|
|
Понравилась статья? Поделитесь с друзьями:
|
|
|
|
|
|
|
|
|
 |
Рубрику ведет
Илья КАШНИЦКИЙ
|
Women live longer than men even during severe famines
and epidemics
|
Zarulli, V., Jones, J. A. B., Oksuzyan, A., Lindahl-Jacobsen,
R., Christensen, K., & Vaupel, J. W. (2018). Women live
longer than men even during severe famines and epidemics.
Proceedings of the National Academy of Sciences, 201701535.
https://doi.org/10.1073/pnas.1701535115
|
Исследование Вирджинии Зарулли и соавторов, опубликованное
в престижном журнале Национальной академии наук (США), широко освещалось
в международной прессе - видимо, из-за очень простого, казалось
бы, ключевого вывода: женщины - сильный пол.
Женщины живут дольше мужчин. Во всех развитых человеческих
сообществах. По большому счету, универсального и бесспорного объяснения
этого феномена нет. Существующие объяснения опираются как на биологические
различия, так и на многочисленные социальные нормы и поведенческие
различия. Известно, что в некоторых исторических популяциях людей
смертность женщин могла быть очень высокой в репродуктивных возрастах.
Но качественных данных мало. Авторы данного исследования решили
проверить, сохраняется ли преимущество женщин в условиях катастрофически
высокой смертности. В статье анализируются различия в смертности
между мужчинами и женщинами в считанных случаях, когда человеческие
популяции, подверженные невероятно высокой смертности, оказываются
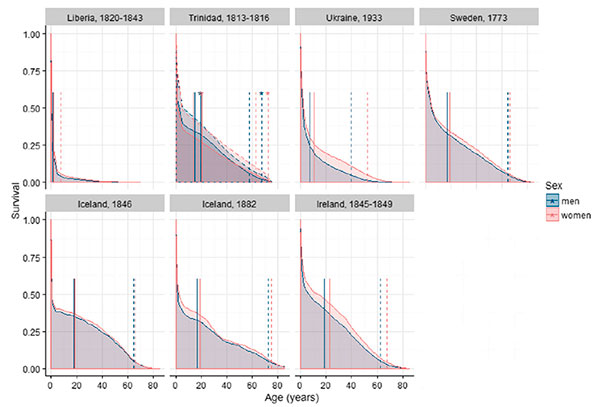
неплохо задокументированными статистически. Удалось найти лишь 7
подобных случаев: освобожденные рабы в Либерии в 1820-1843 годах,
рабы на плантациях Тринидада в 1813-1816 годах, голодомор на Украине
в 1933 году, голод в Швеции в 1772-1773 годах, эпидемии в Исландии
в 1846 и 1882 годах и голод в Ирландии в 1845-1849 годах. Во всех
этих случаях, смертность женщин оказывалась ниже смертности мужчин
(Рис. 1).
Рисунок 1. Модельные кривые дожития мужчин и женщин
в популяциях, подверженных экстремально высокой смертности. Вертикальными
сплошными линиями отмечены оценки ожидаемой продолжительности жизни,
пунктирными линиями - доверительные интервалы оценок.
По мнению авторов, результаты в первую очередь подтверждают
гипотезы о биологических причинах превосходства женщин в дожитии.
Социальные факторы лишь усиливают дисбаланс.
|