 |
Рубрику ведет
Илья КАШНИЦКИЙ
|
Birth Order and Mortality: A Population-Based Cohort
Study
Кирон Барклай и Мартин Кольк задались
вопросом, влияет ли очередность рождения на уровень смертности во
взрослом возрасте. Для этого они проанализировали данные шведского
регистра населения, содержащие информацию обо всех без исключения
жителях страны. Были отобраны только случаи смерти в возрасте от
30 до 69 лет в когортах 1938-1960 годов рождения. Сравнение проводилось
только "внутри семей", т.е. из оставшихся случаев смерти
для анализа были отобраны только те, где имелась информация о также
о смерти брата или сестры из тех же когорт в том же возрастном интервале.
Контрольными переменными в логистической регрессии выступали год
смерти, возраст на момент смерти, принадлежность к когорте рождения
и возраст матери на момент рождения.
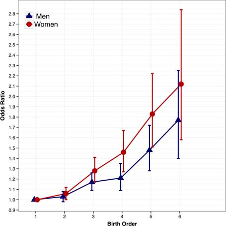
Результаты анализа показали, что вероятность смерти
во взрослом возрасте выше у каждого следующего ребенка в семье (рис.
2). При этом увеличение смертности с очередностью рождения быстрее
увеличивается у женщин, чем у мужчин.

Рисунок 2. Внутрисемейные различия в вероятности смерти
в возрасте 30-69 лет в зависимости от очередности рождения, Швеция,
когорты 1938-1960 годов рождения. Отрезки обозначают 95% доверительные
интервалы.
В дополнительной модели в качестве контрольной переменной
добавлен социально-экономический статус, что отчасти смягчает различия.
Сравнительно небольшой объем выборки не позволяет делать
выводы при анализе смертности по причинам смерти на статистически
значимом уровне, однако некоторые закономерности все же бросаются
в глаза (рис. 3). Наибольшие различия между братьями и сестрами
наблюдаются в смертности от внешних причин.

Рисунок 3. Различия по основным группам причин смерти:
А - мужчины; Б - женщины.
В качестве одного из возможных объяснений большего наблюдаемого
эффекта у женщин авторы предлагают селективность смертности. Дело
в том, что в выборку для анализа попадали лишь дожившие до 30 лет;
а поскольку смертность у мужчин выше во всех возрастах, подобное
ограничение означает, что попавшие в выборку мужчины прошли заведомо
более "жесткий отбор", чем женщины.
Одним из наиболее существенных ограничений своего исследования
авторы считают вынужденную низкую границу выбранных возрастов -
70 лет. Все же в современной Швеции большая часть смертей происходит
в более зрелых возрастах. Но это ограничение относится к источнику
данных. Надо набраться терпения - дальше будет интереснее.
|