|
|
Понравилась статья? Поделитесь с друзьями:
|
|
|
|
|
|
|
|
|
Волны жары в южных городах Европейской части России
как фактор риска преждевременной смертности населения [1]
Ревич Б.А.[2],
Шапошников Д.А.[3], Подольная
М.Л.[4],
Харькова Т.Л.[5], Кваша Е.П.[6]
(Опубликовано в журнале «Проблемы прогнозирования», 2015, №2,
с. 56-67)
Современное изменение глобального климата сопровождается
увеличением повторяемости (частоты) и силы волн жары - периодов
(в пределах сезона) с экстремально высокой температурой. Продолжительная
жаркая погода вызывает рост числа смертей от заболеваний: системы
кровообращения (инфаркт), цереброваскулярных (инсульт), органов
дыхания и эндокринной системы (диабет) - особенно у лиц старше 65
лет, а также у страдающих хроническими заболеваниями. Например,
в Западной Европе во время необычно сильной и продолжительной жары
в августе 2003 г. произошло более 70 тыс. дополнительных случаев
смерти. В мире стремительно растет число публикаций, посвященных
воздействию волн жары на здоровье населения как в северных, так
и в южных регионах[7]. Для
ряда городов России также выявлены и обоснованы связи между числом
обращений за экстренной медицинской помощью, общей смертностью и
смертностью от отдельных причин (заболеваний системы кровообращения,
органов дыхания, пищеварения, нервной системы, травм, утопления
и самоубийств), с одной стороны, и температурой воздуха в летний
период с другой.
Пороговые значения температуры, при превышении которых
ситуация классифицируется как «волна жары», зависят от местного
климата и устанавливаются на основе вероятности наблюдения экстремально
высоких температур в данной местности. До сих пор не существует
общепринятого подхода к вычислению такого порога, и в разных исследованиях
используются различные методики. Например, в одном из них пороговое
значение среднесуточной температуры для волн жары в Москве было
принято за 23,6°С[8], в то
время как в Архангельске оно составляет 21°С[9]:
в Афинах - 30°С, в Хельсинки - 23,6°С[10].
Волны жары в Москве в 2001 и 2002 гг. стали причиной 1300 дополнительных
случаев смерти[11]. В рамках
проекта ВОЗ «Воздействие изменений климата на здоровье населения
и оценка возможностей адаптации на севере Российской Федерации»
показано, что даже в таком относительно небольшом северном городе,
как Архангельск, во время волн жары за период 1999-2008 гг. смертность
составила 289 дополнительных случаев[12].
В другом северном городе - Якутске - среднегодовое число аномально
жарких летних дней в 1999-2007 гг. превысило показатель 1961-1990
гг. в 1,7 раза. Во время волн жары средняя с\точная смертность населения
данного города от ишемической болезни сердца и инфарктов возрастала
более чем вдвое, от всех естественных причин - примерно в полтора
раза по сравнению с фоновым уровнем[13].
Еще более серьезная, практически катастрофическая климатическая
ситуация возникла на европейской части России летом 2010 г., когда
постоянная волна жары наблюдалась в течение более 40 дней во время
блокирующего антициклона. Она оказалась особенно губительной для
здоровья, поскольку население находилось под воздействием гипотермии
- аномально высоких (даже рекордных) температур в течение продолжительного
времени (непрерывная длительная волна жары опаснее прерывистых волн).
Анализ помесячных данных Росстата о смертности населения по регионам
показал, что дополнительная смертность в июле - августе 2010 г.
составила 54 тыс. случаев. В июле на территории 32-х субъектов РФ
в пределах ее европейской части (кроме Москвы), когда среднемесячная
температура июля превышала многолетнее среднемесячное значение на
6°С. смертность увеличилась на 16 тыс. случаев, в том числе на 10,5
тыс. случаев от заболеваний системы кровообращения. В наибольшей
степени смертность возросла в С.-Петербурге - на 1,5 тыс. случаев
или на 30% по сравнению с аналогичным периодом 2009 г.[14].
Потери населения в августе 2010 г. оказались значительнее, чем в
июле, что объясняется еще большей жарой в центральных областях европейской
части России (Липецкая, Воронежская. Тамбовская, Рязанская области),
в Поволжье и на юге России (Ульяновская, Саратовская. Волгоградская.
Ростовская области. Калмыкия), распространением жары на Урал и дополнительным
негативным воздействием загрязнения атмосферного воздуха, вызванного
с пожарами. На территории 43-х субъектов РФ, где наблюдалась экстремально
высокая температура, смертность возросла на 38 тыс. случаев, или
на 32,6%. В Волгоградской. Воронежской, Липецкой. Ростовской, Рязанской,
Саратовской, Тамбовской, Ульяновской областях, Мордовии, Татарстане
и Чувашии смертность от заболеваний органов кровообращения увеличилась
в 1,5-2 раза[15]. Более подробное
исследование на примере Воронежа подтвердило связи между температурой
воздуха и смертностью населения от всех причин: с ростом температуры
воздуха на 1°С после порога жары количество смертельных исходов
увеличивалось на 3% с лагом до 4 дней[16].
Кроме перечисленных выше заболеваний, во время жары
летом 2010 г. у миллионов людей возникли и другие проблемы со здоровьем:
возросла уязвимость к простудным и инфекционным заболеваниям, что
повысило риск эпидемий осенне-зимнего сезона 2010-2011 гг. Наиболее
детально последствия аномальной жары для здоровья населения изучены
в Москве, где волна жары в июле - августе 2010 г. (с превышением
многолетней среднесуточной температуры более чем на 5°С) продолжалась
45 суток. Ей сопутствовал и высокий уровень загрязнения атмосферного
воздуха, возникший из-за антициклона и дыма от горящих лесов и торфяников.
В этот период в Москве произошло резкое увеличение числа случаев
смерти - на 11 тыс. дополнительно (по сравнению с июлем - августом
2009 г.)[17]. Моделирование
зависимости смертности от температуры и загрязнения воздуха в Москве
показало, что около 70% случаев дополнительной смертности от всех
естественных причин объясняется продолжительным воздействием высоких
температур, а остальные 30% - воздействием загрязнения в условиях
температурного стресса - т.е. комбинированным действием этих двух
опасных факторов[18].
После относительно спокойного 2011 г. аномальная жара
в июле 2012 и 2013 гг. вновь наблюдалась на северо-западе страны
в Архангельской области, на Урале в Свердловской области, Челябинске
и Магнитогорске, в Сибири (Новосибирск. Омск, Ханты-Мансийск). Однако
в 2013 гг. аномальные волны жары были редкими.
Климат России отличается значительным разнообразием,
поэтому естественно, что для жителей различных регионов страны последствия
температурных волн могут быть неодинаковы. До сих пор оценки влияния
волн жары на смертность были получены только в Москве. Твери и четырех
северных городах. В настоящей статье изложены результаты наших исследований
в 2013-2014 гг. о влиянии жары на смертность на юге России за период
1999-2011 гг., а в будущем планируются аналогичные исследования
для населения, проживающего в условиях резко континентального (Забайкалье)
и муссонного климата (Дальний Восток). В последние годы интерес
к этой проблематике стали проявлять и клиницисты. Установлено, что
на фоне температурного стресса при неадекватном пополнении водного
баланса в организме человека возникают обезвоживание, нарушение
микроциркуляции, гемоконцентрация. провоцирующие тромбообразование
с развитием в первую очередь инсультов. Это подтверждают данные
о структуре смертности населения во время волн жары. Вероятно, обезвоживание
может усилить дисциркуляторную энцефалопатию[19].
Такие процессы ведут к инвалидизации населения, снижению числа здоровых
лет жизни что отражается на занятости населения и объеме регионального
валового продукта. Логичным продолжением данного научного направления
будет экономический анализ влияния волн жары на здоровье и обоснование
планов действий по предотвращению и снижению негативных последствий
этого природного явления в основных климатических регионах страны.
Материалы и методы. Для оценки климатической ситуации
и влияния волн жары на смертность жителей южных городов РФ использованы
две базы данных. Тренды температуры воздуха за период 1961-2010
гг. на юге России (в Ростовской, Волгоградской, Астраханской, Саратовской
областях, Краснодарском крае. Ставропольском крае. Калмыкии) были
вычислены на основе ежедневных данных 19-ти метеостанций, опубликованных
на сайте национального климатического центра США (National Climatic
Data Center, NCDC)[20]. Для
оценки влияния волн жары на смертность жителей четырех южных городов
России были использованы данные о среднесуточных температурах, опубликованные
на сайте Росгидромета[21].
Динамика температуры в южных городах России. В ходе
исследования достоверные (р<0,05) положительные тренды среднегодовых
температур и средних за июль выявлены практически по веем метеостанциям.
Средний многолетний тренд среднеиюльской температуры за 1961-2011
гг. колебался в пределах 0,02 (р<0,01) - 0,09 (р<0,001) в
различных городах (кроме одной метеостанции), т.е. повсюду происходил
рост летней температуры. Согласно рекомендациям Росгидромета, экстремально
жаркими считаются сутки, если температура превышает среднее значение
для этой даты плюс два стандартных отклонения, рассчитанных за предыдущие
30 лет. Мы рассчитали такие пороговые значения экстремальных температур
за июль в период 1961-1990 гг. и по отношению к ним определили число
экстремально жарких дней в указанном месяце за последующие два десятилетия.
Результаты, приведенные в табл. 1, показывают, что такое число в
каждом из изученных городов, колебалось в пределах 10-37 дней. Если
бы потепления климата не происходило, то число таких дней за каждое
последующее десятилетие составило бы примерно 8 дней. Как видно
из табл. 1 ожидаемое значение числа экстремально жарких дней было
значительно превышено в оба десятилетних периода, причем десятилетие
2001-2011 гг. было заметно более жарим, чем предшествующее, что
еще раз подтверждает значительное учащение волн жары [22].
Таблица 1. Число экстремально жарких дней в
июле по десятилетиям за период 1991-2011 гг. по отношению к базовой
температуре за 1961-1990 гг *
|
Период
|
Астрахань
|
Волгоград
|
Ростов-на-Дону
|
Краснодар
|
|
1991-2000
|
13
|
11
|
32
|
22
|
|
2001-2011
|
10
|
36
|
37
|
33
|
* Экстремально жаркими считаются дни с температурой,
превышающей μ+2σ, где μ и σ определены для всех дней в июле за
период 1961-1990).
Оценка риска преждевременной смертности во время
волн жары в четырех южных городах России. Для идентификации
волн жары был принят температурный порог на уровне 97-го процентная
распределения среднесуточных температур за период исследования в
каждом городе. Информация о численности населения (согласно Всероссийской
переписи населения 2010 г.[23]),
среднегодовой температуре (Тср.) и порогах жары (Т97)
в указанных городах за период исследования (1999-2011 гг.) приведены
в табл. 2.
Таблица 2. Численность населения, среднегодовая
температура в 1999-2011 гг. и порог жары (°С) в четырех южных городах
России
|
Город
|
Население, тыс. чел.. 2010 г.
|
Тср.
|
Т97
|
|
Волгоград
|
1020
|
9,6
|
29,0
|
|
Ростов-на-Дону
|
1090
|
10,5
|
27,7
|
|
Астрахань
|
520
|
11,1
|
28,6
|
|
Краснодар
|
745
|
12,8
|
28,2
|
В табл. 3 представлена суммарная статистика об ансамблях
коротких (длительностью 5-7 дней), длинных (от 8 дней) и всех волн
(от 5 дней) за период исследования без аномально длинной волны 2010
г.
Таблица 3. Средняя длина волны (λ,
дни) и число волн в ансамбле (n)*
|
Волны жары
|
Волгоград
|
Ростов-на-Дону
|
Астрахань
|
Краснодар
|
|
корот-
кие
|
длин-
ные
|
все
|
корот-
кие
|
длин-
ные
|
все
|
корот-
кие
|
длин-
ные
|
все
|
корот-
кие
|
длин-
ные
|
все
|
|
?
|
6
|
11
|
8
|
6
|
9
|
7
|
6
|
10
|
9
|
6
|
13
|
8
|
|
n
|
5
|
4
|
9
|
7
|
5
|
12
|
4
|
7
|
11
|
8
|
3
|
11
|
* Без аномально длинной волны 2010 г.
Ансамбли всех волн состоят из примерно одинакового числа
волн (9, 12, 11), что приблизительно равно числу лет периода исследования
(13 лет), т.е. выбранная в исследовании величина порога жары определяет
в среднем примерно одну волну в год. Число коротких волн, как правило,
превышает число длинных (в трех городах из четырех указанных). Для
анализа влияния волн жары на показатели смертности населения была
использована база данных о ежедневной смертности за 13 лет (1999-2011
гг.), включающая 512 тыс. случаев смерти. Выбранные для исследования
показатели смертности (причины смерти и возрастные группы) приведены
в табл. 5.
Модель для определения рисков. Нулевая гипотеза формулируется
относительно среднего значения смертности за дни, соответствующие
трем ансамблям волн (короткие, длинные, все): смертность во время
волн жары статистически неотличима от ожидаемой в эти же календарные
даты. Ожидаемое значение получается как суперпозиция многолетнего
тренда и сезонной составляющей с поправкой на день недели. Многолетний
тренд моделируется как сумма линейной и квадратичной функции номера
дня (day) за весь период исследования. Сезонная составляющая моделируется
как кубический сплайн номера дня в году S(DOY,
8 df/year) - регулярная
функция с периодом в один год. имеющая примерно одну осцилляцию
за полтора месяца. Распределение смертности предполагается как распределение
Пуассона. Поэтому для вычисления риска используется пуассоновская
обобщенная линейная модель для ожидаемого значения ежедневной смертности
Е(М):

где DOW и heat представляют собой
бинарные переменные, маркирующие дни недели и обозначающие принадлежность
дня к ансамблю волн жары, причем мы допускали наличие короткого
лага L от 0 до 6 дней между экспозицией (жарой) и откликом
(смертью). Для каждого показателя смертности в каждом городе для
ансамблей длинных, коротких и всех волн был найден «наилучший» лаг,
соответствующий максимальной величине регрессионного коэффициента
?, который в рамках модели (1) интерпретируются как логарифм
относительного риска смертности во время данного ансамбля волн ln(RR).
Именно относительно этих коэффициентов, оцененных в различных городах,
формулируются гипотезы мета-анализа (см. ниже).
Риски смертности от отдельных причин смерти в четырех
южных городах России. За исключением гипертонии, результаты для
которой слишком нестабильны по причине очень малого числа случаев,
наибольшие по абсолютной величине риски смертности были отмечены
для болезней органов дыхания в возрастной группе (65+): а именно:
RR=2,08% для длинных волн в Астрахани и RR-1,96 для коротких волн
в Ростове-на-Дону. Оба этих риска обладают высокой статистической
значимостью. В табл. 4 приведены значения преждевременной смертности
от всех естественных и всех внешних причин в результате воздействия
волн жары в каждом из изученных южных городов.
Таблица 4. Количество преждевременных смертей
в результате всех волн жары в южных городах России за 1999-2011
гг.
|
Город
|
Причины
|
Возраст
|
Центральная оценка
|
Нижняя граница
95% ДИ
|
Верхняя граница
95% ДИ
|
|
Волгоград
|
Все внешние
|
30-64
|
77
|
45
|
110
|
|
Все естественные
|
30-64
|
173
|
112
|
234
|
|
Все внешние
|
65+
|
3
|
-14
|
19
|
|
Все естественные
|
65+
|
758
|
663
|
852
|
|
Сумма по городу
|
Все возраста
|
1011
|
892
|
1129
|
|
Ростов
|
Все внешние
|
30-64
|
35
|
9
|
62
|
|
Все естественные
|
30-64
|
176
|
109
|
242
|
|
Все внешние
|
65+
|
13
|
0
|
26
|
|
Все естественные
|
65+
|
921
|
825
|
1018
|
|
Сумма по городу
|
Все возраста
|
1145
|
1024
|
1266
|
|
Астрахань
|
Все внешние
|
30-64
|
37
|
9
|
66
|
|
Все естественные
|
30-64
|
173
|
119
|
227
|
|
Все внешние
|
65+
|
6
|
-7
|
20
|
|
Все естественные
|
65+
|
511
|
435
|
587
|
|
Сумма по городу
|
Все возраста
|
727
|
629
|
826
|
|
Краснодар
|
Все внешние
|
30-64
|
14
|
-12
|
39
|
|
Все естественные
|
30-64
|
153
|
103
|
204
|
|
Все внешние
|
65+
|
1
|
-12
|
14
|
|
Все естественные
|
65+
|
657
|
574
|
740
|
|
Сумма по городу
|
Все возраста
|
825
|
724
|
927
|
Хотя внешние причины для возрастной группы (65+) во
всех указанных городах дачи недостоверную оценку риска, суммарный
ущерб в каждом городе обладает очень высокой степенью значимости,
потому что основной вклад внесли не травмы и другие внешние причины,
а естественная смертность.
Мета-анализ влияния волн жары на смертность по четырем
южным городам России. Истинная величина логарифма риска в каждом
городе ϑi (индекс i нумерует города)
неизвестна, модель (1) дает лишь его оценочное значение
распределенное вокруг истинного значения по нормальному закону:
. В предположении
о гомогенности истинные значения ϑi одинаковы
во всех городах и равны ϑ. В этом случае истинное
значение ϑ находится максимизацией плотности вероятности
совместного распределения условно независимых величин 

При вычислениях вместо неизвестных величин si
использовались их оценочные значения ,
полученные из модели (1). Предположение о гомогенности нарушается
в том случае, если локальные оценки
слишком сильно отличаются от .
Для проверки нулевой гипотезы о гомогенности использовалась статистика
Кокрана:
которая в предположении о гомогенности приблизительно
следует распределению ,
где k – число городов.
Если же нулевая гипотеза о гомогенности была отвергнута,
то использовалась модель случайных эффектов, предполагающая,
что истинные величины ϑi распределены по
нормальному закону вокруг «гетерогенной» оценки совокупного риска
: . В данной
работе использован метод оценки σ2, предложенный
Дер-Симоняном и Лаирдом[24]:
;
Соответственно, значения
и var( даются
формулами (2) с заменой .
Результаты мета-анализа приведены в табл. 5, где последние
три колонки показывают относительный риск смертности: центральную
(совокупную по четырем городам) оценку, нижнюю и верхнюю границы
95-процентного доверительного интервала.
Результаты проверки гипотезы о гомогенности показали,
что она обычно выполняется для небольшого количества городов - ее
пришлось отвергнуть лишь в 6-ти случаях из 45-ти. Следует также
отмстить большое количество статистически значимых оценок риска,
приведенных в табл. 4, что демонстрирует полезность мета- анализа.
Если изначально количество незначимых результатов для всех трех
ансамблей в сумме (без показателя «гипертония, возраст 30-64», исключенного
из анализа из-за очень малого числа случаев) составляло 15 в Волгограде,
18 - в Ростове. 17 - в Астрахани и 16 - в Краснодаре из 45 возможных
(это 7 показателей в возрасте 30-64 плюс 8 показателей в возрасте
(65+), умноженных на 3 ансамбля), то совместная оценка риска дала
всего четыре незначимых результата - т.е. количество «нулевых» результатов
уменьшилось более чем в четыре раза.
Таблица 5. Результаты мета-анализа
|
Возраст
|
Причина смерти
|
Относительный риск
|
|
RR_mean
|
RR_lb
|
RR_ub
|
|
Короткие волны
|
|
30-64
|
Короткие волны
|
|
Новообразования
|
1,23*
|
1,09
|
1,39
|
|
ИБС
|
1,22*
|
1,08
|
1,38
|
|
Цереброваскулярные
|
1,40*
|
1,20
|
1,63
|
|
Другие БСК
|
1,26*
|
1,00
|
1,58
|
|
БОД
|
1,36*
|
1,04
|
1,77
|
|
Внешние
|
1,28*
|
1,13
|
1,45
|
|
Все естественные
|
1,20*
|
1,13
|
1,27
|
|
65+
|
Новообразования
|
1,07
|
0,86
|
1,34
|
|
Гипертония
|
2,42*
|
1,03
|
5,73
|
|
ИБС
|
1,35*
|
1,27
|
1,45
|
|
Цереброваскулярные
|
1,52*
|
1,44
|
1,61
|
|
Другие БСК
|
1,52*
|
1,25
|
1,84
|
|
БОД
|
1,31*
|
1,01
|
1,70
|
|
Внешние
|
1,37*
|
1,08
|
1,74
|
|
Все естественные
|
1,38*
|
1,33
|
1,43
|
|
30-64
|
Длинные волны
|
|
Новообразования
|
1,21*
|
1,09
|
1,34
|
|
ИБС
|
1,33*
|
1,20
|
1,46
|
|
Цереброваскулярные
|
1,50*
|
1,32
|
1,70
|
|
Другие БСК
|
1,17
|
0,86
|
1,60
|
|
БОД
|
1,48*
|
1,22
|
1,80
|
|
Внешние
|
1,29*
|
1,17
|
1,43
|
|
Все естественные
|
1,27*
|
1,21
|
1,34
|
|
65+
|
Новообразования
|
1,11*
|
1,03
|
1,21
|
|
Гипертония
|
1,88*
|
1,35
|
2,61
|
|
ИБС
|
1,45*
|
1,38
|
1,53
|
|
Цереброваскулярные
|
1,70*
|
1,48
|
1,95
|
|
Другие БСК
|
1,42*
|
1,20
|
1,67
|
|
БОД
|
1,69*
|
1,39
|
2,05
|
|
Внешние
|
0,99
|
0,79
|
1,26
|
|
Все естественные
|
1,49*
|
1,38
|
1,61
|
|
30-64
|
Все волны
|
|
Новообразования
|
1,21*
|
1,10
|
1,32
|
|
ИБС
|
1,28*
|
1,18
|
1,38
|
|
Цереброваскулярные
|
1,44*
|
1,30
|
1,59
|
|
Другие БСК
|
1,25*
|
1,09
|
1,45
|
|
БОД
|
1,33*
|
1,13
|
1,56
|
|
Внешние
|
1,27*
|
1,17
|
1,38
|
|
Все естественные
|
1,25*
|
1,20
|
1,30
|
|
65+
|
Новообразования
|
1,13*
|
1,06
|
1,20
|
|
Гипертония
|
1,87*
|
1,46
|
2,41
|
|
ИБС
|
1,42*
|
1,36
|
1,48
|
|
Цереброваскулярные
|
1,66*
|
1,54
|
1,78
|
|
Другие БСК
|
1,43*
|
1,26
|
1,63
|
|
БОД
|
1,52*
|
1,29
|
1,78
|
|
Внешние
|
1,17
|
0,98
|
1,39
|
|
Все естественные
|
1,46*
|
1,43
|
1,50
|
* Эффект значим на 95%-ном уровне
ИБС - ишемическая болезнь сердца; БСК – болезни системы кровообращения;
БОД – болезни органов дыхания
Результаты совместной оценки риска в едином масштабе
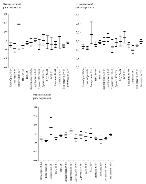
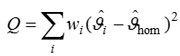
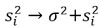
для трех ансамблей волн изображены на рисунке.

Рисунок. Относительные приросты смерти во время
волн жары с 95-процентными доверительными интервалами, совместная
оценка для четырех южных городов России
Наиболее вероятный лаг между жарой и смертностью. Поиск
наиболее типичного лага для всех изученных показателей смертности
принят только для статистически значимых и независимых приростов
смертности - т.е. только для ансамблей коротких и длинных волн (исключая
ансамбль всех волн). При таком анализе были обнаружены возрастные
различия. Если просуммировать выявленные эффекты по веем четырем
городам, то в возрастной группе 30-64 присутствуют всего 28 значимых
эффектов, а в возрастной группе (65+) - уже 43 значимых эффекта.
Рассмотрим две выборки, состоящие из сопутствующих этим эффектам
лагов (в днях). Средний лаг в возрастной группе 30-64 составил 1,2
дня. а средний лаг в возрастной группе (65+) составил 1,8 дней.
Т-тест этих двух независимых выборок показал, что разность средних
лагов статистически значима (p=0,035). Поэтому можно утверждать,
что «отклик» смертности на жару в возрастной группе 30-64 происходит
раньше и временная задержка составляет в среднем день, а в группе
(65+) наиболее вероятная задержка составляет два дня.
Возрастные различия в количестве и величине зффектов.
Количество достоверно установленных эффектов в обеих возрастных
группах для ансамблей коротких и аз и иных волн во всех четырех
городах представлено в табл. 6.
Таблица 6. Количество значимых эффектов по возрастам
|
Город
|
Волгоград
|
Ростов
|
Астрахань
|
Краснодар
|
Всего
|
|
Возраст
|
30-64
|
65+
|
30-64
|
65+
|
30-64
|
65+
|
30-64
|
65+
|
30-64
|
65+
|
|
Короткие волны
|
5 из 7
|
6 из 8
|
2 из 7
|
6 из 8
|
2 из 7
|
4 из 8
|
2 из 7
|
6 из 8
|
11 из 28
|
22 из 32
|
|
Длинные волны
|
3 из 7
|
5 из 8
|
3 из 7
|
6 из 8
|
5 из 7
|
5 из 8
|
4 из 7
|
5 из 8
|
15 из 28
|
21 из 32
|
|
Всего
|
|
|
|
|
|
|
|
|
26 из 56
|
43 из 64
|
Для проверки сформулированной выше гипотезы об отсутствии
возрастных различий применен критерий ,
поскольку все ожидаемые числа больше 5.
В этом тесте возрастные различия оказываются очень значимыми
(p<0,02); откуда можно заключить, что пожилые люди в
среднем сильнее реагируют на жару. Такой же вывод можно сделать
из сравнения абсолютных величин установленных совместных (совокупных)
рисков в двух изученных возрастных группах (табл. 5). Здесь можно
взять семь показателей (кроме гипертонии). Сравнение рисков коротких
волн показало, что в 5-ти случаях из 7-ми риск для пожилых людей
выше (кроме новообразований и болезней органов дыхания). Сравнение
рисков длинных волн также показало, что в 5-ти случаях из 7-ми риск
для пожилых людей выше (кроме новообразований и внешних причин).
Такую разницу нельзя объяснить простой случайностью. Отмстим, что
для самого значимого показателя - смертности от всех естественных
причин - риск для пожилых людей оказывается достоверно выше в период
и коротких, и длинных волн. Относительный прирост смертности от
всех естественных причин во время всех волн жары для пожилых людей
составил 46%, а для возрастной группы 30-64 года - только 25%, т.е.
почти в два раза меньше.
Различия в действии коротких и длинных волн в южных
городах России. Анализ различий между короткими и длинными волнами
был проведен по такой же схеме, что и возрастных различий: вначале
качественный (табл. 7), а затем - количественный, когда сравнивались
величины рисков.
Таблица 7. Количество значимых эффектов различных
волн* в четырех южных городах России
|
Город
|
Волгоград
|
Ростов
|
Астрахань
|
Краснодар
|
Всего
|
|
Ансамбли волн
|
кор.
|
дл.
|
кор.
|
дл.
|
кор.
|
дл.
|
кор.
|
дл.
|
кор.
|
дл.
|
|
30-64
|
5 из 7
|
3 из 7
|
2 из 7
|
3 из 7
|
2 из 7
|
5 из 7
|
2 из 7
|
4 из 7
|
|
|
|
65+
|
6 из 8
|
5 из 8
|
6 из 8
|
6 из 8
|
4 из 8
|
5 из 8
|
6 из 8
|
5 из 8
|
|
|
|
Всего
|
11 из
15
|
8 из
15
|
8 из
15
|
9 из
15
|
6 из
15
|
10 из
15
|
8 из
15
|
9 из
15
|
33 из
60
|
36 из
60
|
Хотя число значимых эффектов влияния длинных волн больше,
чем коротких, анализ качественных различий (есть эффект/нет эффекта)
не позволил отвергнуть нулевую гипотезу об отсутствии различий:
X2=0,31. Сравним результаты мета-анализа (см. табл. 5)
для длинных и коротких волн. Всего было проанализировано 15 показателей.
Для 11-ти из них риск смертности во время длинных волн оказался
выше, чем во время коротких волн. Такой результат был получен для
трех наиболее значительных (по количеству смертей) показателей -
всех естественных причин. ИБС и цереброваскулярных заболеваний,
в обеих возрастных группах. Разность рисков длинных и коротких волн
была статистически значимой для всех естественных причин и цереброваскулярных
заболеваний в возрастной группе (65+) (табл. 8).
Таблица 8. Показатели, для которых разность
рисков длинных и коротких волн статистически значима
|
Причина смерти и возраст
|
log(RR) во время длинных волн
|
log(RR) во время коротких волн
|
Разность log(RR)
|
95% ДИ разности
|
|
Цереброваскулярные, 65+
|
0,53
|
0,42
|
0,11
|
0,04-0,18
|
|
Все естественные, 65+
|
0,39
|
0,32
|
0,07
|
0,03-0,11
|
Возможно, это объясняется тем. что в этой возрастной
группе сами эффекты более выражены, чем в возрастной группе 30-64.
Таким образом, можно сделать вывод о более высокой опасности длинных
волн.
Вклад различных причин в прирост смертности от естественных
причин. Наибольший вклад в прирост смертности от естественных причин
во время волн жары вносят заболевания системы кровообращения. Например,
в возрастной группе 30-64 дополнительная смертность от всех естественных
причин во время волн жары на 85% объясняется следующими тремя причинами:
БСК (59%), новообразования (19%) и БОД (7%). Ими же почти полностью
(на 94%) обусловлен прирост смертности во время волн жары в возрастной
группе (65+): БСК - 88%, новообразования - 4%, БОД - 2%. Эти оценки
получены в среднем для четырех южных городов России по результатам
мета-анализа рисков во время всех волн жары.
Сравнение с северными городами. В четырех ранее изученных
нами северных городах (Архангельск, Мурманск, Якутск, Магадан)[25]
было получено гораздо меньше достоверных оценок риска воздействия
волн жары, чем в южных, что объясняется меньшей численностью населения
северных городов, равной 1 млн. чел., в то время как в четырех южных
она составляет 3,4 млн. чел. В северных городах были получены лишь
две достоверные оценки влияния всех волн жары. Сравним их.
1. Для цереброваскулярных причин смерти в возрасте (65+)
относительный прирост смертности во время волн жары составил 66%
(95% ДИ 54%-78%) в южных городах и всего 35% (13%-57%) в северных.
Таким образом, относительный прирост на юге почти в три раза выше,
чем на севере, и разность приростов статистически достоверна.
2. Для смертности от всех внешних причин в возрастной
группе 30-64 относительный прирост во время волн жары на юге составил
27% (17%-37%) по сравнению с 34% (16%-52%) на севере. В пределах
точности вычислений разница между этими оценками несущественна.
Выводы
- В четырех южных городах европейской части России
с суммарным населением 3,4 млн. чел. оценено воздействие на показатели
смертности населения 22 коротких (длительностью 5-7 дней) и 19
длинных волн жары (длительностью от 8 дней и более, не считая
аномально продолжительной волны 2010 г., которая так или иначе
проявилась во всех городах).
- В каждом из городов получены локальные оценки относительных
рисков смертности во время длинных и коротких волн жары для выбранных
показателей смертности, что позволило вычислить среднюю за год
оценю дополнительной смертности от всех причин в данном городе
во время волн жары. Преждевременная смертность на 100 тыс. населения
составила: 7,6 (95% ДИ 6,7-8,5) случаев смертности в год в Волгограде:
8,1 (7,2-8,9) в Ростове: 8,5 (7,5-9,6) в Краснодаре и 10,8 (9,3-12,2)
в Астрахани. Наиболее высокие риски в Астрахани объясняются рекордным
числом длинных волн жары.
- Мета-анализ риска по четырем южным городам России
показал статистически значимые результаты совокупной оценки риска
для 15 изученных показателей из 16 (кроме гипертонии в возрастной
группе 30-64 лет, исключенной из исследования из-за малого количества
случаев).
- Данное исследование подтвердило ранее полученный
в других городах результат: старшая возрастная группа больше подвержена
действию жары. В частности, относительный прирост смертности от
всех естественных причин во время волн жары в возрастной группе
65+ был почти в два раза выше, чем в возрастной группе 30-64 лет.
- Получены ограниченные доказательства того, что относительный
прирост смертности в расчете на каждый день во время длинных волн
жары более выражен, чем во время коротких волн.
- Основной вклад в преждевременную смертность из-за
волн жары вносят сердечно-сосудистые заболевания, на втором месте
- новообразования, на третьем - болезни органов дыхания. Этими
тремя группами причин объясняются до 85% прироста всей естественной
смертности в возрастной группе 30-64 и до 94% прироста в возрастной
группе от 65 лет и старше. Вместе с тем важную роль в объяснении
всей дополнительной смертности играют и внешние причины.
- Сравнение рисков смертности во время волн жары между
южными и северными городами России не удастся провести в полном
объеме из-за малого числа достоверно установленных рисков в северных
городах. Однако прирост смертности от цереброваскулярных заболеваний
в возрастной группе от 65 лет и старше в южных городах достоверно
выше, чем в северных (соответственно 66 и 35%).
- Полученные результаты планируется использовать при
подготовке региональных планов действий по защите здоровья населения
от воздействия жары.
[1] Исследование выполнено
при поддержке гранта «Влияние региональных изменений климата на
показатели смертности населения» Программы Президиума РАН к Фундаментальные
науки медицине».
[2] Ревич Борис Александрович
– д.м.н., профессор, Заведующий лабораторией ИНП РАН.
[3] Шапошников Дмитрий Анатольевич
– к .ф.-м. н., старший научный сотрудник ИНП РАН.
[4] Подольная Марина Аркадьевна
– научный сотрудник ИНП РАН.
[5] Харькова Татьяна Леонидовна
– к.э.н., старший научный сотрудник Института демографии НИУ ВШЭ.
[6] Кваша Екатерина Александровна
- к.э.н., старший научный сотрудник Института демографии НИУ ВШЭ.
[7] См., например: De Sario
М., Katsouyanni К., Michelozzi Р. Climate Change. Extreme Weather
Events. Air Pollution and Respiratory Health in Europe // European
Respiratory Journal. 2013. №42(3); Anderson OS., Bell M.L. Heal
Waves in the United States: Mortality Risk During Heal Waves and
Effect Modification by Heat Wave Characteristics in 43 US Communities
// Environmental Health Perspectives. 2011. №119; Gasparrini A.,
Armstrong B. The Impact of Heat Waves on Mortality // Epidemiology.
2011. №22; Baccini M., Kosatsky T., Analitis A., et al. Impact of
Heat on Mortality in 15 European Cities: Attributable Deaths Under
Different Weather Scenarios // Journal of Epidemiology and Community
Health. 2011. №65; D'Ippoli U.D., Michelozzi P., Marino C. et al.
The Impact of Heat Waves on Mortality in 9 European Cities: Results
from the EuroHEAT Project // Environmental Health. 2010. №9; Rocklov
J., Barnett A.G., Woodward A. On the Estimation of Heat-Intensity
and Heat-Duration Effects in Time Series Models of Temperature-Related
Mortality in Stockholm. Sweden // Environmental Health. 2012. №11.
[8] Shaposhnikov D., Revich
В., Bellander T., Bedada G.B., Bottai M., Kharkova T. Kvasha E.,
Lezina E., Lind T., Semutnikova E. and Pershagen G. Mortality Related
to Interactions Between Heat Wave and Wildfire Air Pollution During
the Summer of 2010 in Moscow // Epidemiology. 2014. №3. Vol. 25.
[9] Shaposhnikov D., Revich
B., Meleshko V., Govorkova V. and Pavlova T. Climate Change May
Reduce Annual Temperature-Dependent Mortality in Subarctic: A Case
Study of Archangelsk. Russian Federation // Environment and Hatural
Resources Research. 2011. №1.
[10] D'Ippoli U.D., Michelozzi
P., Marino C. et al. The Impact of Heat Waves on Mortality in 9
European Cities: Results from the EuroHEAT Project // Environmental
Health. 2010. №9
[11] Revich B. and Shaposhnikov
D. Excess Mortality During Heat Waves and Cold Spells in Moscow.
Russia // Occupational and Environmental Medicine. 2008. №65 (10).
[12] Варакина Ж.Л., Юрасова
Е.Д., Реет В.А. и др. Оценка влияния температуры воздуха на смертность
населения Архангельска в 1999-2008 гг. // Экология человека. 2011.
№6.
[13] Revich В.A., Shaposhnikov
D.A. Extreme Temperature Episodes and Mortality in Yakutsk. East
Siberia //Rural and Remote Health. 2010. 10(2): 1338 (online).
[14] Ревич Б.А. Волны жары,
качество атмосферного воздуха и смертность населения европейской
части России летом 2010 г.: результаты предварительной оценки //
Экология человека. 2011. №7.
[15] Там же.
[16] Механтьев В.В., Пичужкина
Н.А., Масайлова Л.А. Волны жары и смертность населения г. Воронежа
// Гигиена и санитария. 2013. №6.
[17] Ревич Б.А. Волны жары,
качество атмосферного воздуха и смертность населения европейской
части России летом 2010 г.: результаты предварительной оценки //
Экология человека. 2011. №7; Ревич Б.А., Шапошников Д.А. Изменения
климата, волны жары и холода как факторы риска повышенной смертности
населения в некоторых регионах России // Проблемы прогнозирования.
2012. №2.
[18] Shaposhnikov D., Revich
В., Bellander T., Bedada G.B., Bottai M., Kharkova T., Kvasha E.,
Lezina E., Lind T., Semutnikova E. and Pershagen G. Mortality Related
to Interactions Between Heat Wave and Wildfire Air Pollution During
the Summer of 2010 in Moscow // Epidemiology. 2014. №3. Vol. 25.
[19] Чазов Е.М., Бойцов С.А.
Влияние аномального повышения температуры воздуха на смертность
населения // Терапевтический архив. 2012. №1.
[20] National Climatic Data
Centre (NCDC). http://wvnv.ncdc.noaa.gov
[21] Федеральная служба no
гидрометеорологии и мониторингу окружающей среды (Росгидромет).
Официальный сайт http://cliware.meteo.ni/meteo/
[22] Методы статистического
анализа влияния волн жары на показатели смертности населения подробно
описаны нами в: Ревич Б.А., Шапошников Д.А. Изменения климата, волны
жары и холода как факторы риска повышенной смертности населения
в некоторых регионах России // Проблемы прогнозирования. 2012. №2.
[23] Федеральная служба Государственной
статистики. 2010. Об итогах Всероссийской переписи населения 2010
г. Т. 1. Численность и размещение населения. Табл. 5. http://www.gsk.ru
[24] Der-Simonian R., Laird
N. Meta-Analysis in Clinical Trials // Controlled Clinical Trials.
1986. №7(3).
[25] Ревич Б.А., Шапошников
Д.А. Изменения климата, волны жары и холода как факторы риска повышенной
смертности населения в некоторых регионах России // Проблемы прогнозирования.
2012. №2.
|