for Cities: An Explanation // Quarterly Journal of Economics.
Vol. 114, No 3. P. 739 – 767.
[11] Davis D., Weinstein
D. (2002). Bones, Bombs, and Break Points: The Geography of Economic
Activity // American Economic Review. Vol. 92, No 5. P. 1269–1289;
Davis D., Weinstein D. (2008). A Search for Multiple Equilibria
in Urban Industrial Structure // Journal of Regional Science. Vol.
48, No 1. P. 29-65.
[12] Brakman S., Garretsen
H., Schramm M.(2004). The Strategic Bombing of German Cities During
World War II and Its Impact on City Growth // Journal of Economic
Geography. Vol. 4, No 2. P. 201–208; Miguel E., Roland G. (2011).
The Long-run Impact of Bombing Vietnam// Journal of Development
Economics. Vol. 96, No 1. P. 1-15.
[13] Bosker M., Brahman S.,
Garretsen H., Schramm M. (2007). Looking for Multiple Equilibria
When Geography Matters: German City Growth and the WWII Shock //
Journal of Urban Economics. Vol. 61, No 1. P. 152 – 169.
[14] Redding S., Sturm D.,
Wolf N.(2011). History and Industry Location: Evidence from German
airports // Review of Economics and Statistics. Vol. 93, No 3. P.
814 – 831.
[15] Расчеты проведены не
для всех городов России, а для выборки с числом жителей больше 40
тыс. человек.
[16] Всемирный банк (2005).
От экономики переходного периода к экономике развития. Меморандум
об экономическом положении Российской Федерации
[17] Индекс
Херфиндаля-Хиршмана рассчитывается как сумма квадратов доли секторов
в экономике города. Чем меньше индекс, тем более диверсифицированную
экономику имеет город. В базе "Экономика городов России" представлены
данные по 17 отраслям экономики, но в такой классификации нельзя
выделить инновационные и высокотехнологичные производства. Эта отчетность
очень фрагментарна: относительно регулярная информация содержится
для 2005, 2009, 2010 и 2011 гг. В силу этого обстоятельства расчеты
проводились только для этих четырех лет.
|