 |
Внешние причины
смерти и продолжительность жизни в России |
|
Над темой номера работал
|
 |
|
Валерий ЮМАГУЗИН
|
|
Вклад внешних причин смерти в изменение ожидаемой продолжительности
жизни
В период с 1990 по 2009 год динамика ожидаемой продолжительности
жизни в России была разнонаправленной: в 1990-2004 годах наблюдалось
ее резкое и сильное снижение, которое после некоторого подъема во
второй половине 1990-х повторилось в 1998-2003 годах. В 2003-2005
годах происходил слабовыраженный рост показателя, усилившийся с
2005 года. В 2009 году ожидаемая продолжительность жизни женщин
превысила показатель 1990 года всего на 0,4 года, в то время как
у мужчин она все еще была меньше на 0,9 года (рис. 17).

Рисунок 17. Ожидаемая продолжительность жизни при рождении
в России по полу, 1990-2009 годы, лет
Источник: Росстат.
Соответственно этим колебаниям ожидаемой продолжительности
жизни внутри всего периода 1990-2009 гг. было выделено шесть
подпериодов (табл. 4), для которых с помощью метода декомпозиции
Е. Андреева18 было
бы определено, за счет смертности в каком возрасте и от каких причин
смерти происходило изменение ожидаемой продолжительности жизни.
Таблица 4. Изменение ожидаемой продолжительности жизни
в России по полу в 1990-2009 годах, в годах
|
Период
|
Изменение ожидаемой продолжительности жизни
|
|
Мужчины
|
Женщины
|
|
1990-1994
|
-6,3
|
-3,2
|
|
1994-1998
|
3,8
|
2,0
|
|
1998-2003
|
-2,6
|
-1,3
|
|
2003-2005
|
0,3
|
0,6
|
|
2005-2007
|
2,5
|
1,5
|
|
2007-2009
|
1,4
|
0,8
|
|
всего за 1990-2009
|
-0,9
|
0,4
|
Источник: Росстат.
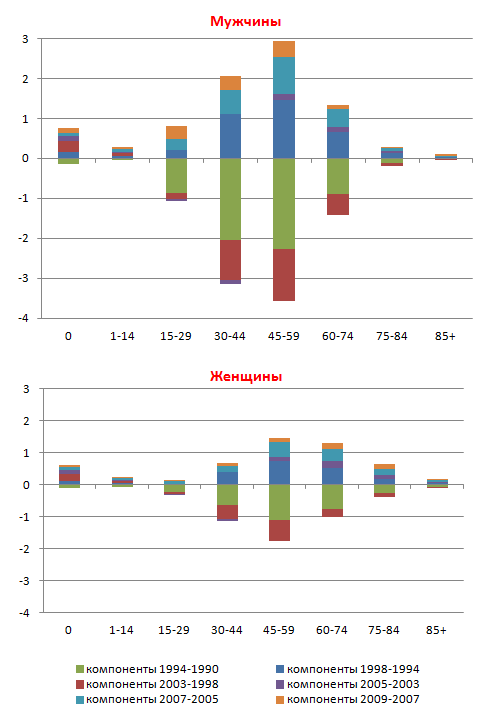
Анализируя компоненты изменений продолжительности жизни
по возрасту и по полу в России, можно заметить, что хотя эти изменения
у женщин были меньшими, чем у мужчин, и у тех, и у других прирост
показателя определялся, в основном, сокращением младенческой смертности
и смертности в самых старших возрастах. Смертность же в возрасте
15-74 года (особенно в 45-59 лет) то увеличивалась, то сокращалась,
и именно ее колебаниями в большей степени обусловлены общие изменения
ожидаемой продолжительности жизни (рис. 18).

Рисунок 18. Компоненты изменения продолжительности жизни
мужчин и женщин по возрастам и по подпериодам 1990-2009 годов, в
годах
Источник: рассчитано по данным Росстата.
Какова же роль внешних причин смерти в изменениях ожидаемой
продолжительности жизни в течение изучаемого периода? Они в решающей
степени определяется динамикой смертности от двух крупных классов
причин смерти - болезней системы кровообращения и внешних причин
(рис. 19, 20).
Как следует из рис. 19 и приведенной на нем таблицы,
у мужчин изменение смертности от внешних причин в четырех из шести
выделенных подпериодов (1990-1994, 1994-1998, 2003-2005 и 2007-2009)
оказывало на изменение продолжительности жизни в ту или иную сторону
большее влияние, чем изменения смертности от болезней системы кровообращения.

Рисунок 19. Вклад крупных классов причин смерти в изменение
ожидаемой продолжительности жизни мужчин в России по подпериодам
1990-2009 годов, в годах
Источник: рассчитано по данным Росстата.
Изменения смертности от внешних причин у женщин влияли
на изменение продолжительность жизни меньше, однако они прочно занимали
вторую позицию после болезней системы кровообращения (рис. 20).
В указанные отрезки времени вклад изменений смертности от внешних
причин в общие изменения продолжительности жизни никогда не опускался
ниже 20%.

Рисунок 20. Вклад крупных классов причин смерти в изменение
ожидаемой продолжительности жизни женщин в России по подпериодам
1990-2009 годов, в годах
Источник: рассчитано по данным Росстата.
Если рассматривать вклад смертности от крупных классов
причин смерти в изменение ожидаемой продолжительности жизни по выделенным
подпериодам в разрезе отдельных возрастных групп, то обнаружится,
что наибольшие изменения, - как в сторону увеличения смертности
(в т.ч. от внешних причин), так и ее снижения - у мужчин и женщин
в течение всего периода происходили в возрастных группах 15-74 года
синхронно. Это можно проиллюстрировать вкладом отдельных причин
смерти по двум пятилетним интервалам: 1990-1994 годы и 1994-1998
годы у мужчин (у женщин картина схожая) (рис. 21). На рисунке хорошо
виден огромный вклад в изменения продолжительности жизни смертности
от внешних причин в средних возрастах. Стоит отметить, что снижение
смертности от внешних причин во втором временном интервале (прирост
ожидаемой продолжительности жизни на 1,49 года) не компенсировало
повышение смертности в первом (снижение на 2,63 года).

Рисунок 21. Вклад основных классов причин смерти в формирование
ожидаемой продолжительности жизни при рождении у мужчин, Россия,
1990-1994 и 1994-1998 годы, в годах
Источник: рассчитано по данным Росстата.
В итоговом повозрастном вкладе внешних причин с 1990
по 2009 год у мужчин наблюдался прирост ожидаемой продолжительности
жизни за счет снижения смертности от этих причин в возрастах до
15 лет, а у мужчин и в возрасте 15-29 лет, но этот положительный
эффект был сведен на нет ростом смертности от внешних причин в других
возрастных группах (рис. 22), так что общий вклад в изменения продолжительности
жизни за весь период был близок к нулю, хотя все же с отрицательным
знаком: -0,02 года у мужчин и -0,11 года у женщин.

Рисунок 22. Вклад основных классов причин смерти и возрастных
групп в изменение продолжительности жизни при рождении у мужчин
и женщин, Россия, 1990-2009 годы, в годах
Источник: рассчитано по данным Росстата.
18 Андреев, Е.М.
Метод компонент в анализе продолжительности жизни // Вестник статистики,
1982, № 9, 42-47.
|