 |
Рубрику ведет
Илья КАШНИЦКИЙ
|
Men's revealed preferences regarding women's ages: evidence
from prostitution
Китэ Сон любопытным образом изучил возрастные
предпочтения мужчин при выборе партнерши, в условиях, когда все
прочие причины выбора сведены к минимуму, используя статистику услуг
проституток. Для этого исследователь изучил данные о стоимости услуг
8,5 тысяч индонезийских проституток, логично предположив, что стоимость
услуг отражает ценность женщины в глазах клиента.
Сравнение возрастных профилей стоимости проституток
(рис. 1А) и женщин других профессий (рис. 1Б) демонстрирует уникальность
взаимосвязи возраста и доходов для проституток. Это служит косвенным
индикатором справедливости допущения о том, что стоимость услуг
проститутки отражает ее привлекательность для клиентов.

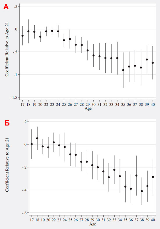
Рисунок 1. Доход женщин Индонезии в зависимости от возраста:
А - проститутки; Б - женщины прочих профессий
После учета всевозможных контрольных переменных, возрастной
профиль доходов проституток выглядит следующим образом (рис. 2).
Отчетливо выражена нелинейность негативной взаимосвязи стоимости
услуг и возраста: наблюдается плато в поздних тинейджерских возрастах
и самом начале третьего десятка, затем резкое падение и, наконец,
снова плато в районе 35 лет.

Рисунок 2. Регрессионные коэффициенты при возрастных
дамми-переменных в сравнении с возрастом 21 год: А - без контрольных
переменных; Б - с контрольными переменными
По мнению автора, приведенные результаты согласуются
с ранее публиковавшимися выводами о негативной взаимосвязи возраста
женщины и ее привлекательности в качестве партнера. Природа этой
негативной корреляции, как правило, объясняется биологическими механизмами
- снижением фертильности женщины с возрастом. Достоинством своего
исследования автор считает идею изучения проституток. Подобный дизайн
исследования характерен тем, что изучаемые предпочтения мужчин в
выборе партнерши максимально очищены от социальных факторов, а у
ценности женщины есть прямое количественное измерение.
|