|
|
Понравилась статья? Поделитесь с друзьями:
|
|
|
|
|
|
|
|
|
 |
Рубрику ведет
Илья КАШНИЦКИЙ
|
БОНУС: Равнение на выдающихся
|
Lariviere, V., Kiermer, V., MacCallum, C. J., McNutt, M.,
Patterson, M., Pulverer, B., … Curry, S. (2016). A simple
proposal for the publication of journal citation distributions.
bioRxiv, 62109. http://doi.org/10.1101/062109
|
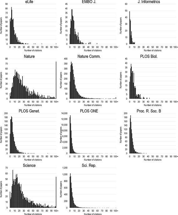
В недавно опубликованном препринте
группы исследователей под руководством Винсана Ларивьера
поднимается важный вопрос адекватности широко используемого в академической
среде показателя – импакт-фактора журнала. Для этого они проанализировали
статистику цитирований 11 престижных научных журналов (eLife, EMBO
Journal, Journal of Informetrics, Nature, Nature Communications,
PLOS Biology, PLOS Genetics, PLOS ONE, Proceedings of the Royal
Society B: Biology Sciences, Science and Scientific Reports) за
2015 год для статей, опубликованных в 2013 и 2014 годах.
В наиболее просто и часто применимой форме импакт-фактор
журнала представляет собой среднее значение цитируемости статей
в конкретном журнале за определенный промежуток времени, как правило,
два года. Ключевое слово в определении – «среднее». Авторы предлагают
взглянуть на характер распределения количества цитирований статей
в выборке наиболее авторитетных журналов академического мира (рис.
3). Во всех журналах распределение цитирований сильно скошено вправо:
то есть, малое количество наиболее востребованных статей получает
львиную долю всех цитирований. При подобном распределении использование
среднее значения может ввести в заблуждение (на эту тему есть замечательная
картинка).
Рис. 3 отчетливо демонстрирует, почему журналы Nature
и Science столь значимы для академического мира. В них распределение
цитирований гораздо равномернее, то есть большая доля статей получает
много цитирований.
Наиболее простым решением вопроса было бы использование
медианного значения цитируемости при расчете импакт-факторов.

|