|
|
Понравилась статья? Поделитесь с друзьями:
|
|
|
|
|
|
|
|
|
 |
Автор обзора Екатерина МАРЧЕНКО (студентка 4 курса Факультета
мировой экономики и мировой политики НИУ ВШЭ)
Рубрику ведет
Илья КАШНИЦКИЙ
|
The changing rural-urban divide in China's megacities
Несмотря на активное экономическое развитие и урбанизацию
Китаю свойственна проблема двойственной экономики - разрыва между
деревней и городом в сферах государственных служб, инфраструктуры
и доходов. Правительства на всех уровнях пытаются стимулировать
интеграцию сельской и городской местности в единую экономику.
Группа исследователей из университета Тонцзи (Чэнь
Чэнь, Ричарл Легейтс, Минь Чжао, Чэньхао Фан) изучили мегагорода
Китая (Рис. 1) - города с населением более 5 миллионов резидентов.
На 2015 год их было 14, и каждый из них включает как очень урбанизированные
районы, так и периферийные с меньшей урбанизацией и сельскую местность.
Авторы рассматривают изменения, произошедшие с 1990 года по 2014
год в сфере интеграции городской и сельской местности, уменьшения
разрыва между ними.
Рисунок 1. Мегагорода Китая, агломерации с населением
более 5 млн. человек в 2015 году
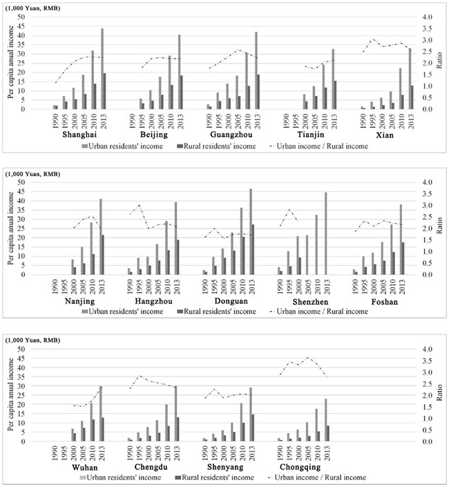
Данные о доходах населения позволяют сделать следующий
вывод (Рис. 2): в 10 из 14 рассматриваемых городов сокращается разрыв
по доходам между сельским и городским населением. Причем в наиболее
процветающих и технологически развитых городах, к которым относятся
Шанхай, Пекин, Ханчжоу, установилась постоянная пропорция доходов
- сельские территории не могут развиваться быстрее урбанизированных
районов.
Рисунок 2. Средний доход на одного жителя в мегагородах
Китая, 1990-2013
Данные о занятости деревенского населения говорят о
следующем: с одной стороны, процент жителей, занятых в сельскохозяйственной
деятельности падает, с другой стороны, растет разнообразие сфер
деятельности сельских жителей. Популярным становится образ жизни
"живу в деревне, работаю в городе". Более того, стало
принято сочетать традиционные сельские занятия c городскими, такими
как строительство, производство, торговля, сфера услуг и другими.
Мегагорода Китая демонстрируют то, каким путем в будущем
вероятнее всего будет идти развитие и урбанизация остальных регионов.
Они являются примером успешной сельскохозяйственной модернизации
в особенности по сравнению с другими регионами Китая. Так, количество
людей, занятых в сельскохозяйственном секторе снизилось, зато продуктивность
в этом секторе возросла. Причинами такого тренда являются следующие
факторы: экономическое развитие в целом в сочетании с урбанизацией,
местные практики развития в сочетании с национальной политикой.
Авторы отмечают, что местные власти очень эффективно реагируют на
решения, принимаемые в этой сфере на глобальном уровне, и развивают
свои практики, применимые к конкретной территории. Также важно,
что приоритетом политики постепенно становятся цели развития комфортных
условий для жизни человека (от улучшения экологии до гендерного
равенства) вместо экономического роста, оторванного от этих целей.
Значительным ограничением работы выступает качество
собираемой статистики. У большого количества жителей мегагородов
нет местной прописки в соответствии с системой регистрации домашних
хозяйств (Хукоу). Это означает, что данные по их доходам городскими
властями не собираются и соответственно не учитываются в этой работе.
Предположительно уровень доходов этой категории жителей не очень
высок из-за накладываемых отсутствием Хукоу ограничений на доступ
к услугам в области социального обеспечения. Факт исключения из
анализа этой категории жителей свидетельствует о том, что доходы
и производительность труда в мегагородах могут быть завышены в этом
исследовании.
|