Rambler's Top100

№ 751 - 752
4 - 17 декабря 2017

О проекте

Институт демографии Национального исследовательского университета "Высшая школа экономики"

первая полоса

содержание номера

читальный зал

приложения

обратная связь

доска объявлений

поиск

архив

перевод    translation

Оглавление Глазами аналитиков 

Зависимость продолжительности жизни от уровня образования в России

Женщины на государственной службе в России: карьера, семья, репродуктивные намерения

Современные тренды рождаемости в Республике Саха (Якутия)

Архив раздела Глазами аналитиков


Понравилась статья? Поделитесь с друзьями:


Google
Web demoscope.ru

Зависимость продолжительности жизни от уровня образования в России

Харькова Т.Л.[1], Никитина С.Ю.[2], Андреев Е.М.[3]
(Опубликовано в журнале "Вопросы статистики", 2017, №8, с. 61-68)

Введение. Цель данной статьи - описать различия в смертности групп населения с разным уровнем образования и оценить вклад изменения смертности разных образовательных групп и образовательной структуры населения в изменения продолжительности жизни в России в период после 1979 г.

Более века проблемы неравенства состояния здоровья, и прежде всего уровня смертности между различными социально-демографическими группами населения, привлекают исследователей во многих странах. Как правило, люди с более низким уровнем образования или низкой профессиональной квалификации, а также и уровнем дохода умирают в более молодом возрасте; в этих группах населения значительно выше распространенность многих болезней и травм[4]. Наиболее разработанным направлением в этой области является изучение различий смертности по уровню образования, тем более что необходимые данные для анализа неравенства по уровню образования доступны во многих странах. В частности, исследования показали, что люди с более низким уровнем образования обычно имеют значительно более высокие показатели смертности и более низкую продолжительность жизни, чем люди с более высоким уровнем образования[5]. Так, например, в результате сравнительного анализа смертности населения в возрастах от 40 до 70 лет в Болгарии, Финляндии и США было получено, что самые большие абсолютные различия смертности (ожидаемое число лет, потерянных в интервале возрастов от 40 до 70 лет для достигших 40 лет) по уровню образования характерны для болгарских мужчин, но в относительном выражении (вероятность смерти до 70 лет для доживших до 40 лет) они меньше, чем в Финляндии и США. Среди женщин самое большое различие как в абсолютном, так и в относительном выражении отмечается в США[6].

Исследование, проведенное почти 20 лет тому назад в России показало, что различия смертности по уровню образования в России не ниже, а скорее выше, чем в западных странах и максимум приходится на возраста от 25 до 50 лет[7]. Более позднее исследование дифференциации смертности мужчин, основывающееся на анализе данных, полученных в результате эпидемиологического обследования (Lipid Research Clinics) по Москве и Санкт-Петербургу с периодом наблюдения 1975-1997 гг., и аналогичных данных на основе регистров населения (когорты мужчин, родившихся в 1916-1935 гг. и проживавших в Хельсинки (1976-1995 гг.) и Осло (19751991 гг.)), также показало, что межгрупповые различия в смертности мужчин российских городов намного выше, чем в двух других городах[8]. Так, различия в интервальной ожидаемой продолжительности жизни (40-74 года) между мужчинами с высоким и низким уровнем образования составляют в двух российских когортах 5,2, в Хельсинки - 3,5 и в Осло - 3,2 года. При этом разница между категориями образования в российской когорте и когорт скандинавских столиц в основном обусловлена значительными различиями смертности от цереброваскулярных заболеваний и особенно внешних причин.

Весьма актуальное звучание в настоящее время приобретает изучение социально-экономической дифференциации смертности населения пожилого возраста. Так, анализ образовательного градиента в 11 европейских странах показал, что с увеличением возраста относительное неравенство в показателях смертности снизилось, тогда как абсолютные различия в смертности в группах по уровню образования увеличились вплоть до возраста 90 лет и старше [8]. В некоторых странах относительное неравенство среди пожилых женщин практически не отличалось от женщин среднего возраста. Наиболее значимым снижение относительного неравенства в зависимости от уровня образования было в Норвегии (и у мужчин, и у женщин) и Австрии (у мужчин). Напротив, в Англии и Уэльсе (мужчины), Бельгии, Швейцарии, Австрии и Турин (женщины) относительное неравенство по образованию практически не уменьшалось с возрастом. Таким образом, неравенство смертности среди пожилых людей является важной проблемой общественного здравоохранения в Европе.

Учитывая всю важность проблемы изучения социальной дифференциации смертности, мы сосредоточили внимание на анализе новых доступных данных, позволяющих проследить последние тенденции неравенства смертности по образованию в России.

Данные и методы. Работа основана на данных государственной статистики о распределении населения и умерших по уровню образования и возрасту. Мы располагаем такими данными об умерших за 1979, 1989, 1998 и 2015 гг. Данные за 1979 и 1989 гг. содержатся в таблицах годового отчета органов статистики о естественном движении населения. Данные за 1998 и 2015 гг. получены путем дополнительной разработки анонимных микроданных об умерших, собранных Росстатом.

Численность населения по возрасту и уровню образования была получена из данных переписей населения 1979 и 1989 гг. и микропереписи населения России 2015 г. Данные о распределении населения России по возрасту и уровню образования в 1998 г. были рассчитаны с помощью интерполяции на основе данных о распределении населения по возрасту и уровню образования по микропереписи населения 1994 г. и переписи населения 2002 г. и текущей оценки среднегодовой численности населения России по полу и возрасту в 1998 г. Данные за 1979, 1989 и 1998 гг. уже использовались в анализе образовательной дифференциации смертности[9].

Таким образом, в нашем анализе сочетаются никак не связанные данные о живущих, полученные из переписей и об умерших - из статистики смертности. При этом нет никаких гарантий, что человек при переписи указал тот же уровень образования, который будет установлен при регистрации его смерти[10]. Проведенное в Литве на базе данных переписи 2001 г. и данных об умерших исследование[11] доказало, что эти опасения справедливы и серьезно искажают данные о смертности образовательных групп. Однако мы сочли возможным провести анализ на доступных данных. Мы исходили из того, что масштаб расхождений во всех четырех случаях сопоставим и по неточным данным можно судить о динамике процесса. При этом надо использовать по возможности широкие образовательные группы, причем границы групп должны ассоциироваться не с числом лет обучения, а с фактом окончания учебного заведения данного типа.

Согласно программе переписей населения 1979, 1989 гг., микропереписи 1994 г. классификация уровней образования состояла из семи ступеней: неполное начальное, начальное, неполное среднее, среднее, среднее специальное, незаконченное высшее и высшее, также выделялись не имеющие образования. Статистика смертности в период до 1999 г. учитывала те же группы образования.

В переписях населения 2002 и 2010 гг., микропереписи 2015 г. выделялось девять уровней образования: начальное общее (начальное); основное общее (неполное среднее); среднее общее (среднее полное общее); среднее профессиональное; по программе подготовки квалифицированных рабочих, служащих (начальное профессиональное); по программе подготовки специалистов среднего звена (среднее профессиональное, среднее специальное); неполное высшее профессиональное (незаконченное высшее); высшее; кадры высшей квалификации (послевузовское). К этим девяти добавлялась группа «не имеющие начального образования».

Начиная с 2011 г. статистика смертности собирает сведения об уровне образования умершего в соответствии со следующей классификацией: профессиональное образование, включая высшее, неполное высшее, среднее, начальное; общее образование, включая среднее (полное), основное, начальное, не имеющие начального образования.

С учетом вышеизложенных соображений мы сформировали три агрегированные группы по уровню образования: ниже среднего (неполное среднее и ниже), среднее (включая среднее профессиональное и незаконченное высшее) и высшее (включая послевузовское).

Уровень образования редко меняется после 30 лет, но в более молодых возрастах меняется регулярно, поэтому смертность по образованию имеет смысл изучать начиная с возраста 30 лет.

В материалах переписей 1979, 1989 и 2002 гг. содержатся данные об уровне образования по пятилетним группам возраста вплоть до группы 65-69 лет, а далее следует открытый возрастной интервал 70 лет и более. Соответственно распределение среднегодового населения 1998 г. по уровню образования было рассчитано в той же возрастной группировке. В микропереписи 2015 г. распределение по возрасту продолжалось до 79 лет, а открытая возрастная группа была 80 лет и более. Мы приняли решение рассчитывать все показатели по пятилетним группам до возраста 69 лет, а далее работать с открытым интервалом 70 лет и старше. В то же время сведения об образовании пожилых наименее достоверны. Не вполне ясно, как рассчитывать коэффициенты смертности по образованию для открытого интервала, и вообще правильно ли их рассчитывать, поскольку неясно, как в рамках этой группы меняется уровень образования. С одной стороны, полученный уровень образования снижается с возрастом поколений. Однако смертность лиц с более высоким уровнем образования, как правило, ниже. Может оказаться, что уровень образования выше в старших поколениях. Поэтому мы приняли решение основные расчеты провести для возрастного интервала 30-69 лет, но также оценить продолжительность жизни в возрасте 30 лет, оговорив возможные дефекты показателя.

Объем выборочной совокупности при микропереписи 2015 г. составил, по нашим расчетам, 1,47%. Как следует из Методологических пояснений к итогам микропереписи, помимо общего ограничения на размер выборки по стране, которое диктовалось объемом финансирования, также требовалось обеспечить «возможность получения репрезентативных итогов по обобщающим демографическим и социально-экономическим характеристикам на уровне субъектов Российской Федерации и их центров». Если при 5%-ной выборке выполнить это условие можно для большинства субъектов Федерации, то при 1,5%-ной это невозможно. Поэтому организаторы микропереписи определили для каждой территории свой размер выборки. Итоги микропереписи, как указано в заголовках таблиц, характеризуют население, принявшее участие в микропереписи. В методических пояснениях подчеркивается, что публикуются абсолютные, не распространенные на генеральную совокупность, не взвешенные по структуре населения генеральной совокупности данные.

Если процент отбора меняется от региона к региону, то более всего страдает репрезентативность данных по стране в целом. Однако для многих показателей увеличение выборочной ошибки за счет неравномерности выборки оказывается несущественным. Но не всегда. Известно, что доля лиц с высшим образованием особенно высока в Москве, Санкт-Петербурге, Московской и Ленинградской областях, где доля опрошенных существенно ниже средней по стране. Посчитав взвешенную долю лиц с высшим образованием в населении страны с учетом долей регионов в населении по пятилетним группам возраста (см. таблицу 1), мы пришли к выводу о целесообразности использовать в расчетах взвешенные доли населения каждой образовательной группы. Оценки численности каждой образовательной группы по возрасту сделаны на основе взвешенных долей.

Таблица 1. Доля лиц с высшим образованием в населении России по полу и возрастным группам непосредственно по микропереписи 2015 г. и перевзвешенная с учетом половозрастного состава населения страны (проценты)

Возраст, лет

Мужчины

Женщины

невзве-
шенная

взве-
шенная

разность

невзве-
шенная

взве-
шенная

разность

25-29

33,5

35,9

2,3

48,1

50,1

2,0

30-34

33,8

36,3

2,5

46,3

48,5

2,2

35-39

29,8

32,3

2,5

41,1

43,2

2,1

40-44

26,3

29,1

2,8

36,1

38,1

2,1

45-49

23,4

26,0

2,6

32,4

34,1

1,7

50-54

21,4

23,8

2,4

26,8

28,5

1,8

55-59

19,6

21,8

2,2

23,0

24,7

1,7

60-64

20,1

22,0

1,9

20,1

21,5

1,4

65-69

21,7

23,5

1,8

19,7

20,9

1,2

70-74

20,0

21,4

1,4

16,0

16,6

0,7

75-79

19,0

20,6

1,6

12,1

13,1

1,0

80 и более

14,9

16,8

1,8

8,6

9,4

0,9

Для оценки влияния уровня образования на продолжительность жизни мы рассчитали краткие таблицы смертности для каждой образовательной группы. Расчет проводился по стандартным формулам с одним уточнением. Мы хотели добиться, чтобы продолжительность жизни в возрасте 30 лет для всех уровней образования вместе не отличалась от аналогичной продолжительности жизни для всего населения России, ранее полученной из полных таблиц смертности. С этой целью мы определили из полных таблиц смертности возрастные коэффициенты смертности для возрастных интервалов 30-34, 35-39, ..., 65-69, 70 лет и более, поделив табличные числа умерших на табличные числа умерших в соответствующих возрастных интервалах. После этого мы нашли отношение табличного возрастного коэффициента смертности к коэффициенту смертности для всех уровней образования вместе и умножили коэффициент для каждого уровня образования на это отношение. Формально это означает, что мы внесли мультипликативную поправку в численность среднегодового населения.

Оценка вклада изменения смертности разных образовательных групп и образовательной структуры населения в изменение продолжительности жизни проведена методом декомпозиции на основе пошаговых замен[12]. Расчеты выполнены с помощью процедуры декомпозиции[13].

Результаты. В целом за период с 1979 по 2015 г. ожидаемая продолжительность жизни в возрасте 30 лет (0ПЖ30) в России увеличилась, причем рост практически был одинаковым у мужчин и женщин, соответственно на 2,2 и 2,3 года (см. таблицу 2). Однако рост ожидаемой продолжительности жизни в возрасте 30 лет отмечался только в группе с высшим образованием, тогда как в группе со средним и особенно в группе с образованием ниже среднего 0ПЖ30 была значительно ниже показателей в начале рассматриваемого периода (1979 г.).

Таблица 2. Ожидаемая продолжительность жизни в возрасте 30 лет по группам образования в России в 1979, 1989, 1998 и 2015 гг. (лет)

Год

Всего

в том числе по уровню образования

высшее

среднее

ниже среднего

Мужчины

1979

35,7

41,3

36,2

34,5

1989

37,6

43,0

38,5

35,3

1998

35,0

43,7

34,9

31,2

2015

38,0

44,3

35,9

31,2

Изменение за период 1979-2015

2,2

3,0

-0,4

-3,3

Женщины

1979

45,6

47,9

46,2

45,2

1989

46,6

50,6

48,5

45,4

1998

45,4

48,3

46,9

42,4

2015

47,9

50,3

45,1

44,2

Изменение за период 1979-2015

2,3

2,4

-1,0

-1,0

В то же время изменения смертности в течение более чем 35-летнего периода в группах с различным уровнем образования были разнонаправленными (см. рис. 1). У мужчин в группе с высшим образованием рост 0ПЖ30 отмечался постоянно, хотя темпы и не были одинаковыми. Иначе складывалась картина в группах со средним образованием и ниже среднего. Если в 1989 г. по сравнению с 1979 г. ОПЖ30 у мужчин в данных группах увеличилась, причем рост в группе со средним образованием был почти в 3 раза выше, чем в группе с образованием ниже среднего, то снижение ОПЖ30 в 1998 г. по сравнению с 1989 г. было значительным шагом назад. В следующий период неравенство в смертности еще более проявилось, что подтверждается частичным восстановительным уровнем ОПЖ30 у мужчин в группе со средним образованием в 2015 г. и практически стагнацией уровня показателя в группе с образованием ниже среднего. В результате в 2015 г. различия в ОПЖ30 между группой с высшим образованием по сравнению с группой со средним достигли 8,5 года, а с группой ниже среднего - 13,2 года, тогда как в 1979 г. эта разница составляла соответственно 5,0 и 6,8 года.

Рисунок 1. Изменение ожидаемой продолжительности жизни в возрасте 30 лет по группам образования в России за три периода с 1979 по 2015 г. (лет)

У женщин ситуация развивалась несколько иначе. В период 1979-1989 гг. во всех образовательных группах отмечался рост ОПЖ30, а в 1989-1998 гг. - снижение, однако темпы различались. В последний период с 1998 по 2015 г. наибольший рост ОПЖ30 отмечался у женщин в целом, немного меньше - в группе с высшим образованием и далее в группе с образованием ниже среднего. Напротив, в группе со средним образованием продолжилось снижение ОПЖ30. Также весьма интересный факт проявляется при сравнении ОПЖ30 женщин в 2015 г. по отношению к 1989 г. Так, во всех образовательных группах уровень ОПЖ30 1989 г. не был достигнут в 2015 г., но в целом у женщин ожидаемая продолжительность жизни женщин в возрасте 30 лет в 2015 г. была выше, чем в 1989 г., на 1,3 года. Как нам представляется, это может быть, с одной стороны, результатом изменений в распределении населения по группам образования, а с другой - вызвано неточностями сведений об образовании пожилых, о чем указывалось ранее.

Далее основное внимание мы уделим динамике и дифференциации смертности по уровню образования в возрастном интервале от 30 до 69 лет (ОПЖ30-69), которые, как мы отмечали выше, представляются более надежными. Как видно из таблицы 3, наиболее высокий уровень ОПЖ30-69 отмечался в 1989 г. и у мужчин, и у женщин, и даже последний длительный период снижения смертности не привел к превышению данного уровня в 2015 г. На всем протяжении рассматриваемого периода как у мужчин, так и у женщин значение ОПЖ30-69 увеличивалось от группы с более низким уровнем образования к более высокому уровню образования. Причем различия у мужчин были более значимы, чем у женщин: от 2,9 до 9,7 года у мужчин и от 0,7 до 5,5 года у женщин.

Таблица 3. Ожидаемая продолжительность жизни в возрастном интервале от 30 до 69 лет по группам образования в России в 1979, 1989, 1998 и 2015 гг. (лет)

Годы

Всего

В том числе по уровню образования

высшее

среднее

ниже среднего

Мужчины

1979

31,7

35,0

32,1

30,8

1989

33,0

36,0

33,3

31,3

1998

31,3

35,5

31,2

28,3

2015

32,6

36,5

31,7

26,8

Изменение за период 1979-2015

0,9

1,6

-0,4

-4,0

Женщины

1979

36,9

37,6

36,9

36,5

1989

37,3

38,1

37,4

36,6

1998

36,8

38,3

36,8

34,9

2015

37,2

38,6

36,6

33,1

Изменение за период 1979-2015

0,3

1,0

-0,3

-3,4

Динамика 0ПЖ30-69 в группах с разным уровнем образования неравномерна (см. рис. 2) и различна для мужчин и женщин и в зависимости от уровня образования Так, в группе с высшим образованием максимум был зарегистрирован в 2015 г. как у мужчин, так и у женщин. Причем у женщин с высшим образованием отмечался, хоть и незначительный, но постоянный рост, а у мужчин - нет. У мужчин в группах с высшим и средним образованием наблюдались аналогичные изменения 0ПЖ30-69: рост с 1979 г. к 1989 г.; снижение к 1998 г. и очередной рост к 2015 г. Несколько иная картина отмечалась в группах с образованием ниже среднего и у мужчин, и у женщин, а также у женщин со средним уровнем образования: после роста в 1989 г. по сравнению с 1979 г. 0ПЖ 30-69 снизилась в последующие два периода.

Рисунок 2. Ожидаемая продолжительность жизни в возрасте 30-69 лет по группам образования в России 1979-2015 гг. (лет)

Рост продолжительности жизни между 1979 и 1989 гг. был следствием антиалкогольной кампании и больше других образовательных групп затронул среднеобразованных мужчин. В группе с высшим образованием он был заметно меньше, а самым маленьким - в группе с образованием ниже среднего. Последующее снижение 0ПЖ30-69 более всего затронуло группу с образованием ниже среднего, затем идет среднее образование. Рост продолжительности жизни мужчин с высшим образованием не прекращался. У женщин ситуация иная. Рост продолжительности жизни в группах со средним и высшим образованиям между 1979 и 1989 гг. различался мало, но падение в 1989-1998 гг. было выше. Женщины и мужчины с образованием ниже среднего меньше других групп увеличили продолжительность жизни в 1979-1989 гг. и более других уменьшили в 1989-1998 гг.

Рассматривая проблемы неравенства смертности и продолжительности жизни населения в зависимости от уровня образования, нельзя обойти стороной и такой вопрос, насколько меняется сам состав населения по группам образования и какое влияние эти изменения могут оказывать на динамику смертности и ожидаемой продолжительности жизни всего населения. Традиционно в качестве сводного показателя уровня образования населения используется образовательный состав населения в возрасте 15 лет и старше. Сопоставление его по данным четырех последних переписей населения России свидетельствует о неуклонном росте уровня образования населения, и прежде всего доли населения, имеющего высшее образование (см. рис. 3). Так, в 2010 г. число лиц с высшим образованием составляло 234 на 1000 человек в возрасте 15 лет и старше против 113 в 1989 г. и 77 в 1979 г.

Рисунок 3. Распределение населения России в возрасте 15 лет и старше по группам образования, согласно данным переписей населения (на 1000 человек)

Рассчитано по: Население России за 100 лет (1897-1997). М., 1998. С. 70; Итоги Всероссийской переписи населения 2010 года. М., 2012. Том 3. С. 6

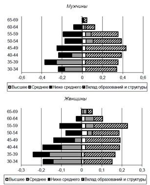
Именно поэтому мы, используя пошаговый метод декомпозиции, попытались оценить вклад как изменений смертности в разных образовательных группах, так и образовательной структуры населения в изменение продолжительности жизни населения в возрасте 30-69 лет с 1979 по 2015 г. Как видно из рис. 4, отрицательное влияние на 0ПЖ30-69 оказал рост смертности в более молодых возрастах в группах ниже среднего и среднего образования (30-44 года у мужчин и 30-45 лет у женщин), а в более старших возрастах и у мужчин, и у женщин - рост смертности только в группе с образованием ниже среднего.

Рисунок 4. Декомпозиция изменения продолжительности жизни в возрастном интервале 39-69 лет по группам образования и возрасту за период с 1979 по 2015 г.

Напротив, росту ожидаемой продолжительности жизни в возрастах 30-69 лет в этот период и у мужчин, и у женщин способствовало небольшое снижение смертности во всех возрастах в группе с высшим образованием, а в группе со средним образованием в возрастах 50 лет и старше. Наибольший вклад в рост 0ПЖ30-69 лет во всех возрастах и у мужчин, и у женщин внесло изменение образовательной структуры населения.

В целом, по нашим расчетам, 0ПЖ30-69 мужчин к 2015 г. выросла по сравнению с 1979 г. на 0,89 года, в том числе за счет изменения образовательной структуры - на 2,04 года, за счет снижения смертности лиц с высшим образованием - на 0,23 года. Рост смертности в группах со средним и более низким уровнем образования сократил 0ПЖ30-69 на 0,39 и 0,99 года, соответственно.

0ПЖ30-69 женщин выросла всего на 0,29 года. На 1 год - за счет изменения образовательной структуры, на 0,14 года - за счет снижения смертности в группе с высшим образованием. 0ПЖ30-69 женщин снизилась на 0,31 года за счет роста смертности в группе со средним образованием и на 0,54 года - за счет группы «неполное среднее образование и более низкое».

В последний проанализированный период с 1998 по 2015 г. вклад образовательной структуры составил 1,03 года из 1,34 года общего прироста продолжительности жизни мужчин, а у женщин 0,58 года при общем росте 0,36 года. При этом вклад группы с образованием ниже среднего у мужчин и со средним и ниже среднего у женщин был отрицательным.

Заключение. В отличие от большинства стран Европы где, несмотря на существенные различия в уровне смертности, социальные группы не различались общим направлением ее изменения[14], в бывших республиках СССР и странах Восточной Европы различия распространялись и на тенденции смертности. В 1960-1970-х годах, когда в этих странах отмечался рост смертности мужчин рабочих возрастов, он в основном затронул лиц, занятых физическим трудом, то есть тех, кто имел более низкий уровень квалификации и образования[15]. Мы показали, что подобное различие в направлении изменений смертности характерно и для современной России. Из наших расчетов видно, что рост ожидаемой продолжительности жизни населения в России за последние 25 лет в основном отражает изменение образовательной структуры населения, а точнее рост доли лиц, имеющих высшее образование.

По нашему мнению, это означает все более широкое распространение в населении рациональных стереотипов поведения и здорового образа жизни. В работе[16] отмечалось, что высшее образование в России не являлось гарантией более высокого дохода. Ситуация мало изменилась после 1989 г., поскольку большую долю высокообразованных людей составляют малооплачиваемые работники бюджетных отраслей. Сама по себе смертность высокообразованной части населения изменилась мало.

Рост смертности в группе с образованием ниже среднего, на наш взгляд, в какой-то части является следствием того, что по мере распространения высшего и среднего образования в ней больше становится доля тех, кто не получил образование вследствие проблем со здоровьем. На наш взгляд, этот вопрос требует специального рассмотрения.

Изучение социально-демографической дифференциации смертности - одно из важнейших направлений демографических исследований в мире. К сожалению, в России в силу ограниченности информации, а в отдельные периоды и ее отсутствия подобных работ было немного. Авторы отдают себе отчет в том, что результаты, представленные в данной статье, не идеальны и могут содержать некоторые неточности, связанные прежде всего с определенными различиями в получении распределенных по образовательным группам данных об умерших и населении. Однако это соображение не умаляет значения полученных результатов.


[1] Харькова Татьяна Леонидовна - канд. экон. наук, старший научный сотрудник Института демографии, Национальный исследовательский университет «Высшая школа экономики» (г. Москва, Россия).
[2] Никитина Светлана Юрьевна. - канд. экон. наук, начальник управления статистики населения и здравоохранения Федеральной службы государственной статистики (Росстат) (г. Москва, Россия).
[3] Андреев Евгений Михайлович - канд. физ.-мат. наук, заведующий Международной лабораторией исследования населения и здоровья, Национальный исследовательский университет «Высшая школа экономики» (г. Москва, Россия).
[4] Commission on Social Determinants of Health. Closing the Gap in a Generation. Health Equity through the Social Determinants of Health, World Health Organization, Geneva. 2008; Mackenbach J.P. Health inequalities. Europe in profile, Department of Health, London, 2006.
[5] Mackenbach J.P., Menvielle G., Jasilionis D., Rianne de Gelder. Measuring educational inequalities in mortality. Statistics directorate OECD. STD/DOC. 2015. 8. 02-Nov-2015.
[6] Kohler I.V., Martikainen P., Smith K.P., Elo T. Educational differences in all-cause mortality by marital status - Evidence from Bulgaria, Finland and the United States //Demographic Research: 2008 Vol. 19. Article 60. P 2011-2042. Published 10 December 2008. http:// www.demographic-research.org/Volumes/Vol19/60/. DOI: 10.4054/ DemRes.2008.19.60.
[7] Неравенство и смертность в России // Под ред. В.М. Школьникова, Е.М. Андреева и Т.М. Малеевой. М.: Сигналъ, 2000; Shkolnikov V.M., Andreev E.M., Jasilionis D., Leinsalu M., Antonova O.I., McKee M. The changing relation between education and life expectancy in central and eastern Europe in the 1990s // Journal of Epidemiology and Community Health. 2006. 60:10, 875-881.
[8] Shkolnikov V.M., Deev A.D., Kravdal Ш., Valkonen T. Educational differentials in male mortality in Russia and northern Europe. A comparison of an epidemiological cohort from Moscow and St. Petersburg with the male populations of Helsinki and Oslo. // Demographic research. Vol. 10. Article 1. Published 08 January 2004.
[9] Shkolnikov V.M., Andreev E.M., Jasilionis D., Leinsalu M., Antonova O.I., McKee M. The changing relation between education and life expectancy in central and eastern Europe in the 1990s // Journal of Epidemiology and Community Health. 2006. 60:10, 875-881.
[10] Vallin J. Socio-economic determinates of mortality in industrialised countries. Readings in Population Research Methodology. 1979. 2, 9.57 9.71.
[11] Shkolnikov V.M., Jasilionis D., Andreev E.M., Jdanov D.A., Stankuniene V., Ambrozaitiene D. Linked versus unlinked estimates of mortality and length of life by education and marital status: evidence from the first record linkage study in Lithuania. Social Science and Medicine. 2007. 64:7, 1392-1406.
[12] Andreev E.M., Shkonikov V.M., Begun A.Z. Algorithm for decomposition of differences between aggregate demographic measures and its application to life expectancies, healthy life expectancies, parity- progression ratios and total fertility rates. Demographic Research 2002 7:14, 499-522.
[13] Andreev E.M., Shkonikov V.M. An Excel spreadsheet for the decomposition of a difference between two values of an aggregate demographic measure by stepwise replacement running from young to old ages. MPIDR Technical Report TR-2012-002. http://www.demogr.mpg.de/en/projects_publications/publications_1904/mpidr_technical_reports/
an_excel_spreadsheet_for_the_decomposition_of_a_
difference_between_two_values_of_an_aggregate_4591.htm.
[14] Mackenbach J.P. Health inequalities. Europe in profile, Department of Health, London, 2006.
[15] Andreev E.M., Shkonikov V.M. An Excel spreadsheet for the decomposition of a difference between two values of an aggregate demographic measure by stepwise replacement running from young to old ages. MPIDR Technical Report TR-2012-002. http://www.demogr.mpg.de/en/projects_publications/publications_1904/mpidr_technical_reports/
an_excel_spreadsheet_for_the_decomposition_of_a_
difference_between_two_values_of_an_aggregate_4591.htm; Carlson E. Concentration of rising Hungarian mortality among manual workers. Sociology and Social Research 1989, 73: 119/28; Carlson E., Tsvetarsky S. Concentration of rising Bulgarian mortality among manual workers. Sociology and Social Research 1992, 76: 81 /5.
[16] Неравенство и смертность в России // Под ред. В.М. Школьникова, Е.М. Андреева и Т.М. Малеевой. М.: Сигналъ, 2000, с. 43

Вернуться назад
Версия для печати Версия для печати
Вернуться в начало

Свидетельство о регистрации СМИ
Эл № ФС77-54569 от 21.03.2013 г.
demoscope@demoscope.ru  
© Демоскоп Weekly
ISSN 1726-2887