Rambler's Top100

№ 737 - 738
28 августа - 10 сентября 2017

О проекте

Институт демографии Национального исследовательского университета "Высшая школа экономики"

первая полоса

содержание номера

читальный зал

приложения

обратная связь

доска объявлений

поиск

архив

перевод    translation

Оглавление Глазами аналитиков 

Брачность, рождаемость и воспроизводство материнского поколения в Беларуси и Украине: опыт сравнительного анализа

Причины развода в современной России

Проблемы коллизионного регулирования брачно-семейных отношений в международном частном праве России

Архив раздела Глазами аналитиков


Понравилась статья? Поделитесь с друзьями:


Google
Web demoscope.ru

Причины развода в современной России[1]

Лактюхина Е.Г., Антонов Г.В.
(Опубликовано в журнале "Народонаселение", 2016, №4, с. 57-67)

Исторически первой и при этом достаточно сильной научной школой исследования проблемы развода является традиция его изучения с позиций детерминированности внешними социальными факторами. Так, в работах П.А. Сорокина отмечается, что патриархальный брак, потеряв свое религиозное наполнение и общественно-исторические основания, начинает разрушаться как социальный институт[2]. Позже Т. Парсонс объясняет рост разводов экономическими преобразованиями в обществе, приводящими его подсистемы в нестабильность[3], а У. Огборн и М. Нимкофф формулируют теорию «перехвата» семейных функций другими институтами, который приводит к дезорганизации семьи[4]. Развод в перечисленных и близких им концепциях получает негативную окраску. Уникальным в этом смысле (из-за положительной оценки развода) является феминистский подход к изучению семьи, представленный работами С. Бовуар, Л. Абрамс, Дж. Бернард и т.п. Являясь открыто идеологическим, он заимствует многие теоретические положения и терминологический аппарат у марксизма[5].

В целом в европейских и американских эмпирических исследованиях развода прослеживается два исследовательских направления: первое — поиск факторов, ведущих к разводу, и второе — выявление супружеских интерпретаций причин, достаточных для развода. Так, на основании анализа статистических данных Национальных лонгитюдных обследований (NLSY) о поколениях 1960-80 гг. Д. Личер, С. Саус и К. Ллойд заключают, что на уровень разводимости влияет избыток супружеских альтернатив в поколении[6]. Одна из первых попыток систематического изучения причин развода была предпринята американским социологом У. Гудом[7]. Позже динамику причин данного феномена исследовали Дж. Левингер, Г. Китсон и М. Сассмэн[8].

В отечественной науке исследования социально-экономических и демографических аспектов функционирования институтов семьи и брака представлены в основном в работах А.Г. Харчева, А.И. Антонова, В.А. Борисова, В.Н. Архангельского, В.В. Елизарова, Е.Н. Новоселовой и др.

Брак и семья в трудах перечисленных исследователей изучались прежде всего с позиций оценки функциональных следствий деятельности данных социальных институтов в масштабах конкретного общества. Такая методологическая традиция берет свое начало в концепции структурного функционализма Т. Парсонса[9].

Отдельно следует отметить труды А.Б. Синельникова, в рамках которых он последовательно отстаивает необходимость изучения проблемы развода с позиций приоритета фамилистических ценностей в обществе над любыми другими (экономическими, политическими и т.п.), детоцентризма и социально ориентированного функционализма[10]. Под его руководством, а также при непосредственном участии за последние несколько десятилетий проведено и значительное число эмпирических социолого-демографических исследований, регулярно осуществляемые научными школами МГУ, НИУ ВШЭ, Росстатом, а также иными научными и образовательными учреждениями. Они показывают сопоставимые результаты с данными, полученными авторами настоящей статьи.

Однако в современной российской социологии и демографии семьи и брака существует своеобразный методологический «разрыв»: развод и повторный брак чаще концептуализируются вне зависимости друг от друга, исключения составляют биографические исследования и исследования семейного жизненного пути. Недостаточно изучены во всей их взаимосвязи и взаимообусловленности объективные социальные факторы, составляющие количественные характеристики рынка повторных браков и качественные характеристики послеразводного поведения бывших супругов.

Кроме того, большинство исследователей состояния и функционирования брачного рынка и института брака в нашей стране трактуют тенденции изменения последнего как негативные, указывая на ряд признаков или проявлений разрушения данного социального института (массовые разводы, распространение практики сожительств, так называемые «новые» или «альтернативные» формы брака и т.п.). Однозначно признавая наличие подобных явлений, отметим, что существуют также и факты, говорящие о том, что такого рода признаки являются только внешними, тогда как глубинные установки на пожизненный брак с детьми остаются в нашей стране неизменными последние полвека, о чем тоже свидетельствуют результаты проводимых нами исследований[11]. Отсюда — одна из сформулированных нами гипотез исследования: институт брака, понимаемый как система норм, ценностей, статусов и ролей с соответствующим набором функций в изучаемой области общественной жизни, в современной России не разрушается, а лишь временно недостаточно эффективно выполняет функцию социального контроля, из чего и проистекают многие негативные явления в брачно-семейной сфере.

В 2015-16 гг. авторами настоящей статьи проводится исследование поведения среднестатистического индивида на рынке повторных браков и факторов, его определяющих. Информационной базой служит анкетный опрос жителей г. Волгоград и Волгоградской области, хотя бы однажды уже переживших опыт развода (при этом не важно, состоят они в браке на момент опроса или нет).

Основной задачей опроса было получение статистической модели выбора вариантов брачного поведения в зависимости от социально-демографических характеристик разведенных, а также причин распавшегося брака (последнего, если их было несколько). Значения основных социально-экономических и демографических показателей Волгоградской области в целом соответствуют общероссийским, а также усредненным по ЮФО. Этот регион правомерно рассматривать в качестве типичного субъекта РФ, а результаты проведенных на его территории обследований - распространять на все демографически активное население страны в целом.

Объем выборочной совокупности составил 415 человек, тип — случайная многоступенчатая, предельная ошибка выборки не превышает 5%. Обработка первичных данных производилась с помощью программы «Statistica». Средний возраст опрошенных составил 39,6 года. Подавляющее большинство опрошенных (84,3%) разводились лишь однажды, 12,8% — по два раза, представительство других разведенных (разводившихся три или четыре раза, а также не указавших очередность развода) в выборочной совокупности статистически не значимо. Важным параметром распавшегося брака выступает его продолжительность, причем существенно отличается средняя продолжительность расторгнутого брака у тех, кто развелся в первый и во второй раз. Распределение значений продолжительности брака у единожды разведенных составило: в среднем — 7,8 года, медиана — 5 лет, мода — 5 лет (13,7%), минимум — 0,3 года, максимум — 37 лет. Следовательно, нельзя утверждать, что расторжения первых по счету браков концентрируются в каком-то определенном по продолжительности диапазоне. Напротив, вероятность распада первого брака практически не зависит от его продолжительности, разве что чуть больше шансов развестись в первые несколько лет.

Повторно разведенные демонстрируют следующие показатели продолжительности брака: в среднем 9 лет, медиана — 9,5 лет, мода — 10 лет (8 случаев или 15,1% расторгнувших брак во второй раз), минимум 1 год, максимум — 25 лет. Заметно, что средняя продолжительность повторных браков существенно выше по сравнению с первыми при меньшем общем разбросе значений. Это означает, что вторые браки в целом прочнее первых, одной из причин чего может выступать более ответственный подход к заключению брака во второй раз (если уж пережившие неудачный опыт вступают в него снова, то для этого должны быть веские основания и уверенность в правильности таких действий).

Более того, у дважды разведенных распределение по продолжительности их первых браков в среднем значительно меньше не только по сравнению с их же собственными вторыми браками, но даже и по сравнению с браками тех, кто разводился только один раз.

Базовые статистические показатели продолжительности первых браков среди повторно разводившихся следующие: в среднем — 5,5 года, медиана — 5 лет, мода — 2 года (8 случаев или 15,1% расторгнувших брак второй раз), минимум — 0,5 года, максимум — 16 лет. Все это может говорить о том, что вступают в брак во второй раз, прежде всего, те, кто имел наиболее негативный опыт первого брака (из всех разведенных), поскольку их первые браки самые короткие по продолжительности, либо они быстрее других понимают, что первый брак — неудачный, и стараются быстрее развестись, чтобы было еще время (по возрасту) вступить в брак снова.

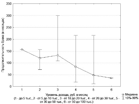
Продолжительность первого брака не зависит от уровней образования и дохода, продолжительность второго брака также не зависит от уровня образования, но выявлена обратная корреляция между длительностью второго брака и уровнем дохода разведенных — чем выше доход, тем в среднем короче по продолжительности второй брак: численные значения коэффициентов ранговой корреляции Спирмена и Кендалла соответственно составили р?-0,51 и т?-0,41 при р?0,00 в обоих случаях.

Оценка статистической связи между продолжительностью второго брака и уровнем дохода респондентов проводилась с помощью непараметрических коэффициентов корреляции, поскольку доход в данном случае был измерен по ранговой шкале. Графически рассматриваемая зависимость представлена на рис. 1.

Рисунок 1. Зависимость продолжительности повторных браков от уровня дохода разведенных (п=53)

Источник: составлено авторами

Приведенные данные говорят в целом о том, что представители более высокодоходных групп населения более критично относятся к собственному повторному браку и, соответственно, быстрее склонны его расторгнуть, если считают брак неудачным. Ключевыми характеристиками распавшегося брака выступает также совпадение/несовпадение основных социально-демографических характеристик разведенных. В частности, в табл. 1 представлены базовые статистические показатели распределения разведенных супругов по возрастам на момент расторжения ими брака (последнего, если их было несколько).

Таблица 1. Соотношения возрастов разведенных супругов по базовым статистическим показателям, лет

Показатель

Мужчины

Женщины

ему

супруге

ей

супругу

Средняя арифметическая

31,1

30,6

30,4

32,8

Медиана

28,5

28

29

31

Мода

28

27

множеств.

27

Минимум

20

18

19

20

Максимум

55

57

57

61

Квартиль-квартиль

26-38

25-34

24-35

27-36

Дециль-дециль

23-43

21-44

22-41

24-44

Источник: составлено авторами.

Представленные данные говорят, прежде всего, о том, что соотношения возрастов разведенных супругов — самые обычные с точки зрения подавляющего большинства жителей нашей страны: мужчина немного старше женщины.

Следовательно, нет никаких оснований предполагать, что одним из факторов нестабильности брака может выступать существенное несовпадение возрастов супругов. Более того, в выборочной совокупности случаи, когда разница в возрасте у разведенных супругов составила более 10 лет, единичны, а пары с разницей в 15 лет и более вообще не обнаружены. Вероятно, браки с разницей в возрасте супругов более 15 лет намного прочнее «обычных».

Уровень образования супругов на момент расторжения брака был измерен по ранговой шкале. Например, между средним и средним профессиональным образованием различие всего в один пункт, а между средним и наличием ученой степени — в четыре (табл. 2).

Таблица 2. Соотношения уровней образования разведенных супругов, %

Различия уровней образования, число пунктов

Мужчины

Женщины

0

51,92

47,54

1

21,15

18,03

2

17,31

21,31

3

3,85

6,55

4

1,92

2,62

не указано

3,85

3,93

Всего

100,0

100,0

Источник: составлено авторами

Из данных табл. 2 видно, что примерно половина разведенных имели со своим бывшим брачным партнером одинаковый уровень образования, а еще у 21% образовательный уровень различался всего на один пункт. Это означает, что уровень образования, как и возраст, в случае большой его разницы у партнеров не оказывает заметного негативного влияния на прочность брака либо индивиды с такой разницей изначально очень редко вступают в брак друг с другом, поскольку уровень образования во многом определяет ключевые сферы жизнедеятельности современного человека. В противном случае среди обследованных нами разведенных было бы гораздо больше пар с существенно различающимся образовательным уровнем.

Отметим, что и разная этническая, а также религиозная принадлежность тоже не являются факторами нестабильности брака (табл. 3).

Таблица 3. Этническая и религиозная принадлежность разведенных супругов, %

Соотношение

Этническая принадлежность

Религиозная принадлежность

Одинаковая

91,5

94,2

Разная

8,5

5,8

Источник: составлено авторами

Респонденты не считают совпадение национальности и вероисповедания фактором устойчивости супружеских отношений. В частности, при ответах на вопрос «От чего, на Ваш взгляд, зависит стабильность брака?» только 11,8% опрошенных выбрали вариант ответа «одинаковая этническая или религиозная принадлежность». Причем такое некритичное отношение к национальности и вероисповеданию супруга(и) не зависит от возраста, уровня образования, дохода респондентов, слабо зависит от пола (мужчины придают чуть большее значение рассматриваемым социально-демографическим характеристикам по сравнению с женщинами) и умеренно — только от очередности распавшегося брака (дважды разведенные придают еще меньшее значение национальности и вероисповеданию по сравнению с разводившимися только один раз). Наименее значим этот фактор для женщин, расторгнувших брак повторно: среди них вообще не выявлено ни одного случая выбора ответа «одинаковая этническая или религиозная принадлежность».

Самые значимые, по мнению разведенных, факторы стабильности брака[12]:

  • взаимное уважение;
  • взаимное чувство любви;
  • супружеская верность;
  • взаимная помощь и поддержка;
  • наличие общих взглядов и интересов;
  • ответственность перед семьей;
  • терпение, терпимость супругов друг к другу.

Все эти факторы не имеют отношения к социально-демографическим характеристикам супругов, более того, почти все они являются субъективными, поскольку представления о взаимной любви супругов, должной степени уважения, ответственности, помощи и поддержке и т.п. сугубо индивидуальны и значит для развода достаточно, чтобы один из супругов просто решил, что другой — безответственный, нетерпимый, не любит, не уважает и т.д.

На вопрос «Что могло бы Вас удержать от расторжения брака при наличии значимых для него причин?» ответы распределились следующим образом:

  • устранение причины развода;
  • чувство любви друг к другу;
  • ничего;
  • наличие общих детей;
  • материальные соображения;
  • затрудняюсь ответить;
  • несогласие супруга(и) расторгнуть брак;
  • боязнь одиночества;
  • вмешательство родственников, друзей или знакомых;
  • иное;
  • религиозные соображения;
  • боязнь осуждения со стороны окружающих.

Следует отметить, что наиболее значимые факторы, способные удержать от развода, тоже в полной мере субъективны (как и причины для развода). Даже наличие общих детей (самый значимый из объективных факторов) могло бы удержать от развода только чуть более 20% опрошенных. Переход от объективных причин для расторжения брака к субъективным считается одним из важнейших отличительных признаков современного общества от традиционного [12].

К объективным причинам, относятся, во-первых, социально-демографические характеристики разведенных, а во-вторых, отдельные причины, не допускающие неоднозначного толкования, например, супружеские измены. К субъективным — все, что относится к индивидуальным брачно-семейным установкам разведенных (чувство любви, представления о приемлемом уровне дохода супруга и т.д.). Кроме того, почти 21% респондентов указали, что их «ничего» не смогло бы удержать от развода, если уж они приняли такое решение.

Еще одной ключевой объективной социально-демографической характеристикой любой группы населения и разведенных, в том числе, выступает наличие и число детей у них. По этому признаку респонденты распределяются следующим образом: не имеют детей — 10,1% опрошенных; один ребенок — 47,2%; два — 32,1%; три — 8,7%; пять — 0,2%; не указано — 1,7%.

Важно, что такое распределение разведенных по числу детей достаточно точно соответствует общей структуре детности семей как на территории Волгоградской области, так и по России в целом[13]. Это означает, что и рассматриваемый объективный признак супружеской пары никак не влияет на прочность брака и нет никаких оснований предполагать, что чаще распадаются семьи, в которых слишком мало (отсутствуют) или слишком много детей. По всей видимости, объективные характеристики как самих разведенных, так и их бывших семей практически не имеют никакого отношения к прочности браков и уровню разводимости в современной России. Имеют значение только преобладающие брачно-семейные установки среди демографически активных групп населения и индивидуальные ожидания от каждого конкретного брака. Если брак или брачный партнер не соответствуют личным представлениям о том, какие они должны быть, то принимается решение о разводе, которое впоследствии может быть обосновано самыми разными причинами.

Сами брачно-семейные установки разведенных весьма показательно характеризует распределение ответов на вопрос: «Выберите те утверждения, с которыми Вы согласны»:

  • брак должен быть один и на всю жизнь — 21,7% опрошенных;
  • если брак оказался неудачным, то можно и нужно разводиться — 59,8%;
  • если первый брак оказался неудачным и закончился разводом, не нужно повторно вступать в брак — 2,9%;
  • если первый брак оказался неудачным и закончился разводом, нужно попытаться снова создать семью с другим партнером — 60,7%;
  • нет ничего плохого в том, что человек состоял в браке несколько раз — 37,3%.

Принципиально важно, что отвечали на данный вопрос все разведенные, но при этом далеко не все одобряют разводы, а также серийную моногамию. В частности, более 21% респондентов считают, что брак должен быть один и на всю жизнь. Это достаточно много, учитывая то, что у 100% опрошенных брак уже точно не на всю жизнь, а у некоторых еще и не один. Вариант ответа «если брак оказался неудачным, то можно и нужно разводиться» выбрали около 60% респондентов, что, напротив, очень мало, поскольку все до одного сами так и поступили как минимум по одному разу. Наконец, ничего плохого не видят в том, чтобы вступить в брак несколько раз, лишь примерно треть опрошенных, однако, если именно первый брак оказался неудачным, то здесь уже одобряют попытку вновь создать семью более 60% респондентов.

Все это говорит, прежде всего, о том, что сами разведенные демонстрируют умеренную степень неодобрения собственного же брачносемейного поведения, то есть разводы и повторные браки в современной России — это в какой-то степени вынужденная мера, к которой прибегают супруги, когда один из них или оба не видят способа как-то приблизить свой брак к собственным субъективным представлениям о нем, независимо от пола, возраста, образования, дохода, наличия/отсутствия детей и т.д.

Результаты опроса косвенно подтверждаются и данными официальной статистики. Если проанализировать численные значения общего коэффициента разводимости (количество разводов на 1000 населения за год) на территории современной России за последние 50 лет, то становится очевидным практически неизменный его уровень в течение указанного периода (с очень незначительной тенденцией в сторону повышения). Более ранние временные отрезки мы не берем, так как до 1966 г. в нашей стране существовал очень сложный порядок расторжения брака через суд. Поэтому резкое повышение числа разводов в СССР после 1965 г. было обусловлено не изменениями в брачно-семейных установках демографически активного населения, а только устранением юридических препятствий для этого (рис. 2).

Рисунок 2. Динамика общего коэффициента разводимости в России
за период 1966-2015 гг., ‰

Источники: Демографический ежегодник России. 2014: Стат. сб. / Росстат. — М., 2014. — С. 215; Россия в цифрах. 201 б: Крат. стат. сб. / Росстат. — М., 2016. — С. 83.

За исключением кратковременного всплеска показателя в 20022004 гг. общий уровень разводимости за последние полвека сохраняется практически постоянным. Важно, что в течение данного периода в России неоднократно менялись самые разнообразные объективные факторы и условия, которые при наличии их связи с демографическими процессами обязательно должны были бы повлиять и на количество разводов. Ярким примером в этом смысле может служить распад СССР в 1991 г. со всеми вытекающими последствиями в виде системных изменений в российском обществе, которые почти никак не отразились на численных значениях общего коэффициента разводимости, что и доказывает отсутствие влияния объективных факторов и причин на брачное поведение подавляющего большинства населения.

Этим еще раз подтверждается, во-первых, огромная инерционность демографических, в том числе брачно-семейных, установок, а во-вторых, то, что они являются базовыми и составляют ядро ценностной структуры личности, не подверженное никаким внешним воздействиям на протяжении как минимум нескольких поколений.

Частным проявлением данного факта может служить и отсутствие связи между количеством разводов и уровнем благосостояния. Последний не сводится только к доходам населения, которые к тому же измерены в несопоставимых денежных единицах, если речь идет о далеко отстоящих друг от друга датах. Поэтому, когда требуется провести сравнительный анализ уровня благосостояния за достаточно длительный период, следует использовать более устойчивые во времени индикаторы. Нам представляется, что одним из них вполне может выступать обеспеченность населения жилплощадью (табл. 4).

Таблица 4. Обеспеченность населения России жилплощадью (общая площадь жилых помещений) за период 1970-2013 гг.

Год

Жилплощадь, всего, млн. кв. м

Численность населения, млн.человек

Обеспеченность жилплощадью на 1 человека, кв. м

1970

1325

129,9

10,20

1980

1846

137,4

13,44

1990

2425

148,3

16,35

2000

2787

146,3

19,05

2005

2955

143,8

20,55

2010

3231

142,9

22,61

2013

3359

143,3

23,44

Источник: Российский статистический ежегодник. 2014: Стат. сб. / Росстат. — М., 2014. — С. 165-170.

С 70-х гг. прошлого века показатели обеспеченности населения нашей страны жильем выросли в 22,5 раза, тогда как значения общего коэффициента разводимости остались практически на том же уровне. Это еще раз доказывает отсутствие сколько-нибудь значимого влияния объективных социальных факторов и условий на демографические процессы вообще и функционирование института брака в частности.

Таким образом, объективные социально-демографические характеристики как брака в целом (продолжительность, очередность, наличие и число детей в нем, совпадение либо несовпадение возраста, уровня образования, национальности и вероисповедания супругов), так и каждого из супругов в отдельности (пол, возраст, уровни образования, благосостояния или дохода и пр.) не оказывают практически никакого влияния на устойчивость супружеских отношений и прочность брака. Примерно равную вероятность развестись имеют молодые и лица средних возрастов, богатые и бедные, люди с высшим и средним образованием, принадлежащие к одному социальному слою и к разным, состоящие в браке один-два года и много лет, с детьми и без детей, и т.п.

Только субъективные представления о браке и брачном партнере, а также степень соответствия/несоответствия этим сугубо индивидуальным представлениям оказывают решающее влияние на стабильность супружеских отношений среди жителей России.

Подобная тенденция уже более лет фиксируется исследователями в большинстве стран Запада, а также на протяжении нескольких десятилетий в нашей стране. Но при этом значительная часть разведенных не одобряют расторжения брака (по сути, свое собственное брачное поведение), а также серийную моногамию.

Следовательно, с одной стороны, переход от объективных причин для развода к субъективным уже практически полностью завершился в нашей стране, а с другой — здесь во многом продолжает действовать система традиционных брачно-семейных норм и ценностей, что противоречит идее о разрушении традиционного брака как социального института.


[1] исследование проведено при финансовой поддержке РГНФ и Администрации Волгоградской области, проект № 15-13-34002 (а/В)
[2] Сорокин П.А. Диспут // Экономист. — 1922. — № 4-5. — С. 277-280.
[3] Parsons T., Bales R. Family, Socialization and Interaction Process. London: Routledge and Keganm Paul. 1956. 353 р.
[4] Ogburn W., Nimkoff M. Technology and the Changing Family. Boston: Houghton Mifflin. 1955. 329 p.
[5] Бовуар С. Второй пол. — СПб.: Алетейя, 1997. — 832 с.; Абрамс Л. Формирование европейской женщины новой эпохи 1789-1918. М.: Изд. дом Высшей школы экономики, 2011. — 408 с.
[6] Lichter D.T. Race and the Retreat from Marriage: A Shortage of Marriageable Men? American Sociological Review. 1992. No 57. P. 781-799; Wilson W.J. The Truly Disadvantaged. Chicago: University of Chicago Press. 1987. 287 p.
[7] Goode W. J. Women in Divorce. New York: Free Press, 1956. 380 p.
[8] Levinger G. Sources of marital dissatisfaction among applicants for divorce. Journal of Family Issues. 1966. No 36. Р. 803-807; Kitson G.C.; Sussman M.B. Marital complaints, demographic characteristics, and symptoms of mental distress in divorce. Journal of Marriage and the Family. 1982. Vol 44(1). Р. 87101.
[9] Парсонс Т. Система современных обществ / Пер, с англ. — М.: Аспект Пресс, 1998.
[10] Синельников А.Б. Социально одобряемые причины развода в прошлом и настоящем // Социологические исследования. — 1992. — № 2. — С. 27-38.
[11] Антонов Г.В., Лактюхина Е.Г. Кризис института брака в современной России: реальность или вымысел? //Вопросы статистики. 2015. №7. С. 24-34; Антонов Г.В. Основные тенденции брачности и разводимости в России за последние 50-60 лет // Национальные интересы: приоритеты и безопасность. 2015. № 4(289). С. 43-53; Лактюхина Е.Г., Антонов Г.В. Мы просто живем вместе: сожительство в современной России // Журнал социологии и социальной антропологии. 2015. Т. XVIII. №4(81). С. 82-95.
[12] Здесь и далее респонденты могли выбирать любое количество вариантов ответа, поэтому сумма превышает 100%.
[13] Волгоградская область в цифрах 2013: Краткий статистический сборник / Территориальный орган ФСГ по Волгоградской области. Волгоград: Волгоградстат, 2014. 376 с.: Россия в цифрах 2014: Крат. стат. сб. М: Росстат, 2014. 558 с.

Вернуться назад
Версия для печати Версия для печати
Вернуться в начало

Свидетельство о регистрации СМИ
Эл № ФС77-54569 от 21.03.2013 г.
demoscope@demoscope.ru  
© Демоскоп Weekly
ISSN 1726-2887