|
|
Понравилась статья? Поделитесь с друзьями:
|
|
|
|
|
|
|
|
|
Динамика численности населения Москвы за 140 лет
Денисенко М.Б.[1],
Степанова А.В.[2]
(Опубликовано в журнале "Вестник Московского университета.
Серия 6. Экономика", 2013 №3, с. 88-97)
Согласно результатам первой городской переписи города
Москвы (1871 г.), численность населения города составила чуть более
600 тыс. человек. Территория города, муниципальная граница которого
проходила по Камер-Коллежскому валу, равнялась 79 км2 (табл.
1). До конца XIX в. границы Москвы практически не менялись. Развитие
города как промышленного центра требовало увеличение его территории
для размещения новых производств.
Вокруг Москвы возникали рабочие слободы и поселки, в
которых размещались новые заводы и фабрики, селились рабочие. "Старая
городская граница, установленная еще в 1785 г., уже не вмещала нового
строительства, и оно перебрасывалось за муниципальную черту... Появилась
еще одна часть Москвы - кольцо московских пригородов, фактически
являвшееся также городской и экономически важнейшей частью столицы"[3].
В 1918 г. пригороды, находившиеся под административным управлением
Москвы, официально вошли в состав города[4].
Таблица 1. Население и территория
Москвы по данным всероссийских и городских переписей
|
Год
|
Территория, км2
|
Население, тыс. человек
|
Плотность (человек на 1 км2)
|
|
1871
|
79,0
|
602,0
|
7623
|
|
1882
|
79,0
|
753,5
|
9541
|
|
1897
|
107,4*
|
1038,6
|
9670
|
|
1902
|
107,4*
|
1092,4
|
9832
|
|
1912
|
176,6*
|
1617,7
|
9160
|
|
1917
|
233,9
|
1854,4
|
7928
|
|
1920
|
233,9
|
1027,3
|
4393
|
|
1923
|
233,9
|
1542,9
|
6598
|
|
1926
|
233,9
|
2025,9
|
8663
|
|
1939
|
326,2
|
4137,0
|
12682
|
|
1959
|
379,4
|
5085,6
|
13404
|
|
1970
|
878,7
|
7061,0
|
8036
|
|
1979
|
878,7
|
7931,6
|
9027
|
|
1989
|
1071,9
|
8875,6
|
8280
|
|
2002
|
1071,9
|
10382,8
|
9686
|
|
2010
|
1077,0
|
11503.5
|
10681
|
|
2012
|
2510,0
|
11612,9
|
4627
|
Примечание: численность населения приводится на дату
переписи, за исключением 1931 и 2012 гг. (на 1 января). До 1979
г. включительно - наличное население, далее - постоянное;
* - территория и население с пригородами, для 1959- 1989 гг.
- территория и население, подчиненные Горсовету Москвы.
Источник: составлено авторами по данным: Всесоюзная
перепись населения 1926 года. Т. 36. М., 1930; Всесоюзная перепись
населения 1939 года: основные итоги / Под ред. Ю.А. Полякова.
М., 1992; Москва в годы реформ (1992-1996); Краткий стат. справочник.
М., 1997; Москва в цифрах 1917-1977. М., 1977; Москва в цифрах
за годы Советской власти 1917-1967. М., 1967; Москва в цифрах:
с начала века до наших дней. М., 1997; Первая Всеобщая перепись
населения Российской империи 1897 г. / Под ред. Н.А. Тройницкого.
Т. XXIV: Московская Губерния. СПб., 1905; Перепись Москвы 1882
года. Вып. 3.: Население и занятия. М., 1885; Перепись Москвы
1902 года. М., 1904; Статистические сведения о жителях г. Москвы
по переписи 12 декабря 1871 года. М., 1874; Статистический атлас
города Москвы. Территория, состав населения, грамотность и занятия.
М., 1911; Статистический атлас города Москвы и Московской губернии.
Вып. 1.: Население. М., 1924; Статистический справочник Москвы
и Московской губернии 1927. М., 1928; Численность населения СССР
по переписи на 15 января 1959 года по республикам, краям, областям,
национальным округам, районам, городам, поселкам городского типа,
районным центрам и крупным сельским населенным местам (по административно-территориальному
делению на 1 января 1960 г.). М., 1960; Всероссийская перепись
населения 2002 года: сайт. URL: http://www.perepis2002.ru/ index.litml?id=11
(дата обращения: 01.03.2012); Всероссийская перепись населения
2010 года: сайт. URL: http://www.perepis-2010.ru/results_of_tlie_census/results-inforrn.plip
(дата обращения: 12.03.2012); Соглашение об изменении границы
между субъектами Российской Федерации, городом Москвой и Московской
областью. Утв. постановлениями Московской городской Думы от 07.12.2011
N 372 и Мособлдумы от 07.12.2011 N 1/177-П. Заключено 29.11.2011
// КонсультантПлюс [Электронный ресурс]. М., 1992. Режим доступа:
локальный. Дата обновления: 23.12.2012.
Индустриализация 1920-1930-х гг. способствовала дальнейшему
расширению территории Москвы. К началу Великой Отечественной войны
в состав города вошли районы Алексеевское, Марфино, Воробьевы горы,
Петровско-Разумовское, Кожухово, Фили, Грай-вороново, Верхние и
Нижние Котлы, Шелепиха, Карамышево, Серебряный бор, Измайлово и
др. В 1950-е гг. в состав Москвы вошли Внуково, Некрасовка, села
Раменки, Черемушки, Верхние Мневники, Хорошево, Покровское-Глебово.
Самые значимые административно-территориальные преобразования
столицы были проведены в 1960 г., когда в черту города вошли все
населенные пункты (города, сельские поселения, рабочие и дачные
поселки), расположенные на территории, ограниченной Московской кольцевой
автомобильной дорогой (МКАД) - г. Бабушкин, г. Кунцево, г. Перово,
г. Тушино, сельские поселения Бескудниково, Бирюлево, Головино,
Крылатское, Медведково, Сабурово, Нагатино и др. В результате расширения
границы города его площадь возросла более чем в 2 раза, а рост населения
составил более 1 млн. человек. В 1963 г. город Зеленоград был передан
в подчинение Ленинградскому районному Совету Москвы, а в 1968 г.
он стал новым районом города.
В 1983-1984 гг. территория Москвы увеличилась за счет
присоединения некоторых районов, расположенных за МКАДом, - Солнцево,
Бутово, Митино, Жулебино и др. Площадь Москвы выросла на 193 км2,
а население - на 117 тыс. человек.
В результате административно-территориальных преобразований
с 1871 по 2010 гг. площадь Москвы увеличилась на 998 км2,
а население - более чем на 1,2 млн. человек.
1 июля 2012 г. вступил в силу закон, определяющий новые
границы между Москвой и Московской областью (к Москве присоединены
территории Московской области, расположенные между Варшавским шоссе,
большим кольцом Московской железной дороги и Киевским шоссе). В
состав города вошли 1440 км2 территорий, на которых проживают
около 250 тыс. человек. Таким образом площадь города составила более
2500 км2, а население - более 11,6 млн. человек.
Тенденция к росту плотности населения Москвы (табл.
1) прерывалась в периоды расширения территории города и в военные
годы. Самая высокая плотность населения была зафиксирована в 1959
г. (более 13 тыс. человек на км2). Высокой она была и
в 1939 г., но Вторая мировая война помешала реализации мер по расширению
Москвы, предусмотренных Планом реконструкции города от 1935 г.
Регулярно проводимые переписи населения и качественная
система учета естественного движения в городе позволяют достаточно
точно оценить миграционный прирост методом демографического баланса.
Статистические данные о рождениях и смертях в столице
с 1878 по 2011 г. показывают вклад естественного движения в рост
численности населения Москвы (рис. 1).

Рисунок 1. Родившиеся и умершие в Москве с 1878
по 2010 гг. (тыс. человек)
Источник: расчеты авторов по данным: Московский статистический
ежегодник 2010. Экономика Москвы в 1992 - 2009 году. М., 2010;
Сведения о естественном движении населения // ЦАГМ. Ф. 126. Оп.
13. Д. 59, 159, 162, 165, 173, 189, 220, 366, 387, 397; РГАЭ.
Ф. 1562. Оп. 20. Д. 500, 577.
Резкие колебания в числах родившихся и умерших обусловлены
жестокими военными и социально-политическими кризисами. Устойчивый
рост числа умерших, начавшийся примерно в 1960 г., отражает набирающий
силу процесс демографического старения на фоне негативных тенденций
в смертности населения. В общей сложности в Москве с 1900 по 2010
г. родилось 8,3 млн. человек, умерло 7,7 млн. человек. Естественный
прирост составил всего 0,6 млн. человек.
Построение демографического баланса авторами статьи
проводилось за межпереписные периоды (1897-1913, 1914-1926, 1939-1949
и 1950-1958), за исключением 1914 г. - начало Первой мировой войны,
и 1950 г. - период послевоенного восстановления жизни. При балансовых
расчетах численность населения города бралась в соответствующих
границах на 1 января года, открывающего изучаемый период. Оценка
еще одной компоненты изменения численности населения города - административно-территориальных
преобразований (АТП) - выполнялась (в случае отсутствия текущих
административных оценок) по данным предшествующих переписей.
Таблица 2. Демографический
баланс Москвы с 1897 по 2010 гг. (тыс. человек)
|
Период
|
Естественный прирост
|
Миграционный прирост
|
АТП
|
|
1897-1913
|
157
|
536
|
2
|
|
1914-1926
|
46
|
128*
|
40
|
|
1927-1938
|
322
|
1830
|
15
|
|
1939-1949
|
220
|
-201*
|
2
|
|
1950-1958
|
291
|
612
|
25
|
|
1959-1969
|
274
|
784
|
1008
|
|
1970-1978
|
149
|
751
|
10
|
|
1979-1989
|
154
|
647
|
117
|
|
1989-2002
|
-769
|
2175
|
3
|
|
2003-2010
|
-205
|
1319
|
0
|
|
Всего за 1897-2010
|
639
|
8654
|
1222
|
* Включая тех, кто не вернулся с фронта.
Источник: расчеты авторов.
Результаты расчетов, представленные в табл. 2, показывают,
что миграция вносила решающий вклад в рост численности населения
Москвы по сравнению с естественным движением и АТП границ города
(за исключением периода 1959 - 1969 гг., когда к Москве были присоединены
новые территории с миллионным населением). Наиболее мощный миграционный
приток отмечался в 30-х гг. и в 90-х гг. XX века. В 1930-е гг. Москва
превратилась в один крупнейших индустриальных центров не только
страны, но и мира. В конце XX в. на миграционной динамике сильно
сказались последствия распада СССР и отмена института прописки.
С конца 1980-х гг. миграция обеспечивает не только рост населения
города, но и компенсирует значительную естественную убыль населения.
По балансовым оценкам, миграционный прирост Москвы с 1897 по 2010
г. составил 8,6 млн. человек.
По данным текущего статистического учета, с 1928 по
2010 г. в Москве зарегистрировано 20,8 млн. прибытий, 14,8 млн.
выбытий, миграционный прирост составил 6,0 млн. человек (рис. 2).

Рисунок 2. Миграционные потоки по данным текущего
учета
Источник: расчеты авторов по данным: Сведения о миграционном
движении населения // ЦАГМ. Ф. 126. Оп. 13. Д. 65, 122, 163, 167,
175, 191, 205, 222, 237, 254, 268, 287, 301, 319, 338, 352, 374,
381, 391, ... 819; РГАЭ. Ф. 1562. Оп. 20. Д. 57, 117, 145, 175,
176. Оп. 44. Д. 2671.
Сравнение оценок миграционного прироста, полученных
методом демографического баланса, и по данным текущего учета, позволяет
оценить качество последнего. Полнота учета механического движения
определялась как отношение разности между оценкой миграционного
прироста по данным текущего учета и оценкой миграционного прироста
по данным демографического баланса к оценке по демографическому
балансу. Чем больше расхождение между оценками, тем хуже качество
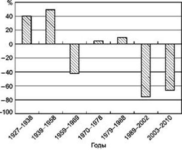
учета (рис. 3).

Рисунок 3. Расхождения в оценках миграционного
прироста г. Москвы по данным текущего учета и демографическому балансу
Источник: расчеты авторов.
Отрицательные значения показывают, что оценка по демографическому
балансу больше оценки миграционного прироста, полученной непосредственно
по данным текущего учета. В первую очередь это объясняется недоучетом
прибытий в системе текущего учета миграции. Положительные значения
показателей свидетельствуют о превышении оценки по данным текущего
учета над оценкой, полученной балансовым методом. Главной причиной
такого несоответствия оказывается недоучет выбытий из города. При
совпадении двух оценок качество учета является высоким. Такое благополучное
положение дел наблюдалось в период 1960-1980-х гг., когда в столице
действовали административные ограничения по проживанию. Самым плохим
учет миграции был в период становления системы текущего учета миграции
(1930-е гг.) и в постсоветский период, когда прежняя система учета,
основу которой составлял институт прописки, была разрушена, а новая
еще не создана.
Таким образом, демографический баланс Москвы с 1990
по 2010 г. представлен следующим образом:
- на 1 января 1900 г. численность населения составляла 1,1 млн.
человек;
- родилось 8,3 млн. человек, умерло 7,7 млн. человек, естественный
прирост составил 0,6 млн. человек;
- миграционный прирост составил 8,6 млн. человек;
- прирост население в результате АПТ добавил 1,2 млн. человек;
- к 1 января 2011 гг. численность населения Москвы увеличилась
до 11,5 млн. человек.
Проведенные расчеты подтверждают решающую роль миграции
в формировании населения Москвы.
О важной роли миграции в формировании населения Москвы
также свидетельствуют доли местных и неместных уроженцев в общей
численности населения города (табл. 3).
Таблица 3. Распределения населения
Москвы по месту рождения (в %)
|
Место рождения
|
1897 г.
|
1926 г.
|
1989 г.
|
2002 г.
|
|
Москва
|
26,2
|
34,8
|
53,0
|
53,0
|
|
Вне Москвы
|
73,5
|
64,9
|
46,1
|
42,6
|
|
Московская область
|
22,5
|
11,6
|
7,1
|
6,7
|
|
Приграничные области
|
38,6
|
27,5
|
11,5
|
7,4
|
|
Другие области Центрального округа
|
2,7
|
5,3
|
6,7
|
5,2
|
|
Северо-Западный округ
|
1,7
|
2,7
|
1,8
|
1,9
|
|
Поволжье
|
2,0
|
4,5
|
5,0
|
4,3
|
|
Юг и Северный Кавказ
|
0,4
|
0,7
|
1,5
|
1,9
|
|
Урал
|
0,2
|
0,3
|
1,3
|
1,3
|
|
Сибирь и Дальний Восток
|
0,1
|
0,4
|
2,4
|
3,1
|
|
Украина и Молдавия
|
1,8
|
3,8
|
4,1
|
4,3
|
|
Белоруссия и Прибалтика (кроме 1926 г.)
|
1,9
|
2,5
|
1,5
|
1,0
|
|
Закавказье и Средняя Азия
|
0,1
|
0,7
|
2,7
|
4,5
|
|
Другие государства
|
1,5
|
4,9
|
0,5
|
1
|
|
Территория рождения не указана
|
0,3
|
0,3
|
0,9
|
4,4
|
Источник: расчеты авторов по данным: Всесоюзная перепись
населения 1926 года. Т. 36. М., 1930; Всесоюзная перепись населения
1989 года // РГАЭ. Ф. 1562. Оп. 69. Д. 3148; Первая Всеобщая перепись
населения Российской империи 1897 г. / Под ред. Н. А. Тройницкого.
Т. XXIV: Московская Губерния. СПб., 1905; Всероссийская перепись
населения 2002 года: сайт. URL: http://www.perepis2002.ru/index.
html?id=11 (дата обращения: 01.03.2012).
Результаты первых переписей показывают, что до войны
население Москвы формировалось в соответствие с гравитационной моделью
миграции: большая часть мигрантов являлась уроженцами близлежащих
Московской и пограничных с ней губерний. Московский "демографический
насос" был настолько сильным, что в период интенсивной урбанизации
оставил Центральную Россию без крупнейших городов (исключением являются
старые городские центры - Ярославль и Нижний Новгород). По мере
роста населения столицы, исчерпания людских ресурсов в Московском
и других старорусских регионах, а также развития модернизационных
процессов в различных частях СССР, география происхождения москвичей
постепенно стала меняется. Так, за последние годы уменьшается доля
уроженцев областей Центральной России и увеличивается доля уроженцев
Средней Азии и Закавказья. Если в 1926 г. последних было в 40 раз
меньше, чем уроженцев пограничных с Московской областей, то в 2002
г. - всего лишь в 1,6 раза. Перепись 2010 г. (на дату написания
статьи том 8 переписи населения "Продолжительность проживания населения
в месте постоянного жительства" еще не опубликован), очевидно, подтвердит
эту тенденцию, как и тенденцию к увеличению пропорции родившихся
на Северном Кавказе и в восточной части страны.
За рассмотренный период времени численность населения
Москвы неуклонно увеличивалась, за исключением периода революций
и первой гражданской войны (1917-1920), когда население столицы
сократилось вследствие царившей в городе разрухи и голода. Основным
компонентом роста населения города являлся миграционный прирост.
На 2010 г. по показателю плотности население Москва попала в группу
таких столиц, как Пекин, Дели, Манила, Тегеран. Увеличение территории
города в 2012 г. позволило Москве по плотности населения войти в
группу столиц развитых стран (Лондон, Мадрид, Берлин, Париж). Однако
город несколько раз расширял свои границы, и за каждым таким расширением
следовал период быстрого освоения новых территорий и роста численности
населения. Причем из-за особого социально-экономического положения
столицы на карте России этот рост не могли остановить никакие запретительные
административные меры.
[1] Денисенко Михаил Борисович
- канд. экон. наук, доцент, зав. кафедрой демографии НИУ ВШЭ.
[2] Степанова Анастасия Викторовна
- аспирант НИУ ВШЭ, мл. науч. сотр. лаборатории экономики народонаселения
и демографии МГУ имени М. В. Ломоносова.
[3] История Москвы. М., 1955.
Т. 5. С. 13
[4] См.: Гаврилова
И.Н. Население Москвы: исторический ракурс. М., 2001. С. 39.
|