|
Для цитирования: Щербакова
Е.М. Россия: предварительные демографические итоги 2014 года (часть
II) /Демоскоп Weekly. 2015. № 633-634. URL: http://demoscope.ru/weekly/
2015/0633/barometer633.pdf
|
|
Понравилась статья? Поделитесь с друзьями:
|
|
|
|
|
|
|
|
|
 |
Рубрику ведет кандидат экономических наук Екатерина Щербакова
|
В 2014 году продолжала снижаться смертность от болезней
системы кровообращения, а смертность от болезней органов дыхания
и пищеварения выросла
По данным оперативного учета за январь-декабрь 2014
года (без учета диагнозов окончательных медицинских свидетельств),
в России продолжала снижаться смертность от болезней системы кровообращения.
При увеличении общего числа умерших на 0,2% число умерших от болезней
системы кровообращения сократилось на 6,4% по сравнению с аналогичными
данными за январь-декабрь 2013 года.
Кроме того, незначительно снизилось число умерших от
внешних причин (-0,3%). Число умерших от новообразований и некоторых
инфекционных и паразитарных болезней практически не изменилось,
снизившись на сотые доли процента. Вместе с тем увеличилось число
умерших от болезней органов пищеварения (+8,8%) и дыхания (+6,5%).
Существенно увеличилось число умерших от прочих болезней (+24,5%).
Структура смертности по причинам смерти меняется со
временем. Это обусловлено как прогрессом (или регрессом) в области
медицины, здравоохранения и качества жизни в целом, так и изменениями
в половозрастном составе населения. Определенную роль играют и особенности
классификации причин смерти[11].
В России, начиная с середины 1970-х годов, более половины
смертей обусловлены болезнями системы кровообращения (рис. 8). В
отдельные годы (2007-2008) доля умерших от этого класса причин смерти
достигала 57%, но в последние четыре года она снижалась. В январе-декабре
2014 года она составила 49,9%. Среди болезней системы кровообращения
выделяется, прежде всего, ишемическая болезнь, которая является
причиной смерти более половины умерших от болезней системы кровообращения
(26,3% от общего числа умерших в январе-декабре 2014 года). Причиной
смерти почти каждого третьего умершего от болезней системы кровообращения
являются цереброваскулярные заболевания (15,6% от общего числа умерших).
Второе место среди причин смерти по распространенности
занимают новообразования (в основном, злокачественные), хотя иногда
они отодвигались на третье место внешними причинами смерти. В 2014
году новообразования стали причиной смерти 15,3% умерших в России
(в том числе злокачественные новообразования – для 15,2%). В последние
годы преобладала тенденция роста доли умерших от новообразований,
что вполне согласуется с тенденцией старения населения, однако пока
она не достигла значений показателя, наблюдавшихся в начале 1990-х
и второй половине 1960-х годов.
Третье место среди причин смерти населения России прочно
удерживают внешние причины. В отдельные годы – 1980, 1993-1996 и
1999-2005 годы – они выходили на второе место среди основных классов
причин смерти, обусловливая до 15% и более от общего числа смертей.
В 2000-е годы доля умерших от внешних причин стала устойчиво сокращаться.
В 2008 году она опустилась ниже уровня 1990 года (11,8% против 12%),
в 2013 году - до 9,9%, а в январе-декабре 2014 года – до 9,1%, как
и по аналогичным данным за январь-декабрь 2013 года. Такая тенденция,
безусловно, благоприятна, но, тем не менее, потери населения России
от внешних причин, нередко вполне устранимых, до сих пор остаются
слишком высокими.
В целом, эти три класса причин смерти обусловливают
около 80% смертей в России (по данным помесячной отчетности за январь-декабрь
2014 года -74%). На другие основные классы причин смерти приходится
не более чем по 5% умерших.

Рисунок 8. Распределение умерших в России по
основным классам причин смерти, отдельные годы периода 1965- 2014
годов*, %
* 2013м и 2014м – по данным оперативного помесячного
учета, включая сведения по Крымскому федеральному округу; остальные
годы – по данным годовой разработки
До 1990-х годов более весомый, хотя и постоянно сокращавшийся,
вклад в смертность вносили болезни органов дыхания. В 1990-2000-е
годы сокращение продолжалось. С 2006 года доля умерших от болезней
органов дыхания стала ниже, чем от болезней органов пищеварения
и опустилась, хотя и с некоторыми колебаниями, ниже уровня 4%. По
данным за январь-декабрь 2014 года, доля умерших от болезней органов
дыхания оказалась больше, чем по аналогичным данным за январь-декабрь
2013 года (4,0% против 3,8%).
Ведущую роль в смертности населения от болезней органов
дыхания в последние годы играют пневмонии, которые стали причиной
смерти примерно половины умерших от болезней органов дыхания в 2008-2014
годах против 35% в 2000 году и 27% в 1995 году. Вклад хронических
заболеваний нижних дыхательных путей несколько снизился (до 41%
умерших от болезней органов дыхания в 2011-2013 годах против 56%
в 2000 году). Доля умерших от гриппа и острых респираторных заболеваний
составляет менее 1% умерших от болезней органов дыхания. В 2014
году увеличилось число умерших от первых двух групп заболеваний
органов дыхания, число умерших от гриппа и ОРЗ, напротив, снизилось
(на 21,6%).
Доля умерших от болезней органов пищеварения продолжает
постепенно повышаться. Если до 1990-х годов она не достигала 3%
от общего числа умерших, то в 2000-е годы стала превышать 4%, поднявшись
до 4,7% в 2012-2013 годах. В январе-декабре 2014 года доля умерших
от болезней пищеварения поднялась до 5,0%, немного увеличившись
по сравнению с аналогичными данными за январь-декабрь 2013 года
(4,6%).
В смертность от этого класса причин смерти наиболее
весомый вклад вносят болезни печени, на которые приходится около
половины умерших от болезней органов пищеварения, причем эта доля
до недавних пор увеличивалась (до 55% в 2007-2010 годах против 45%
в 2000 году, к 2013 году она снизилась до 52%). Немаловажную роль
в этом играет алкогольная болезнь печени: в 2005-2013 годах она
явилась причиной смерти примерно каждого седьмого умершего от болезней
органов пищеварения (15% в 2010 году, 13% в 2012-2013 годах) против
4% в 1995 году и 8% в 2000 году. Относительно стабильна доля умерших
от болезней поджелудочной железы (около 12% умерших от болезней
органов пищеварения). Несколько снизилась доля умерших от язвенной
болезни (около 10% в 2010-2013 годы против 13% в 1995 и 2000 годах),
а также от желчекаменной болезни и холецистита (около 3% в 2010-2013
годы против 5,9% в 1995 году).
Среди класса инфекционных и паразитарных болезней, обусловливающих
около 1,7% смертей в России, особая роль принадлежит туберкулезу,
на который до 2014 года приходилось более половины умерших от этого
класса причин. В первой половине 2000-х годов доля умерших от туберкулеза
среди умерших от этого класса причин превышала 80%, но затем стала
снижаться – до 51% в 2013 году и 46% в январе-декабре 2014 года
(по аналогичным данным за январь-декабрь 2013 года – 52%). Одновременно
с этим быстро увеличивается доля умерших от болезни, вызванной вирусом
иммунодефицита человека. Она возросла от 0 в 1995 году и 0,6% в
2000 году до 33% умерших от некоторых инфекционных и паразитарных
болезней в 2013 году (10,6 тысячи человек). Кроме того, возросла
доля умерших от вирусных гепатитов, которая в середине 1990-х не
достигала 2% от числа умерших от некоторых инфекционных и паразитарных
заболеваний (1,8% в 1995 году), а в последние годы удвоилась (4,1%
в 2013 году). Доля умерших от кишечных инфекций, напротив, заметно
сократилась – от 6,9% умерших от некоторых инфекционных и паразитарных
болезней в 1995 году до 1,0% в 2009 году. Однако в 2010-2011 отмечался
небольшой рост (до 1,2%). В 2012-2013 годах и по данным за январь-декабрь
2014 года она вновь составила 1,1%.
Следует также отметить рост доли умерших от симптомов,
признаков и отклонений от нормы, выявленных при клинических и лабораторных
исследованиях, не классифицированных в других рубриках. В середине
1990-х годов она лишь немного превышала 4% (4,3% в 1995 году), а
в последние годы устойчиво превышает 5% (почти 125 тысяч умерших,
или 6,7% от общего числа умерших в 2013 году). Более половины смертей
от этого класса причин обусловлены старостью (4,4% от общего числа
умерших в 2013 году).
Для характеристики тенденций смертности используются
различные коэффициенты и вероятности, соотносящие численности умерших
и живущих. В первую очередь, оперативно поступает информация об
общих коэффициентах смертности в целом и по отдельным основным классам
причин смерти. По данным оперативной отчетности, в 2014 году продолжала
снижаться смертность от болезней системы кровообращения, а также,
хотя и в незначительной степени, от внешних причин и некоторых инфекционных
и паразитарных болезней (рис. 9). Немного снизилась смертность от
новообразований, но в целом она остается скорее стабильной, начиная
с 1990-х годов.
Смертность от болезней системы кровообращения снизилась
на 6,6% (общий коэффициент смертности от всех причин снизился всего
на 0,1%), составив в январе-декабре 2014 года 654 умерших на 100
тысяч человек постоянного населения против 700 в январе-декабре
2013 года (698 по данным годовой разработки). Самое высокое значение
смертности от этого класса причин смерти за период наблюдения отмечалось
в 2003 году – 928 на 100 тысяч человек.
Смертность от внешних причин сократилась на 0,6%, составив
119 умерших на 100 тысяч человек против 120 в январе-декабре 2013
года (129 по уточненным данным годовой разработки). Устойчивое снижение
смертности от этого класса причин смерти наблюдается с 2003 года
(235 на 100 тысяч человек в 2002 году), но особенно заметным оно
стало в последние годы.
Смертность от некоторых инфекционных и паразитарных
болезней снизилась на 0,5%, составив 21,3 на 100 тысяч человек.
Снижение в 2014 году произошло в основном за счет сокращения смертности
от туберкулеза (на 11,7%). Относительно невысокая смертность от
кишечных инфекций осталась неизменной (0,2 на 100 тысяч человек),
смертность от других инфекционных и паразитарных заболеваний, включая
вызванные вирусом иммунодефицита человека (ВИЧ), возросла на 10,9%.
Смертность от новообразований по данным за январь-декабрь
2014 года составила 201,1 на 100 тысяч человек, снизившись на 0,2%
по сравнению с аналогичными данными за 2013 год.
Смертность от болезней органов дыхания возросла на 6,2%,
составив в январе-декабре 2014 года 53,0 против 49,9 на 100 тысяч
человек в январе-декабре 2013 года. При этом смертность от гриппа
и ОРЗ снизилась (на 25%), а смертность от пневмоний и других болезней
органов дыхания возросла (на 2,7% и 10,5%, соответственно).
Еще значительнее увеличилась смертность от болезней
органов пищеварения (на 8,4%, 66,1 против 61,0 на 100 тысяч человек).

Рисунок 9. Смертность в России по основным классам
причин смерти, 1980-2014 годы*, умерших от данных причин на 100
тысяч человек постоянного населения
* 2013м и 2014м – по данным оперативного помесячного
учета, включая сведения по Крымскому федеральному округу; остальные
– по данным годовой разработки
Для смертности от болезней органов дыхания и болезней
системы кровообращения, обостряющихся на фоне перенесенных острых
респираторных заболеваний, характерна выраженная сезонная зависимость
– больше всего умерших от этих причин регистрируется, как правило,
в зимне-весенние месяцы, меньше всего – в июле-сентябре (рис. 10).
Исключением стал 2010 год из-за чрезвычайно неблагоприятных природно-климатических
условий в летние месяцы. Больше всего умерших от болезней органов
дыхания было зарегистрировано в январе, марте и августе (по 6,6
тысячи человек), а от болезней системы кровообращения - в августе
(108,2 тысячи человек). В 2014 году наибольшее значение умерших
от болезней органов дыхания зарегистрировано в декабре (7,1 тысячи
человек), а от болезней системы кровообращения - в январе (85,8)
и несколько меньше в декабре (83,6 тысячи человек). Наименьшее число
умерших от болезней органов дыхания зарегистрировано в августе (5,7),
тогда же и от болезней системы кровообращения (69,8 тысячи человек).
Сезонные колебания отмечаются и в смертности по другим
причинам.

Рисунок 10. Число умерших от основных причин
смерти по месяцам 2001-2014 годов, тысяч человек (без учета сведений
по Крымскому федеральному округу)
Сезонные отклонения помесячных чисел умерших от среднегодовых
значений умерших по основным причинам смерти свидетельствуют о пике
смертности от болезней органов дыхания в январе-марте и ноябре 2013
года и значительном спаде в июне-сентябре (рис. 11). Январский пик
отмечался в смертности от болезней системы кровообращения. Смертность
от внешних причин была выше, как и в другие годы, в январе и июле,
а также в октябре, от болезней органов пищеварения – в октябре.
В 2014 году сезонный пик смертности от болезней органов дыхания
и болезней системы кровообращения в I квартале года был менее выраженным,
а в декабре, напротив, более выраженным, чем в 2013 году. Наибольшее
отклонение о среднегодовых чисел умерших от внешних причин, как
и в 2013 году, отмечалось в июле, январский и особенно октябрьский
пик были менее выраженными.

Рисунок 11. Сезонные отклонения помесячных чисел
умерших от среднегодовых значений умерших по основным причинам смерти,
2013 и 2014 годы, % (без учета сведений по Крымскому федеральному
округу)
Смертность от отдельных причин смерти заметно отличается
по регионам-субъектам Российской Федерации, что обусловлено как
различиями в интенсивности смертности определенного вида, так и
особенностями возрастной структуры населения этих регионов. Наиболее
высокие значения смертности от болезней системы кровообращения и
новообразований характерны для Северо-Западного и Центрального федеральных
округов, в населении которых велика доля населения старших возрастов,
а также для Крымского федерального округа. Смертность от внешних
причин и болезней органов пищеварения выше всего в Дальневосточном
федеральном округе с относительно молодым населением, от болезней
органов дыхания – в Сибирском федеральном округе, от некоторых инфекционных
и паразитарных заболеваний – в Уральском, Сибирском и Крымском федеральных
округах.
Среди регионов-субъектов Российской Федерации значение
коэффициента смертности от болезней системы кровообращения, по данным
оперативного учета за январь-декабрь 2014 года, варьировалось от
169 умерших на 100 тысяч человек в Республике Ингушетии до 1116
в Псковской области (рис. 12). В центральной половине регионов (без
25% регионов с самыми высокими и самыми низкими значениями) он составлял
от 546 до 772 на 100 тысяч человек при медианном значении 656 на
100 тысяч человек.
Значение коэффициента смертности от новообразований
варьировалось от 60 на 100 тысяч в Республике Ингушетии до 268 во
Владимирской области; в центральной половине регионов – от 177 до
225 при медианном значении 205 умерших на 100 тысяч человек. Помимо
Ингушетии низкими показателями смертности от новообразований отличаются
Дагестан (71), Чечня (82), Ямало-Ненецкий автономный округ (83),
а также другие регионы с молодым составом населения, хотя во всех
из них коэффициент смертности от новообразований превышает 100 на
100 тысяч человек. В семи регионах-субъектах федерации смертность
от новообразований превышает 250 на 100 тысяч человек (Владимирской,
Тульской, Орловской, Тверской и Курганской областях, городах Севастополе
и Санкт-Петербурге).
Значение коэффициента смертности от внешних причин составило
в январе-декабре 2014 года от 22 на 100 тысяч человек в Чеченской
Республике до 259 в Республике Тыве; в центральной половине регионов
– от 110 до 160 при медианном значении 132 умерших на 100 тысяч
человек. Смертность от внешних причин составляет 200 умерших на
100 тысяч человек не только в Республике Тыве, то также в Республике
Алтай, Амурской области и Забайкальском крае, близка к этому уровню
в республиках Марий Эл и Бурятии, а также в Чукотском автономном
округе.
Смертность от болезней органов пищеварения в январе-декабре
2014 года составила от 6 умерших на 100 тысяч человек в Республике
Ингушетии до 152 во Владимирской области. В центральной половине
регионов значение показателя варьировалось в довольно узком интервале
от 56 до 82 при медианном значении 68 умерших в расчете на 100 тысяч
человек постоянного населения. Помимо Владимирской области высокими
значениями смертности от болезней органов пищеварения – более 100
умерших на 100 тысяч человек – отличаются Еврейская автономная область,
Ивановская и Ярославская области и Удмуртская Республика.
Значение коэффициента смертности от болезней органов
дыхания варьировалось от 8 в Республике Ингушетии до 107 умерших
на 100 тысяч человек в Курганской области. В центральной половине
регионов значение показателя варьировалось в сравнительно узком
интервале от 44 до 68 при медианном значении 57 умерших на 100 тысяч
человек. Помимо Курганской области высокая смертность от болезней
органов дыхания зарегистрирована в Омской области и республиках
Бурятии, Марий Эл и Чувашии (около 90 умерших на 100 тысяч человек).
Смертность от некоторых инфекционных и паразитарных
болезней в январе-декабре 2014 года варьировалась от 4,5 в Белгородской
области до 58 умерших в расчете на 100 тысяч человек в Иркутской
области. В центральной половине регионов она варьировалась от 11
до 26 при медианном значении 16 умерших на 100 тысяч человек. При
этом значение коэффициента смертности от туберкулеза (всех форм)
составляло от 2,1 в Белгородской области до 47 в Республике Тыве,
в центральной половине регионов – от 5,4 до 13,2 при медианном значении
8,9 на 100 тысяч человек постоянного населения.
Помимо Иркутской области высокие значения смертности
от инфекционных и паразитарных заболеваний наблюдались в Республике
Тыве и Кемеровской области (около 52 умерших на 100 тысяч человек,
в остальных регионах – менее 46). Высокая смертность от туберкулеза
в течение многих лет отмечается не только в Республике Тыве, но
и в Еврейской автономной области (36 на 100 тысяч человек в январе-декабре
2014 года), Курганской и Иркутской областях (27).

Рисунок 12. Число умерших от основных причин
смерти по регионам-субъектам Российской Федерации, январь-декабрь
2014 года, на 100 тысяч человек
Список 85
регионов по 9 федеральным округам
Различается и структура смертности по основным классам
причин смерти. По данным помесячной регистрации, доля умерших от
болезней системы кровообращения в 2014 году варьировалась от 31%
в Республике Тыве до 68% в Республике Крым; от новообразований –
от 9% в Республике Тыве до 22% в Санкт-Петербурге и Москве; от внешних
причин – от 4% в Нижегородской области и Чеченской Республике до
24% в Республике Тыве (рис. 13). Добавим, что внешними причинами
была обусловлена каждая пятая смерть в Ямало-Ненецком автономном
округе и Республике Алтай, чуть меньше – от 16% до 18% - в республиках
Саха (Якутия) и Бурятия, Чукотском и Ненецком автономных округах,
а также в Забайкальском крае.
Доля умерших от болезней органов пищеварения составила
в январе-декабре 2014 года от 1,7% в Республике Ингушетии до 9,2%
во Владимирской области; от болезней органов дыхания – от 1,6% в
Чеченской Республике до 10,9% в Республике Дагестан; от некоторых
инфекционных и паразитарных болезней – от 0,3% в Белгородской области
до 4,8% в Ханты-Мансийском автономном округе Югре и Республике Тыве.
Доля умерших от всех других причин, не входящих в перечисленные
основные классы причин смерти, варьируется от 3,0% в Республике
Крым до 31,4% в Ростовской области. Довольно высока доля умерших
от других причин смерти также в республиках Мордовии и Башкортостан,
Ивановской и Тамбовской областях (от 27 до 30%). Уточнение данных
при годовой разработке приведет к снижению значения этого показателя.

Рисунок 13. Распределение умерших по основным
причинам смерти по регионам-субъектам Российской Федерации, январь-декабрь
2014 года, %
Список 85
регионов по 9 федеральным округам
Более тонкие инструменты для оценки тенденций смертности
дают показатели таблиц смертности. В «Демографических ежегодниках
России» представлены основные показатели смертности мужчин и женщин
по причинам смерти – ожидаемая вероятность и средний возраст смерти
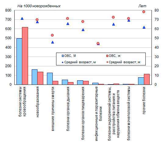
от отдельных причин. По расчетам Росстата, в 2013 году ожидаемая
вероятность смерти от болезней системы кровообращения была самой
высокой (среди основных классов причин смерти) и для мужчин, и для
женщин (рис. 14). Для женщин она была выше на 12 процентных пунктов
(618 против 498 на 1000 новорожденных соответствующего пола), а
средний возраст смерти от этой причины – на 9 лет больше. По сравнению
с 2012 годом, вероятность умереть от болезней системы кровообращения
в большей степени снизилась для женщин (на 27 пунктов промилле,
а у мужчин на 13). Вероятность умереть от других причин смерти,
особенно для мужчин, изменилась незначительно.
В условиях смертности 2013 года второй по значимости
и для мужчин, и для женщин причиной смерти были новообразования.
Вероятность умереть от этого класса причин смерти в несколько раз
ниже, чем от болезней системы кровообращения, и для мужчин она выше,
чем для женщин (соответственно, 162 и 137 на 1000 новорожденных).
Средний возраст смерти от новообразований у мужчин всего на 2,1
года ниже, чем у женщин (67,6 и 69,7 года).
Третий по значимости и для мужчин, и для женщин класс
причин смерти – внешние причины. Для мужчин вероятность умереть
от внешних причин, при условиях смертности 2013 года, составляет
129 на 1000 новорожденных. Для женщин она втрое ниже (40) и лишь
немного превышает вероятность смерти от болезней органов пищеварения
(39 на 1000 новорожденных). Средний возраст смерти от внешних причин
у мужчин на 7,2 года ниже (45,8 и 53,0 года соответственно).
Вероятность умереть от болезней органов дыхания для
мужчин вдвое выше, чем для женщин (53 и 25 на 1000 новорожденных),
средний возраст смерти ниже на 5,4 года (65,7 и 71,1 года соответственно).
Вероятность умереть от болезней органов пищеварения
для мужчин также выше, чем для женщин (47 и 39 на 1000 новорожденных),
средний возраст смерти ниже на 8,3 года (59,2 и 67,5 года соответственно).
Выше для мужчин и вероятность смерти от некоторых инфекционных
и паразитарных болезней (20 и 8 на 1000 новорожденных), но средний
возраст смерти примерно одинаков – около 44 лет.
Для женщин несколько выше вероятность умереть от болезней
эндокринной системы, расстройств питания и нарушения обмена веществ
(4 и 10 на 1000 новорожденных), но средний возраст смерти выше на
7,1 года (65,0 для мужчин и 72,1 года для женщин).
Вероятность умереть от болезней мочеполовой системы
практически одинакова для мужчин и женщин (6 и 7 на 1000 новорожденных),
но средний возраст смерти для мужчин ниже на 1,5 года (69,4 и 70,8
года соответственно).
Вероятность умереть от прочих причин для мужчин ниже,
чем для женщин (77 и 116 на 1000 новорожденных), но средний возраст
смерти от них для женщин существенно выше (61,8 года для мужчин
и 78,2 года для женщин).

Рисунок 14. Ожидаемая вероятность смерти (ОВС,
на 1000 новорожденных) и средний возраст смерти (лет) от основных
причин смерти мужчин (м) и женщин (ж), 2013 год
[11] Источником информации
о причинах смерти являются записи в медицинских свидетельствах о
смерти, составляемых врачом относительно заболевания, несчастного
случая, убийства, самоубийства и другого внешнего воздействия, послуживших
причиной смерти. Такие записи служат основанием для указания причины
смерти в записях актов о смерти. Причины смерти кодируются по Краткой
номенклатуре причин смерти, в которую вносятся определенные изменения.
C 2011 года. разработка производится согласно Краткой номенклатуре
причин смерти 2010 года, основанной на Международной статистической
классификации болезней и проблем, связанных со здоровьем (Х пересмотр
Всемирной организации здравоохранения 1989 года).
|