|
|
Понравилась статья? Поделитесь с друзьями:
|
|
|
|
|
|
|
|
|
 |
Рубрику ведет
Илья КАШНИЦКИЙ
|
Trends in life expectancy and lifespan variation by
educational attainment: United States, 1990-2010
В развитых станах образовательный градиент отчетливо
проявляется в показателях продолжительности жизни (или различиях
возрастных уровней смертности). Образованные люди живут дольше.
Это давно задокументированный, много раз проверенный и подтвержденный
демографический факт. Однако картина существенно упрощается, когда
анализ проводится только на уровне средних значений показателей
(изучение вариации показателей только набирает силу в демографии1).
Средние значения показателей могут скрывать значительные внутренние
различия. Исаак Сассон впервые исследовал образовательные
различия в ожидаемой продолжительности жизни с учетом вариации показателя
(неравенство в дожитии, lifespan variation).
Используя данные о смертности американцев за 1990-2010
годы, исследователь изучил динамику ожидаемой продолжительности
взрослой жизни ( )
и стандартное отклонение в распределении возраста смерти для населения
старше 25 лет ( ).
Смертность в возрасте до 25 лет отсекается, поскольку она оказывает
большое влияние на результаты, маскируя наиболее интересные различия
в смертности взрослого и пожилого населения.
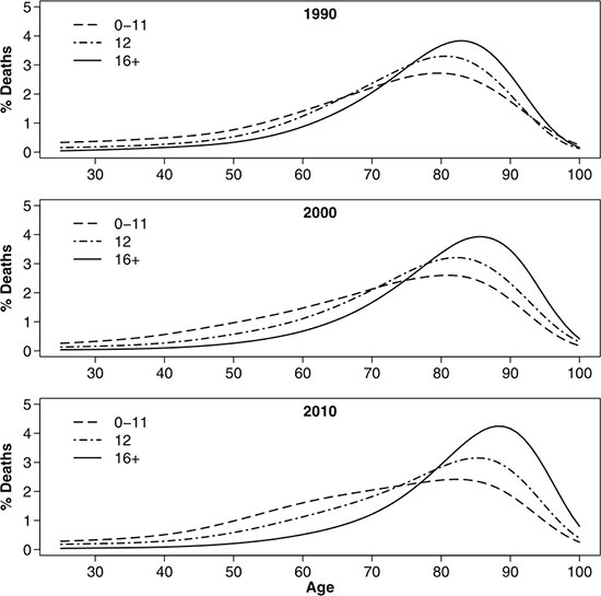
Даже визуальный анализ показывает, что есть существенные
и различия в возрасте смерти в зависимости от образования (рис.
1). Доля людей, умирающих в пожилом и преклонном возрасте, значительно
выше у людей с высшим образованием (16+ лет обучения) по сравнению
с обладателями полного (12 лет обучения) и неполного (0-11 лет обучения)
школьного образования. Но сам факт различий не так удивляет. Значительно
интереснее то, что со временем различия нарастают, а кроме того
динамика изменения функции плотности распределения различается по
группам. За 20 лет средний возраст смерти людей с высшим образованием
существенно увеличился, а пик в модальном значении при этом вырос,
указывая на то, что дисперсия распределения сократилась. В менее
образованных группах населения противоположная тенденция - распределение
становится более размазанным. То есть нарастают не только различия
в продолжительности жизни по уровню, но и увеличивается дисперсия
распределения возраста смерти для менее образованных групп населения.

Рисунок 1. Распределение возраста смерти мужского белого
не испаноязычного населения США в зависимости от уровня образования
(количество лет обучения)
Одновременное сравнение изменения ожидаемой продолжительности
жизни в 25 лет ( )
и вариации продолжительности жизни ( )
с 1990 по 2010 годы в зависимости от уровня образования, пола и
расы (рис. 2) выявляет любопытные закономерности. Неравенство в
дожитии у белого населения сокращается только среди высокообразованной
части населения. У наименее образованного белого населения США ожидаемая
продолжительность взрослой жизни сокращается. Чернокожее население
США сокращает исходное отставание от белого населения по обоим показателям,
при этом особенно ярко динамика выражена у мужчин.

Рисунок 2. Изменение в ожидаемой продолжительности жизни
в 25 лет ) и вариации
продолжительности жизни ( )
с 1990 по 2010 годы в зависимости от уровня образования, пола и
расы
В целом, исследование показывает, что образовательный
градиент в смертности американцев только усиливается в последние
десятилетия. Выводы, основывающиеся лишь на анализе ожидаемой продолжительности
жизни, как правило, утверждают, что люди со школьным образованием
лишь отстают от обладателей высшего образования. То есть подразумевается,
что изменения происходят, в целом, в одном направлении, но с некоторым
отставанием менее образованной части населения. Комплексный анализ
Сассона показывает, что ситуация гораздо сложнее и не столь оптимистична:
менее образованное население становится все более неоднородным по
показателям смертности.
1 - См. Андреев, Е. М., Жданов, Д.
А., Ясилионис, Д. (2015). Доверительное оценивание демографических
коэффициентов на примере коэффициентов смертности. Демографическое
Обозрение, (1), 24-55. https://demreview.hse.ru/2015-1/163565739.html
|