|
|
Понравилась статья? Поделитесь с друзьями:
|
|
|
|
|
|
|
|
|
 |
Рубрику ведет
Илья КАШНИЦКИЙ
|
Agency in Fertility Decisions in Western Europe During
the Demographic Transition: A Comparative Perspective
|
Reher, D. S., Sandstrom, G., Sanz-Gimeno, A., & Poppel,
F. W. A. van. (2017). Agency in Fertility Decisions in Western
Europe During the Demographic Transition: A Comparative Perspective.
Demography, 54(1), 3-22. https://doi.org/10.1007/s13524-016-0536-0
|
Демографический переход рисует смену режима воспроизводства
популяции очень крупными мазками. Однако за агрегированными характеристиками
демографических параметров населения скрываются персональные судьбы
с индивидуальными последовательностями демографических событий в
жизни. И что самое главное - до определённой степени индивидуальные
предпочтения каждого человек влияют на демографические события.
Принято считать, что до демографического перехода контроль рождаемости
осуществлялся лишь на общественном уровне через социальные нормы,
религиозные ограничения и институт брака. В первом приближении так
оно и есть. Но демографический переход не был одномоментным событием,
и пока он "разворачивался" происходило знаменательное
изменение в структуре общества - "центр принятия решения"
постепенно перемещался с общественного на индивидуальный уровень.
Ключевая роль снижения детской смертности в снижении
рождаемости - неотъемлемая составляющая теории демографического
перехода. Однако до сих пор механизм этой взаимосвязи оставался
не вполне объясненным, представляя собой, скорее, теоретический
конструкт, не подтверждённый надёжными эмпирическими наблюдениями.
Дэвид Рэер, Глен Сандстрём, Альберто Санз-Химено и Франс
ван Поппель решили проверить, как выживаемость детей отражалась
на рождаемости на уровне семей на протяжении демографического перехода.
Для этого они собрали и проанализирвоали данные индивидуальных репродуктивных
историй семей Швеции, Нидерландов и Испании за период 1871-1960
гг. Несмотря на значительные культурные и социально-экономические
различия, эти три страны испытали резкое снижение рождаемости и
детской смертности почти синхронно на рубеже XIX и XX веков (рис.
1).

Рисунок 1. Среднее число (1) рождённых детей; (2) детей,
доживших до возраста 5 лет; (3) детей, умерших до 5 лет у брачных
когорт 1870-1949 гг. Швеции, Испании и Нидерландов
Авторы смоделировали вероятность НЕрождения ребёнка
следующей очередности в семье в зависимости от количества уже рождённых
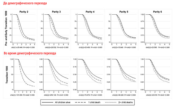
и выживших детей. Рисунок 2 демонстрирует основные результаты. Верхний
ряд графиков относится к допереходному периоду или самому началу
демографического перехода (до 1899 года); нижний ряд графиков отражает
ситуацию во время демографического перехода (с 1900 года). Графики
отражают убывающую со временем (горизонтальная ось, годы с момента
вступления в группу риска демографического события) вероятность
НЕрождения ребёнка следующей очерёдности (отдельные графики для
вероятностей рождения 2-6 детей в семье). При этом вероятности смоделированы
отдельно для (1) семей, в которых все дети дожили до 5 лет; (2)
семей, где умер 1 ребенок; (3) семей, где умерло 2 и больше детей.
Рисунок 2. Вероятность НЕрождения ребёнка следующей
очерёдности в зависимости от продолжительности экспозиции к риску
наступления демографического события и выживаемости предыдущих детей
в семье: (1) все дети дожили до 5 лет; (2) умер 1 ребёнок; (3) умерло
2 и больше детей.
Результаты отчётливо демонстрируют большую склонность
к скорейшему рождению следующего ребёнка в семьях, где случались
детские смерти. Кроме того, этот эффект очевидно усилился в XX веке
(нижний ряд графиков на рис. 2) по сравнению с допереходным периодом
(верхний ряд графиков на рис. 2). Таким образом, можно говорить
о том, что уже во время демографического перехода вероятность рождения
следующего ребёнка сильно зависела от решений, принимаемых на внутрисемейном
уровне с учётом предыдущей репродуктивной истории. Кроме того, дополнительные
результаты показывают, что вероятность рождения следующего ребёнка
значительно зависела от полового состава детей: семьи с разнополыми
детьми имели меньшие вероятности дальнейших деторождений.
Эти результаты внося существенный вклад в изучение
роли смертности в снижении рождаемости и доказывают, что люди активно
вмешивались в процесс воспроизводства до и, в особенности, уже во
время демографического перехода.
|