|
|
Понравилась статья? Поделитесь с друзьями:
|
|
|
|
|
|
|
|
|
Изменение сельского расселения в России
в конце XX - начале XXI века[1]
Алексеев А.И.[2],
Сафронов С.Г.[3]
(Опубликовано в журнале "Вестник московского университета"
Сер. 5 География 2015 №2 с. 66-76)
Введение. Интерес к изучению сельского расселения в
отечественной науке обусловлен особой ролью сельской местности в
сохранении и развитии всего исторического обитаемого пространства
России, а значит, и сельского расселения, выступающего в качестве
ее каркаса. Хотя по доле городского населения Россия вполне сравнима
с развитыми странами, глубина этой урбанизированности весьма относительна.
Российская сельская местность имеет свое продолжение в городах,
подавляющая часть жителей которых — горожане в первом или втором
поколении, для которых сельские ценности по-прежнему играют очень
большую роль.
Сельское расселение в отечественной науке изучали специалисты
разных направлений, одно из ключевых — в качестве неотъемлемой части
процесса колонизации, который многие специалисты рассматривали как
осевой для русской истории[4].
В советский период большинство сельских поселений считалось элементами
колхозно-совхозной организации сельскохозяйственного производства,
поэтому выделялись такие типы поселений, как центральные усадьбы
колхоза/совхоза, поселки отделений и бригад, прифермские и др.[5].
Начиная с 1960-х гг. в связи со сселением неперспективных деревень,
которое в общественном сознании было гипертрофированно воспринято
как очередное преступление советской власти, ключевыми темами стали
устойчивость сельских поселений и перспективы их типов, реальное
же значение этой кампании было далеко не столь значительным[6].
Хотя негативные тенденции в сельском расселении стали проявляться
еще в конце советского периода, но в большинстве научных исследований
речь шла о развитии сельского расселения.
В постсоветский период экономический спад усилил кризис
села в большинстве регионов страны, однако непосредственно сельскому
расселению на общероссийском уровне были посвящены лишь отдельные
исследования[7]. Большинство
же работ 1990—2000-х гг., посвященных сельской местности и охватывавших
всю страну, было связано с обсуждением конкретных практических задач,
например с анализом трансформации сети учреждений социальной сферы[8],
сдвигов в сельскохозяйственном производстве или более широкого круга
проблем сельской местности[9].
Исследовалась и взаимосвязь расселения с подвижностью населения[10].
Непосредственно сельскому расселению посвящен ряд интересных
работ, в которых современные тенденции трансформации сельского расселения
обобщались на региональном уровне[11],
или касались ситуации в специфических пригородных ареалах[12].
На первый взгляд основные тенденции трансформации собственно
сельского расселения в постсоветский период аналогичны процессам,
начавшимся еще в конце советской эпохи. Они были лишь усилены и
обострены происходившими в стране социально-экономическими преобразованиями.
Однако общестрановые оценки и показатели оказываются не вполне корректны
на региональном уровне. Сравнение ситуации в течение двух поздне-
и постсоветских десятилетий позволяет показать, что они в разное
время и с разной скоростью вступали в процесс трансформации сельской
местности, а ее результаты и модели такой трансформации в разных
частях страны заметно отличаются.
Трансформация сети сельского расселения лишь индикатор
процессов, за которыми стоит ряд факторов, последние можно условно
разделить на два типа. Первый тип — экзогенные, связанные с влиянием
на сельскую местность внешних причин, прежде всего урбанизации,
усиления притягивающей силы городской среды. Эти факторы опосредованно
воздействовали на сельскую местность, “вытягивая” из нее наиболее
активное население, и были основными в советский период.
В 1990-е гг. стали усиливаться факторы второго типа,
имеющие, скорее, эндогенную природу и связанные с коренной трансформацией
самой сельской местности. Прежде всего, это изменение экономической
основы села, а вместе с этим и функций многих сельских поселений,
утративших поселкообразующую базу в виде подразделений коллективных
сельскохозяйственных и лесозаготовительных предприятий. Взамен усиливаются
другие функции — селитебные, рекреационные, связанные с предоставлением
социальных услуг. Параллельно растет территориальная подвижность
сельских жителей, многие из которых получают основные доходы от
деятельности, не связанной с занятостью в аграрной сфере или лесном
хозяйстве.
Для анализа этих процессов, чтобы отделить быстрые,
но кратковременные изменения от долговременных тенденций, было выбрано
два 20-летних интервала. Кроме того, в связи с переходом государственной
статистики на учет населения в разрезе муниципальных образований,
а не населенных пунктов анализ тенденций в развитии сельского расселения
в перспективе может стать крайне затрудненным.
Результаты исследований и их обсуждение. Динамика численности
сельского населения, “административная рурализация". В целом по
России сельское население и в конце советского периода, и в постсоветский
период, судя по статистике, меняется незначительно. Однако реальные
процессы миграционного оттока сельского населения в города маскируются
административными решениями — преобразованием сотен поселков городского
типа (ПГТ) в категорию сельских поселений. Всего за период с 1991
по 2010 г. таким образом был изменен статус 725 ПГТ, в результате
чего численность сельского населения России искусственно увеличилась
на 2,4 млн человек.
Особенно большие изменения произошли в Свердловской
области (численность сельского населения выросла на 211 тыс. человек),
Башкирии (180 тыс.), Ростовской области (168 тыс.), Алтайском крае
(136 тыс.) и Оренбургской области (128 тыс.). В относительных величинах
самые большие искажения характеризуют Карелию: более 1/3 ее сельских
жителей в 2010 г. — это недавние жители ПГТ; вместе с ними доля
сельского населения в республике составляет 22%, а без них 14%.
Более 30% сельских жителей составляют недавние жители ПГТ в Свердловской
и Сахалинской областях, здесь за счет административных преобразований
долю сельских жителей искусственно увеличили в первом случае с 11
до 16%, а во втором с 14 до 20%.
Анализ плотности сельского населения, рассчитанной без
учета перевода ПГТ в села, показывает в целом ее постепенное снижение
с юго-запада на север и северо-восток (рис. 1). В пределах Европейской
России плотность населения закономерно снижается с юга (степная
зона с плодородными почвами, почти сплошь распаханными) на север,
где сплошная сельскохозяйственная освоенность сменяется сначала
выборочной (в зоне смешанных лесов), а затем очаговой (в тайге).

Рисунок 1. Динамика и плотность сельского населения
в 1970—2010 гг. (без учета поселков городского типа, утративших
статус городских поселений; данные по Чечено-Ингушетии приводятся
в границах 1989 г.)
Динамика численности сельского населения также носит
почти зональный характер. Большая часть Европейской России (кроме
Крайнего Севера и Северного Кавказа) характеризуется высоким темпом
убыли населения и в советский, и в постсоветский периоды. Эти регионы
имеют наиболее постаревшее (в результате миграционного оттока) население,
в результате в них смертность преобладает над рождаемостью. Регионы
Северного Кавказа, наоборот, демонстрируют устойчивый рост в оба
периода. В равнинные регионы, где преобладает русское население,
в последние два века был направлен миграционный приток почти из
всех регионов России; в республиках главную роль играл естественный
прирост, так как в них демографический переход осуществился позже
(в Ингушетии, Чечне и Дагестане он еще полностью не завершен). Крайний
Север (от Мурманской области до Чукотки) и Приморье показывают смену
тенденции: в советское время государственная политика способствовала
их заселению, а ее отсутствие в постсоветский период — быстрому
оттоку населения.
Отклонения от “зонального” характера связаны или с быстрым
ростом пригородного сельского расселения столичных агломераций и
нефтедобывающих районов Западной Сибири, или с приемом в 1990-х
гг. приграничными регионами вынужденных мигрантов из стран нового
зарубежья.
Густота сельских населенных пунктов (рис. 2) максимальна
в Центральной России (Центральный и Центрально-Черноземный экономические
районы и их соседи). Этот ареал почти совпадает с показанным на
рис. 3 ареалом распространения мелких поселений — здесь самая низкая
доля проживающих в крупных населенных пунктах (>1 тыс. жителей).
Для Северного Кавказа характерна максимальная доля проживающих в
крупных поселениях, но даже при высокой плотности населения их густота
меньше, чем в Центре. А Крайний Север и азиатская часть России имеют
крайне редкую сеть поселений, но большинство жителей живут в крупных
селах.

Рисунок 2. Густота сельских населенных пунктов
в 2010 г. (Данные по Чечено-Ингушетии приводятся в границах
1989 г.)

Рисунок 3. Доля сельских жителей, проживающих
в крупных населенных пунктах (>1 тыс. человек) в 2010 г. (без
учета поселков городского типа, утративших статус городских поселений;
данные по Чечено-Ингушетии приводятся в границах 1989 г.)
В результате исследований изменения в соотношении поселений
разной людности установлено, что происходит процесс непрерывной
концентрации сельского населения во все более крупных поселениях:
доля населения, живущего в мелких населенных пунктах, постоянно
снижается (рис. 4). Но соотношение числа сельских поселений имеет
более сложную траекторию: число средних и мелких поселений уменьшается,
так как в результате уменьшения числа жителей большая часть этих
поселений переходит в разряд мельчайших, число которых растет.

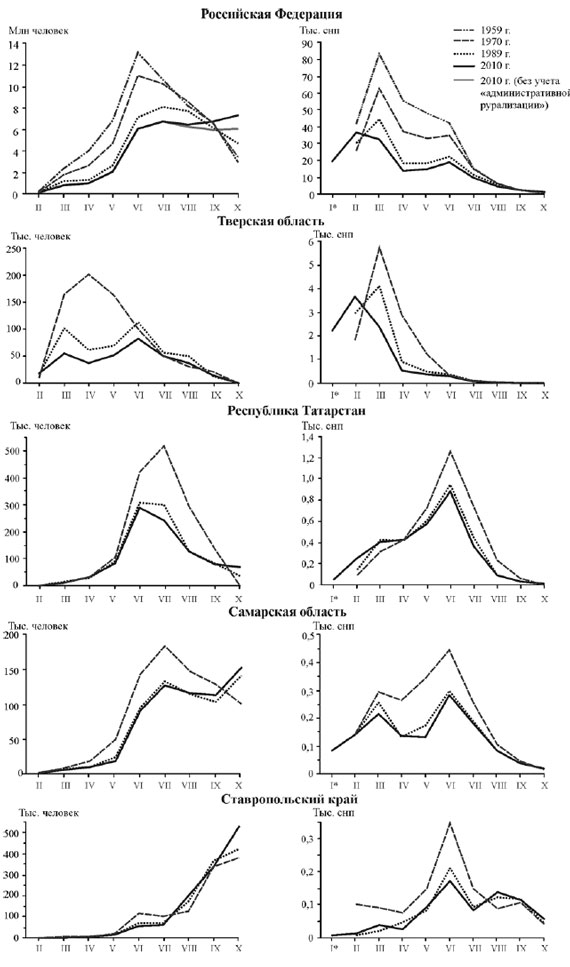
Рисунок 4. Распределение сельского населения
по населенным пунктам разной людности в 1970-2010 гг., % Размеры
круговых диаграмм пропорциональны значениям показателя
Тенденции в сдвигах распределения сельских жителей по
поселениям разной людности в регионах России зависят от исходной
структуры (рис. 5). На Северном Кавказе, где традиционно преобладали
крупные села и население растет или по крайней мере не уменьшается,
распределение населения по поселениям разных групп людности почти
не меняется (Ставропольский край), а число населенных пунктов сокращается
за счет средних (200—500 жителей), но их доля невелика и почти не
отражается на распределении населения.

Рисунок 5. Распределение сельских поселений
по численности населения и сельского населения по населенным пунктам
разной людности:
I — населенные пункты без населения; сельские
населенные пункты (снп) с населением, человек: II — <10, III
— 11— 50, IV — 51—100, V — 101—200, VI — 201—500, VII — 501—1000,
VIII — 1001—2000, IX — 2001—5000, X — >5000
В Центральной России с традиционной мелко- селенностью
и быстрым уменьшением численности населения статистически наиболее
устойчивым кажется население деревень с числом жителей >500 человек,
но это не означает, что из этих поселений нет оттока. Миграционный
отток в города здесь присутствует во всех группах людности, но в
более крупных поселениях он перекрывается переселенцами из мелких
поселков, численность населения в которых (и число таких поселков)
быстро сокращается. А число мельчайших поселений (<10 жителей)
даже растет, так как в эту категорию переходят более крупные поселения.
В регионах лесостепной и степной зон (Татарстан, Самарская
область) ситуация похожа на таковую в Тверской области (размывание
“середины”), но здесь население теряют уже и более крупные села
(500—5000 жителей), и число этих поселений сокращается, а растут
только самые крупные поселения с численностью населения >5000
человек.
Общее для всех графиков изменения структуры людности
— замедление темпа изменений, изменения в советский период (1970—1989)
гораздо существеннее, чем в постсоветский (1989—2010). Можно высказать
гипотезу, что структура сельского расселения в большинстве регионов,
видимо, подходит к состоянию равновесия. Но проверить это можно
будет только при следующей переписи населения (если сохранится учет
отдельных населенных пунктов, в чем уверенности пока нет).
Наряду с трансформацией сети сельских поселений и перераспределением
сельских жителей между поселениями разной людности можно выделить
еще две существенные тенденции, непосредственно влияющие на темп
и характер трансформации сельского расселения России.
Первая тенденция заключается в значительном ослаблении
или утрате традиционной связи жителей сельской местности с сельским
хозяйством. Еще в конце советского периода, когда официальной безработицы
не было, доля трудоспособных сельчан, занятых в аграрной сфере,
составляла около 1/3, к 2013 г. она сократилась почти в 2 раза,
а если учитывать лишь крупные и средние предприятия, то в 3 раза.
Технологические особенности и продуктивность сельскохозяйственного
производства на этапе формирования (XVI — начало XX в.) во многом
определили густоту и людность сети сельских поселений. Дополнительными
факторами выступали природные условия, историко-культурные различия
регионов, в частности особенности социальной структуры населения,
роль крестьянской общины. Распространенность и формы крепостной
зависимости, а позднее и колхозно-совхозная система во многом законсервировали
сложившуюся систему сельского расселения. Поэтому уход от традиционной
аграрной занятости ускорил в постсоветский период преобразования
в системе сельского расселения.
Открытая статистика позволяет лишь по отдельным регионам
примерно оценить структуру занятости сельского населения (рис. 6).
Зональные агроклиматические факторы обусловливают увеличение доли
сельского населения, непосредственно связанного с сельским и лесным
хозяйством, от 4,5% на Севере европейской части России до 10—16%
в регионах степной и лесостепной зон. При этом доля занятых на крупных
и средних сельскохозяйственных предприятиях, по данным муниципальной
статистики, невелика и тесно связана с результатами экономических
реформ — числом сохранившихся крупных коллективных хозяйств и приходом
в регион агрохолдингов, новых вертикально интегрированных компаний.
Важен и размер регионального центра, который выступает как важный
потребитель сельскохозяйственной продукции, например Новосибирск.
Среди рассмотренных регионов заметно выделяется Белгородская область,
где агроклиматический фактор дополняется институциональным — благоприятным
предпринимательским климатом, созданным многолетними усилиями местной
власти. Но и здесь доля занятых на крупных и средних сельскохозяйственных
предприятиях едва достигает 10% от всего трудоспособного населения.

Рисунок 6. Структура сельского населения муниципальных
районов некоторых регионов России, 2013 г.
База данных муниципальных образований Госкомстата РФ [Электронный
ресурс]. URL: http://www.gks.ru/dbscripts/munst/munst.htm.
Оценка доли самозанятых в личном подсобном хозяйстве и населения,
указавшего в качестве основного источника дохода стипендии, пенсии,
пособия, другие виды государственного обеспечения, дана по материалам
Всероссийской переписи населения 2010 г.
Доля самозанятых, большинство из которых составляют
официально зарегистрированные фермеры и граждане, основная форма
дохода которых — личное подсобное хозяйство (ЛПХ)[13],
максимальна в относительно слабых аграрных регионах, например в
Республике Чувашия, Тамбовской области или в регионах с относительно
развитым фермерством, таких, как Саратовская область. В первом случае
ЛПХ — форма вынужденной адаптации сельского населения к существующим
социально-экономическим реалиям.
Роль остальных отраслей материального производства на
рынке труда в сельской местности невелика. На общем фоне выделяются
регионы с многочисленными предприятиями, перерабатывающими местную
сельскохозяйственную продукцию, или с развитыми пригородными зонами,
в которых размещаются разнообразные производственные и инфраструктурные
объекты. Сектор услуг, как правило, сопоставим со всеми остальными
отраслями экономики, а в северных регионах даже превышает их по
числу рабочих мест.
Большая же часть трудоспособных сельских жителей (от
30 до 50%), даже с учетом населения, указавшего, по материалам переписи
населения, в качестве основного дохода разные виды социальных выплат,
выпадает из поля зрения официальной статистики занятости. Это или
трудовые мигранты всех категорий и члены их семей — от маятниковых,
выезжающих в ближайшие города, до отходников, на разные сроки отправляющихся
на заработки прежде всего в крупнейшие городские агломерации; или
маргинализующееся население, живущее случайными заработками; или
люди, находящиеся на иждивении.
В результате в постсоветский период в большинстве регионов
произошла смена функций сельских поселений с аграрной производственной
на третичную или селитебную. Эти процессы дополнительно усиливаются
начавшимся еще в советский период старением сельского населения
в результате как отрицательного естественного прироста, так и миграции,
местами оно уже переходит в депопуляцию[14].
Все эти процессы “размывают” сельский социум и опосредованно приводят
к деградации сельского расселения и сжатию обитаемого пространства[15].
За прошедшие годы в новых условиях выросло новое поколение сельчан,
для которых привлекательность традиционных сельскохозяйственных
занятий резко снизилась, они, по-видимому, иначе видят свою судьбу.
Вторая тенденция, заметно проявившаяся в постсоветский
период, — рост доли азональных типов расселения, никак не связанных
с исторически сложившимися типами расселения. Наиболее крупный и
широко распространенный из них — пригородное расселение, с каждым
годом включающее в сферу влияния все большую долю сельских жителей.
Этот процесс идет за счет двух слагаемых — собственного развития
крупного городского центра, концентрирующего все большую долю рабочих
мест и привлекательного для населения качеством и разнообразием
предоставляемых услуг, или же в результате относительной концентрации
уменьшающегося сельского населения на фоне депопуляции и деградации
сети сельских поселений.
Чаще всего оба этих компонента суммируются, что характерно
для большинства регионов Европейской России[16]
(за исключением Северного Кавказа). Часть региональных центров и
крупных городов подпитывалась за счет включения в городскую черту
ближайшей сельской местности. Последние волны такой “административной
урбанизации” были связаны со стремлением региональных столиц сохранить
численность населения по итогам переписей населения в 2002 и 2010
гг., а также с организацией городских округов в ходе муниципальной
реформы 2000-х гг.[17]. В
депопулирующих регионах Восточной Сибири, Дальнего Востока и Севера
европейской части России второй компонент является основным, и стремительно
уменьшающееся сельское население пока удерживается в окрестностях
региональных центров.
Определение зон влияния крупных городов, вокруг которых
в первую очередь и складываются ареалы пригородного расселения,
представляет сложную задачу, требующую учета и транспортной проницаемости
территории, и такого состояния экономики основных городских центров,
которое обусловливало бы их привлекательность для трудовых мигрантов.
В первом приближении для оценки масштаба этого явления можно проанализировать
динамику сельского населения пригородных муниципальных образований,
непосредственно прилегающих к региональным центрам и крупным (>200
тыс. человек) городам.
Доля такого сельского населения в постсоветский период
росла почти по всей стране. Исключение составили лишь некоторые
регионы Северного Кавказа с благоприятными природно-климатическими
условиями, крупными ареалами курортно-рекреационного расселения
(Краснодарский, Ставропольский края, Карачаево-Черкесия) или регионы,
сохраняющие расширенное воспроизводство населения (Дагестан, Чечня,
Ингушетия). В настоящее время в большинстве регионов в окрестностях
регионального центра проживает от 20 до 30% сельских жителей (рис.
7). Меньшие значения (<20%) характерны для обширных субъектов
РФ с плохой транспортной связностью или областей, в которых региональные
центры в 1990—2000-е гг. присоединили существенную часть окружающей
сельской местности.

Рисунок 7. Сельское население пригородных муниципальных
районов в 2010 г. Под пригородным понимается сельское население
муниципальных районов, непосредственно граничащих с административными
центрами регионов и городами с численностью населения более 200
тыс. человек
Расширение сферы влияния пригородного сельского расселения
происходит параллельно с размыванием исторически сложившихся зональных
типов, связанных с ландшафтными и агроклиматическими особенностями
территории. Это размывание идет как за счет вовлечения сельских
жителей в миграцию разных типов и продолжительности, так и за счет
усиления влияния на сельскую местность временного, сезонного населения[18].
Выводы:
- трансформацию сельского расселения в России можно рассматриваться
как с узкорасселенческой точки зрения, так и с более широкой,
затрагивающей процесс изменения функций сельских поселений, характера
функционирования всей сети сельских поселений. Многие из этих
процессов началась еще в конце советского периода под влиянием
преимущественно внешних, экзогенных по отношению к сельскому расселению
факторов, в первую очередь в результате развития урбанизации;
- в постсоветский период сокращение численности сельского населения
происходит на фоне концентрации сельского населения во все более
крупных поселениях. При этом, как правило, число средних поселений
уменьшается за счет их измельчания и перехода в разряд мельчайших.
Однако конкретные варианты трансформации структуры сети поселений
могут сильно разниться по регионам — от постепенного “проседания”
всей сети сельских поселений с медленным уменьшением средней людности
в относительно благополучных регионах лесостепной зоны до обвала
сети в областях Нечерноземья. Постоянное укрупнение людности поселений
при сохранении общего рисунка сети характерно лишь для небольшого
числа наиболее благополучных регионов Юга России;
- темп изменения структуры людности сельских поселений был максимален
в конце советского периода и существенно замедлился в 1990— 2000
гг. Поэтому можно высказать осторожную гипотезу о том, что структура
сельского расселения в большинстве регионов, видимо, подходит
к состоянию равновесия. Анализ этого в будущем может серьезно
осложнить новая система учета населения в разрезе муниципальных
образований, не предусматривающая сбор данных по сельским населенным
пунктам;
- в постсоветский период все большее значение стали играть факторы,
имеющие эндогенную природу, т.е. трансформирующие сельскую местность
изнутри, прежде всего это изменение экономической основы села,
а вместе с ним и функций многих сельских поселений, утративших
поселко- образующую базу в виде подразделений коллективных сельхозпредприятий.
В результате в структуре занятости сельского населения в большинстве
регионов наряду с личным подсобным хозяйством ведущую роль играет
социальная сфера. Значительная часть трудоспособного сельского
населения находит источники существования за пределами места своего
проживания, включаясь в трудовую миграцию;
- наиболее интенсивно развиваются азональные типы сельского расселения,
ведущим из которых является пригородное, доля которого в большинстве
регионов превысила 1/5. Его развитие происходит по иным принципам,
нежели в традиционных зональных типах сельского расселения. В
ареалах специфической отечественной сезонной субурбанизации все
большую роль будет играть временное население, учет которого пока
крайне несовершенен.
[1] Работа выполнена при финансовой
поддержке РФФИ (проект № 13-06-00895).
[2] Московский государственный
университет имени М.В. Ломоносова, географический факультет, кафедра
экономической и социальной географии России, докт. геогр. н., профессор
[3] Московский государственный
университет имени М.В. Ломоносова, географический факультет, кафедра
экономической и социальной географии России, канд. геогр. н., доцент
[4] Любавский М.К. Историческая
география России в связи с колонизацией. М., 1909
[5] Ковалев С.А. Развитие сельского
расселения в Советском Союзе // Вопр. географии. Сб. 135. География
населения и социальная география. М.: Кодекс, 2013. С. 126-147.
[6] Алексеев А.И., Зубаревич
Н.В., Регент Т.М. Опыт изучения эффективности сселения жителей сельских
населенных пунктов в Нечерноземной зоне РСФСР // Вестн. Моск. ун-та.
Сер. 5. География. 1980. № 1. С. 25-35
[7] Казьмин М.А., Чернышева
Е.А. Современная динамика сельского расселения Европейской России
// Региональные исследования. 2006. № 4. С. 65-77
[8] Зубаревич Н.В. Трансформация
сельского расселения и сельской сети услуг в регионах // Изв. РАН.
Сер. геогр. 2013. № 3. С. 26-38
[9] Нефедова Т.Г. Основные
тенденции изменения социально-экономического сельского пространства
сельской России // Изв. РАН. Сер. геогр. 2012. № 3. С. 5-21.
[10] Алексеев А.И., Гладкова
О.Н., Краснослободцев В.П. Эволюция систем сельского расселения
в постсоветский период // Вестн. Моск. ун-та. Сер. 5. География.
2007. № 4. C. 23-32
[11] Например Калинина И.В.
Изменение функций сельских населенных пунктов на рубеже XX-XXI веков
(на примере Еврейской автономной области) // Региональные исследования.
2013. № 3. С. 36-44; Левченков А.В. Взаимосвязи системы сельского
расселения и ландшафтных факторов Калининградской области // Вестн.
КГУ. Сер. Экология региона Балтийского моря. 2004. Вып. 5. С. 33-39;
Лухманов Д.Н. Миграционная ситуация в сельской местности (на примере
Оренбургской области) // Миграционная ситуация в регионах России.
Вып. 1. Приволжский федеральный округ / Под ред. С.С. Артоболевского,
Ж.А. Зайончковской. М., 2004. С. 73-108; Турун П.П. Основные черты
трансформации сельского расселения Ставропольского края в 1959-2010
гг. // Вопр. географии. Сб. 135. География населения и социальная
география. М.: Кодекс, 2013. С. 322-335; Эльдаров Э.М. Дагестан:
факторы развития сельской системы расселения в постсоветский период
// Кавказ и глобализация. 2008. Т. 2, № 1. С. 105-115
[12] Зайончковская Ж.А.,
Иоффе Г.В. Динамика расселения в Московском регионе как отражение
постсоветских трансформаций // Вопр. географии. Сб. 135. География
населения и социальная география. М.: Кодекс, 2013. С. 188-223
[13] Оценка на основе результатов
Всероссийской переписи населения 2010 г. Т. 5. Источники средств
к существованию. URL: http://www.gks.ru/free_doc/new_site/perepis2010/croc/perepis_itogi1612.htm
(дата обращения: 15.12.2014).
[14] Аверкиева К.В. Сельская
местность Нечерноземья: депопуляция и возможные пути адаптации к
новым условиям // Вопр. географии. Сб. 135. География населения
и социальная география. М.: Кодекс, 2013. С. 108—125; Алексеев А.И.
Многоликая деревня: население и территория. М.: Мысль, 1990.
[15] Нефедова Т.Г. Депопуляция
сельской местности и агропроизводство // Россия и ее регионы в XX
в. М.: ОГИ, 2005. C. 341-356
[16] Отдельный случай — Московская
область, сельское население которой и до изменения границ Москвы
в 2013 г. почти целиком, за исключением жителей 5 периферийных районов,
могло быть отнесено к числу пригородного.
[17] Глезер О.Б. Система
местного самоуправления как составная часть институциональной среды
расселения в современной России // Вопр. географии. Сб. 135. География
населения и социальная география. М.: Кодекс, 2013. С. 224-244
[18] Браде И., Махрова А.Г.,
Нефедова Т.Г., Трейвиш А.И. Особенности субурбанизации в Московской
агломерации в постсоветский период // Изв. РАН. Сер. геогр. 2013.
№2. С. 19-29
|