|
|
Понравилась статья? Поделитесь с друзьями:
|
|
|
|
|
|
|
|
|
 |
Автор обзора Галина МАНЬКОВА
(студентка 3 курса факультета мировой экономики
НИУ ВШЭ)
Рубрику ведет
Илья КАШНИЦКИЙ
|
How is internal migration reshaping metropolitan populations
in Latin America?
A new method and new evidence
Внутренняя миграция - ключевой процесс, формирующий
социально-демографические характеристики населения. Существует много
научных работ, посвящённых причинам возникновения миграционных потоков
и их влиянию на отдельные регионы. Однако совсем в немногих исследованиях
рассматриваются количественные изменения в характеристиках населения,
вызванные миграционными процессами. Во многом это обусловлено труднодоступностью
детальных региональных данных о миграции населения. В своей статье
Хосе Родригез-Виньоли и Франсиско Роув пытаются устранить
этот пробел и предлагают новый метод количественной оценки миграционных
эффектов, основанный на данных переписей населения -- индекс композиционного
влияния миграции (Compositional Impact of Migration, далее - CIM).
CIM может применяться для определения влияния миграции
на любую социально-демографическую характеристику населения и представляет
собой разницу между фактическим значением характеристики (в год
проведения переписи, условно "после миграции") и ее гипотетическим
значением (за несколько лет до проведения переписи, условно "до
миграции"). Индекс CIM аддитивен и представляет собой сумму
двух индексов, CIMI и CIMO, которые оценивают влияние иммиграционных
и эмиграционных потоков, соответственно. Главное преимущество индекса
CIM заключается в том, что он учитывает изменения всех показателей,
которые, по мнению авторов статьи, являются ключевыми для точного
определения миграционного эффекта: численность и социально-демографические
характеристики иммигрантов, эмигрантов и немигрирующего населения.
Исследователи надеются, что разработанный ими метод оценки миграционных
эффектов позволит лучше изучить процессы внутренней миграции, объяснить
причины их возникновения и направления и разработать рациональную
политику их регулирования. Но у индекса CIM есть и недостаток: он
пригоден для изучения только тех характеристик, которые остаются
неизменными или предсказуемо и линейно изменяются на протяжении
изучаемого периода.
С помощью индекса CIM исследователи рассмотрели влияние
внутренней миграции на половозрастной состав и уровень образования
населения крупных городов Латинской Америки в периоды 1995-2000
годы и 2005-2010 годы: четыре мексиканских города (Мехико, Гвадалахара,
Монтеррей и Тихуана), три эквадорских (Кито, Гуаякиль, Куэнка) и
один панамский (Панама).
Внутренняя миграция в 1995-2000 годы способствовала
сокращению третичного соотношения полов (количества мужчин определенного
возраста, приходящихся на 100 женщин соответствующего возраста),
в семи из восьми латиноамериканских городов (исключение составила
Куэнка). Этот "феминизирующий" эффект был обусловлен как
преобладанием женщин среди иммигрантов (Панама, Мехико, Гвадалахара),
так и эмиграцией мужской части населения (Кито и Тихуана) и обоими
процессами в совокупности (Монтеррей и Гуаякиль). В 2005-2010 годы
наблюдалось уменьшение "феминизирующего" эффекта в большинстве
рассматриваемых городов, а в Панаме и Гвадалахаре внутренняя миграция
даже стала способствовать росту мужского населения. Эти изменения
в основном связаны с преобладанием мужчин и сокращением числа женщин
среди иммигрантов, что в свою очередь объясняется развитием экономик
мелких и средних городов в Латинской Америке. Традиционно "мужская"
отрасль - сельское хозяйство - теперь дополняется в них развивающейся
сферой услуг, которая предоставляет рабочие места женщинам.
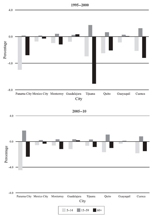
В 1995-2000 годы внутренняя миграция способствовала
росту доли "молодых взрослых" (15-29 лет) и сокращению
долей всех остальных возрастных групп в крупных городах Латинской
Америки (Рис. 3). Это явление имеет название "эффект демографического
окна" и объясняется в основном преобладанием "молодых
взрослых" среди иммигрантов. Важно также отметить, что, в отличие
от крупных городов индустриализованных стран, в странах Латинской
Америки не наблюдается эмиграция пожилых людей (60+) из крупных
городов: их удерживает возможность пользоваться медицинскими услугами
более высокого качества, чем в сельской местности. Эффект "демографического
окна" наблюдался и 2005-2010 годы, хотя заметно его ослабление
за счёт продолжающегося сокращения доли эмигрантов - пожилых людей
и уменьшения доли иммигрантов - "молодых взрослых", которым
удаётся получить образование и рабочие места в своих родных активно
развивающихся городах.

Рисунок 3. Относительный (в %) индекс CIM для долей
возрастных группы 5-14 лет, 15-59 лет и 60+ лет в восьми городах
Латинской Америки, 1995-2000 гг. и 2005-2010 гг. Примечание: Если
CIM отрицателен, то миграционные процессы уменьшают долю возрастной
группы в населении. Если CIM положителен, то миграционные процессы
увеличивают долю возрастной группы в населении
Учитывая тот факт, что индекс CIM пригоден для изучения
характеристик населения, не изменяющихся радикально на изучаемом
временном отрезке, авторы статьи рассматривали влияние миграционных
процессов на уровень образования населения, уже вышедшего из возраста,
в котором обычно получают образование, то есть старше 25 лет (Рис.
4). Оказалось, что для этой возрастной группы населения крупных
городов Латинской Америки свойственно незначительное (не более 0,1
года) уменьшение среднего количества лет обучения, обусловленное
внутренней миграцией, чему способствовала эмиграция более образованного
населения из крупных городов (кроме Панамы). В Эквадоре этот процесс
сопровождался иммиграцией людей с низким уровнем образования, тогда
как в Мексике и эмигранты, и иммигранты имели высокий уровень образования.
Исследователи связывают тенденцию эмиграции из крупных городов высокообразованных
людей с достижением ими карьерных целей и желанием посвятить себя
семье. Но с течением времени этот "занижающий образовательный
эффект" уменьшается за счёт как увеличивающейся доли высокообразованных
иммигрантов, так и уменьшающейся доли высокообразованных эмигрантов,
которые, благодаря развитию транспорта, теперь предпочитают жить
в крупных городах и уезжать из них только на некоторое время.

Рисунок 4. Относительный (в %) индекс CIM для среднего
количества лет обучения по трём возрастным группам (25+ лет, 30-44
года и 45-49 лет) в восьми городах Латинской Америки, 1995-2000
гг. и 2005-2010 гг. Примечание: Если CIM отрицателен, то миграционные
процессы уменьшают долю возрастной группы в населении. Если CIM
положителен, то миграционные процессы увеличивают долю возрастной
группы в населении
В заключение, авторы статьи рассматривают влияние внутренней
миграции для каждой страны в отдельности. Так, в изучаемые промежутки
времени наблюдалась иммиграция молодых (15-44 года) низкоквалифицированных
мужчин в Панаму, поскольку для них появилась возможность легально
занять рабочие места в сферах торговли, строительства и услуг, связанных
с функционированием Панамского канала. В Эквадоре социально-экономический
кризис, долларизация экономики и существенная роль в ней государственного
сектора обусловили приток как женского (Кито, Гуаякиль), так и мужского
(Куэнка) низкоквалифицированного населения в возрасте 15-29 лет
в крупные города страны. Переход Мексики на экспортоориентированную
торговлю и развитие сборочно-конвейерного производства на границе
с США способствовали притоку молодых женщин в крупные города страны
и эмиграции оттуда высокообразованных людей.
|