|
|
Понравилась статья? Поделитесь с друзьями:
|
|
|
|
|
|
|
|
|
Мобильность иностранных работников на российском рынке
труда[1]
Варшавская Е.Я.[2],
Денисенко М.Б.[3]
(Опубликовано в журнале "Социологические
исследования", 2014, №4, с. 63-73)
Международная трудовая миграция стала заметным социально-экономическим
явлением России. В общей сложности за 2000-е гг. иностранным гражданам
выдано более 11 млн. разрешений на работу. В 2012 г. численность
трудовых мигрантов, работающих на законных основаниях, превышала
2 млн. человек. Ещё больше иностранцев трудилось и трудится без
разрешений на работу, т.е. незаконно. По оценкам ряда экспертов
и руководителей ФМС, ежегодно в стране 3-5 млн. иностранных граждан
работают без официального разрешения[4].
В целом около 3% занятого населения - иностранные работники, а с
учетом нелегальных мигрантов эта доля увеличивается как минимум
до 7%. В то же время информации осоциально-демографических характеристиках,
сферах деятельности, условиях проживания и работы, мобильности,
заработной плате таких работников мало[5].
Отсутствие достоверной информации порождает множество мифов о миграции,
ведет к необоснованным оценкам ее места в российском обществе и
на рынке труда.
Целью статьи является анализ мобильности иностранных
работников на российском рынке труда. Наше внимание сконцентрировано
на 2-х аспектах мобильности: 1) при переходе от работы в стране
происхождения к первой работе в России; 2) при смене места работы
на территории РФ. В первом случае мы получаем ответ на вопрос "Как
встречает российский рынок труда иностранных работников?", во втором
- анализируем процесс экономической адаптации мигрантов.
Эмпирической основой анализа выступили результаты исследования,
проведенного в ноябре 2011 г. АНО "Центр этнополитических и региональных
исследований"[6]. Всего было
опрошено 8499 мигрантов, их распределение по странам прибытия представлено
в табл. 1. Большинство приехало в Россию из государств Центральной
Азии (Узбекистана, Таджикистана, Киргизии) - почти три четверти
респондентов (72%). Преобладают мужчины (70,5%), прежде всего среди
прибывших из Азербайджана - 80,4%, Таджикистана - 80,0%).
Таблица 1. Распределение опрошенных
мигрантов по странам происхождения (в %)*
|
Страна происхождения
|
Опрошенные мигранты
|
Справочно: 8 регионов опроса (по данным ФМС)
|
Справочно: РФ в целом (по данным ФМС)
|
|
Азербайджан
|
3,2
|
2,3
|
3,2
|
|
Армения
|
2,3
|
4,5
|
5,7
|
|
Киргизия
|
10,6
|
8,0
|
6,6
|
|
Молдова
|
6,5
|
6,0
|
4,2
|
|
Таджикистан
|
20,0
|
21,6
|
19,3
|
|
Узбекистан
|
41,4
|
43,8
|
45,0
|
|
Украина
|
8,8
|
7,6
|
7,9
|
|
Китай
|
2,7
|
3,3
|
4,6
|
|
КНДР
|
1,0
|
1,0
|
1,1
|
* Приведены данные по странам происхождения, удельный вес которых
в численности респондентов превышает 1%. На их долю приходится
96,5% опрошенных (98.1% в 8 регионах, в которых проводился опрос,
97,6% в РФ).
Три четверти респондентов (76,1%) - люди наиболее активных
трудоспособных возрастов (до 40 лет), в т.ч. почти половина (48,6%)
- в возрасте до 30 лет. Самые молодые чаще всего приезжают в Россию
из государств Центральной Азии – около половины (51,8%) не достигли
возраста 30 лет. Среди прибывших из государств Закавказья таких
40%, среди представителей народов европейской части СНГ (украинцев,
молдаван, русских) - около трети (35,8%).
Уровень образования относительно невысок: только четверть
опрошенных (26,2%) имеют среднее специальное или среднее профессиональное
образование, каждый шестой (16,5%) - высшее или незаконченное высшее,
в том числе 11,5% - высшее. Самый низкий уровень образования среди
респондентов из Таджикистана, Узбекистана и Киргизии: среди выходцев
из этих государств доля лиц со средним образованием и ниже составляет
63,3%. Каждый восьмой мигрант, представляющий народы Центральной
Азии, не имеет даже среднего образования.
Распределение респондентов по году первого приезда в
Россию и уровню образования (табл. 2) показывает, что чем позже
мигрант приехал в нашу страну, тем больше среди них не имеет профессионального
образования. По данным опроса, ухудшение образовательной структуры
мигрантов не связано с изменением их возрастного состава. Иначе
говоря, приезжают по-прежнему достаточно молодые, но менее образованные.
Таблица 2. Распределение опрошенных
мигрантов по году приезда в Россию и уровню образования
(в % по строке)
|
Годы первого приезда в Россию
|
Начальное, неполное среднее
|
Среднее общее
|
Среднее спец. / среднее профессиональное
|
Высшее, незаконченное высшее
|
|
2001 и ранее
|
7,9
|
39,5
|
31,4
|
21,3
|
|
2002-2005
|
10,0
|
44,5
|
27,0
|
18,5
|
|
2006-2008
|
8,8
|
48,8
|
25,7
|
16,7
|
|
2009-2010
|
12,0
|
47,9
|
24,5
|
15,6
|
|
2011
|
13,6
|
50,4
|
24,1
|
12,0
|
Знание русского языка - одна из ключевых характеристик,
во многом определяющих процессы адаптации и интеграции в принимающее
сообщество. Наиболее остра эта проблема для приехавших из стран
дальнего зарубежья (среди них оценку "плохо" и "очень плохо" получили
44,2% респондентов) и Центральной Азии (20,6%). Доля получивших
плохие оценки среди представителей народов Закавказья значительно
меньше - 8,1%, среди респондентов из европейских стран СНГ такие
практически отсутствуют[7].
Уровень знания русского языка тем выше, чем старше мигрант
и дольше находится в России. Эта зависимость проявляется во всех
этнических группах. Плохое знание русского языка демонстрируют в
первую очередь недавно приехавшие молодые респонденты из Центральной
Азии. У трети среди них (32,3%) в возрасте до 20 лет отмечено плохое
знание русского языка, что практически вдвое выше, чем среди 30-50-летних
мигрантов из этих же стран. Так же низко было оценено знание языка
у 31,5% респондентов из центрально-азиатских государств, приехавших
в 2011 г. - это в 2 раза больше, чем среди мигрантов из этих же
стран, прибывших в РФ в 2008 г. и раньше.
В целом анализ социально-демографических характеристик
респондентов позволяет заключить, что российский рынок труда всё
в большей степени становится привлекательным для молодых мигрантов,
преимущественно жителей стран Центральной Азии, имеющих невысокий
уровень образования и профессиональной подготовки[8].
Переход "последняя работа дома - первая
работа в России". 60,7% занятых в
момент опроса респондентов (4406 чел.) работали прежде в стране
происхождения.
Обратим внимание на весьма тревожную тенденцию - уменьшение
среди опрошенных доли работавших до приезда в Россию. Утвердительно
ответили на вопрос о работе до первого приезда в РФ две трети респондентов,
приехавших в 2005 г. и ранее, 61% прибывших в 2006-2008 гг. и только
половина из тех, кто приехал в 2009-2011 гг. Причем максимальным
это сокращение было среди респондентов молодых возрастов.
Отраслевые структуры занятости мигрантов по последнему
месту работы в стране происхождения и на первой работе в РФ существенно
различаются (табл. 3). Основная часть из них на родине были заняты
в оптовой и розничной торговле (18,1%), строительстве (15,9%), на
транспорте и связи (11,7%), в сельском хозяйстве (10,7%). Первые
рабочие места мигрантов в РФ сконцентрированы в 3-х отраслях - торговле
(34,2%) и строительстве (26,7%), а также коммунальных и социальных
услугах (12%). В результате, если на последнем месте работы в стране
происхождения на их долю приходилось немногим более трети работников
(38,7%), то по первому месту работы в России этими видами деятельности
заняты уже почти три четверти мигрантов (72,9%). Численность работающих
возросла в торговле в 1,9 раз, в строительстве - в 1,7 раз, в коммунальных
и социальных услугах - в 2,5 раза по сравнению с численностью занятых
в них по месту последней работы в стране происхождения[9].
Таблица 3. Отраслевая структура
занятости мигрантов по последнему месту работы в стране происхождения
и по первому месту работы в России, (%)
|
Вид экономической деятельности
|
Отраслевая структура занятости
|
Изменение численности (первая работа в России / последняя
работа дома)
|
|
последняя работа дома
|
первая работа в России
|
|
А. Сельское хозяйство
|
10,7
|
0,8
|
7,0
|
|
Б. Добыча полезных ископаемых
|
0,6
|
0,1
|
15,4
|
|
В. Обрабатывающие производства
|
10,3
|
4,4
|
42,4
|
|
Г. Производство и распределение электроэнергии, газа и воды
|
1,8
|
0,8
|
42,0
|
|
Д. Строительство
|
15,9
|
26,7
|
168,1
|
|
Е. Оптовая и розничная торговля, ремонт транспорта и бытовых
изделий
|
18,1
|
34,2
|
189,2
|
|
Ж. Гостиницы и рестораны
|
4,9
|
5,8
|
117,3
|
|
З. Транспорт и связь
|
11,7
|
7,9
|
66,9
|
|
И. Финансовая деятельность
|
1,0
|
0,2
|
18,2
|
|
К. Операции с недвижимостью, аренда и предоставление услуг
|
0,1
|
0,2
|
180,0
|
|
Л. Государственное управление, социальное страхование
|
2,4
|
0,2
|
6,7
|
|
М. Образование
|
8,1
|
0,5
|
6,5
|
|
Н. Здравоохранение и социальные услуги
|
4,0
|
0,6
|
14,9
|
|
О. Прочие коммунальные, социальные и персональные услуги
|
4,8
|
12,0
|
248,1
|
|
П. Услуги по ведению домашнего хозяйства
|
0,4
|
1,7
|
441,2
|
|
Прочее
|
5,2
|
4,1
|
78,9
|
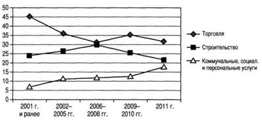
Следует обратить внимание, что отраслевой профиль первой
работы мигрантов в России менялся в течение 1990 - 2000-х гг. (рис.
1): доля нашедших первую работу в торговле уменьшалась, и, напротив,
увеличивалась доля тех, у кого первое рабочее место было в сфере
ЖКХ. Так, если почти половина (45,3%) респондентов, приехавших 10
и более лет назад, находили свою первую работу в сфере торговли,
то среди прибывших в 2011 г. таковых менее трети (31,8%). Доля мигрантов,
у которых первая работа была в сфере ЖКХ, увеличилась в 2,5 раза
- с 7,2% среди иностранных работников со сроком пребывания от 10
лет до 18,1% среди приехавших в 2011 г.

Рисунок 1. Доля
мигрантов, нашедших первую работу в России в торговле, строительстве,
коммунальных, социальных и персональных услугах в зависимости от
года приезда (в %).
Подавляющее большинство были вынуждены поменять вид
экономической деятельности: только 31,2% нашли первую работу в той
же отрасли, что и на родине. Менее всех склонны менять отрасль мигранты,
которые и ранее работали в основных секторах занятости иностранных
работников на российском рынке труда - строительстве и торговле.
Здесь нашли свою первую работу 66,4 и 57,6% (соответственно) работавших
в них в стране происхождения (табл. 4). Около трети занятых в сфере
коммунальных, социальных и персональных услуг (37,3%), транспорта
и связи (36,6%), гостинично-ресторанного бизнеса (36,1%) продолжили
работать в этих отраслях и в РФ.
Таблица 4. Виды экономической
деятельности мигрантов в стране происхождения и по месту первой
работы в России (в % по строке)
|
Вид экономической деятельности в стране происхождения
|
Вид экономической деятельности по месту первой работы
в России
|
|
А
|
Б
|
В
|
Г
|
Д
|
Е
|
Ж
|
З
|
И
|
К
|
Л
|
М
|
Н
|
О
|
П
|
Пр.
|
|
А. Сельское хозяйство
|
1,5
|
0
|
3,2
|
0,9
|
31,6
|
33,5
|
1,7
|
4,3
|
0
|
0
|
0
|
0,2
|
0,4
|
19,0
|
1,1
|
2,8
|
|
Б. Добыча полезных ископаемых
|
0
|
11,5
|
7,7
|
0
|
30,8
|
19,2
|
0
|
23,1
|
0
|
0
|
0
|
0
|
0
|
7,7
|
0
|
0
|
|
В. Обрабатывающие пр-ва
|
1,1
|
0
|
12,7
|
0,9
|
24,7
|
32,4
|
4,4
|
4,4
|
0
|
0,2
|
0
|
0,4
|
0
|
11,8
|
1,8
|
5,1
|
|
Г. Производство и распределение э/энергии, газа и воды
|
0
|
0
|
2,5
|
4,9
|
25,9
|
34,6
|
3,7
|
0,2
|
0
|
0
|
0
|
0,2
|
0,2
|
16,0
|
0,2
|
7,4
|
|
Д. Строительство
|
1,1
|
0
|
2,4
|
0,6
|
66,4
|
14,1
|
1,7
|
3,2
|
0
|
0
|
0
|
0,1
|
0
|
9,0
|
0,4
|
0,9
|
|
Е. Оптовая и розничная торговля, ремонт транспорта и бытовых
изделий
|
0,3
|
0
|
3,7
|
0,6
|
15,5
|
57,6
|
4,4
|
4,4
|
0,3
|
0,3
|
0,1
|
0,4
|
0,4
|
7,3
|
1,4
|
3,4
|
|
Ж. Гостиницы и рестораны
|
0
|
0
|
4,6
|
0,5
|
8,8
|
34,3
|
36,1
|
2,8
|
0
|
0
|
0,5
|
0,9
|
0
|
3,7
|
3,2
|
4,6
|
|
З. Транспорт и связь
|
0,6
|
0
|
1,8
|
0,6
|
20,2
|
25,1
|
1,8
|
36,6
|
0
|
0,2
|
0
|
0,4
|
0,8
|
7,6
|
0,4
|
3,7
|
|
И. Финансовая деятельность
|
0
|
0
|
9,1
|
0
|
25,0
|
34,1
|
6,8
|
2,3
|
9,1
|
2,3
|
0
|
0
|
0
|
6,8
|
0
|
2,3
|
|
К. Операции с недвижимостью, аренда и предоставление услуг
|
0
|
0
|
0
|
0
|
20,0
|
40,0
|
20,0
|
0
|
0
|
20,0
|
0
|
0
|
0
|
0
|
0
|
0
|
|
Л. Государственное управление, социальное страхование
|
0
|
1,0
|
2,9
|
0
|
19,0
|
34,3
|
7,6
|
9,5
|
0
|
0
|
1,9
|
0
|
0
|
20,0
|
1,0
|
2,9
|
|
М. Образование
|
1,7
|
0
|
3,4
|
0
|
12,1
|
41,9
|
11,0
|
4,2
|
0,3
|
0
|
0
|
2,8
|
1,1
|
12,4
|
4,8
|
4,2
|
|
Н. Здравоохранение и соц. услуги
|
0
|
0
|
5,2
|
1,1
|
7,5
|
46,6
|
8,6
|
1,1
|
0
|
0,6
|
1,1
|
0,6
|
6,3
|
12,6
|
2,9
|
5,7
|
|
О. Прочие коммунальные, социальные и персональные услуги
|
0,9
|
0
|
4,7
|
2,8
|
17,9
|
25,0
|
2,4
|
1,9
|
0
|
0
|
0,5
|
0
|
0,5
|
37,3
|
2,8
|
3,3
|
|
П. Услуги по ведению домашнего хозяйства
|
0
|
0
|
0
|
0
|
17,6
|
47,1
|
0
|
5,9
|
0
|
0
|
0
|
0
|
0
|
0
|
29,4
|
0
|
|
Прочее
|
0
|
0
|
5,3
|
0,4
|
20,2
|
27,2
|
6,6
|
6,1
|
0,4
|
0,4
|
0
|
0
|
0
|
14,0
|
1,8
|
17,5
|
Полужирным курсивом выделены данные в ячейках, в которых
показана доля мигрантов, работавших до приезда и не сменивших вид
деятельности в первый приезд в Россию.
Самыми не востребованными на российском рынке труда
оказались относительно многочисленные группы занятых у себя дома
в здравоохранении, образовании и государственном управлении. Только
6,3% работавших в стране происхождения в здравоохранении заняты
в этой сфере в РФ, ещё ниже аналогичная доля среди работников образования
(2,8%) и государственного управления (1,9%). Подавляющая часть этих
работников нашли свою первую работу на новом месте жительства в
отраслях, не требующих профессиональной подготовки. В торговлю пошли
трудиться 46,6% работавших в здравоохранении, 41,9% работников образования,
треть (34,3%) занятых в госуправлении, в сферу коммунального и социального
обслуживания - 12,6% бывших работников здравоохранения, 12,4% -
образования, 20% - государственного управления.
На российском рынке труда оказываются во многом не востребованными
не только специфические знания и навыки, которыми мигранты обладали
в конкретном виде деятельности до приезда, но образование и квалификация
работников. Численность специалистов высшей квалификации, нашедших
соответствующую первую работу здесь, по сравнению с численностью
этой группы по последнему месту работы в стране происхождения сократилась
в 8,3 раза, специалистов средней квалификации - в 3,8 раз, руководителей
и офисных работников - втрое; напротив, число неквалифицированных
рабочих увеличилось в 2,6 раз (табл. 5). В результате существенно
различаются профессионально-должностная структура мигрантов по последнему
месту работы на родине и по первому - в России. Так, если в "домашней"
структуре занятости на долю руководителей и специалистов приходится
20,9%, а неквалифицированных рабочих - 14,7%, то в "российской"
удельный вес первых сократился до 4,0% (!), а вторых вырос до 38,7%.
Таблица 5. Профессионально-должностная
структура мигрантов по последнему месту работы в стране происхождения
и по первому месту работы в России
|
Профессионально-должностная группа
|
Профессионально-должностная структура, %
|
Изменение численности (первая работа в России / последняя
работа дома, %)
|
|
последняя работа дома
|
первая работа в России
|
|
1. Руководители организаций, подразделений
|
4,0
|
1,3
|
33,5
|
|
2. Специалисты высшей квалификации
|
11,4
|
1,3
|
12,1
|
|
3. Специалисты средней квалификации
|
5,5
|
1,4
|
26,3
|
|
4. Работники, занятые подготовкой информации, оформлением
документации, учетом и обслуживанием
|
3,9
|
1,2
|
31,0
|
|
5. Работники сферы обслуживания, ЖКХ, торговли
|
20,0
|
25,9
|
129,5
|
|
6. Квалифицированные работники с/х
|
3,8
|
0,5
|
13,4
|
|
7. Квалифицированные рабочие промышленных предприятий, строительства,
транспорта, связи
|
20,9
|
20,4
|
97,7
|
|
8. Операторы, аппаратчики, машинисты установок и машин
|
15,9
|
9,1
|
57,4
|
|
9. Неквалифицированные рабочие
|
14,7
|
38,7
|
263,2
|
Таблица 6. Профессионально-должностные
группы мигрантов в стране происхождения и по месту первой работы
в России (в % по строке)

Темно-серым цветом выделены переходы, соответствующие нисходящей
мобильности, светло-серым - восходящей, белым - переходы без изменения
уровня квалификации. Полужирным курсивом выделены данные в ячейках,
в которых показана доля мигрантов, работавших до приезда и не
сменивших свою профессионально-должностную группу на первом российском
рабочем месте.
Как и в случае с отраслевой, профессионально-должностная
структура первых рабочих мест мигрантов изменялась в течение 1990
- 2000-х гг. (рис. 2). Существенно (в 1,8 раз) увеличилась доля
мигрантов, для которых первое место занятости оказалось на позиции
неквалифицированного рабочего - с 28,5% среди приехавших 10 и более
лет назад до 52,7% среди прибывших в 2011 г. С другой стороны, сократилась
доля работников сферы обслуживания и торговли (с 34,3 до 18,8%),
а также руководителей и специалистов (с 8,0 до 3,1%). В целом изменение
отраслевой и профессионально-должностной структуры первых рабочих
мест мигрантов говорит о смещении спроса на их труд в сторону всё
более простых, неквалифицированных занятий.

Рисунок 2. Доля мигрантов,
нашедших первую работу в России, на соответствующих профессионально-должностных
позициях в зависимости от года приезда (в %)
Только 38,9% мигрантов удалось сохранить свою прежнюю
профессионально-должностную позицию по месту первой работы (табл.
6). Подавляющее большинство - неквалифицированные рабочие, 69,7%
из них продолжили работу в этом качестве. Далее следуют работники
сферы обслуживания, ЖКХ, торговли (51,8%) и квалифицированные рабочие
(49,2%).
Напротив, абсолютному большинству руководителей и специалистов
пришлось начинать работать на таких рабочих местах, которые не предполагают
особых требований к образованию и квалификации. Так, 29,5% представителей
группы "руководители" в стране происхождения в России стали неквалифицированными
рабочими, ещё четверть (26,6%) - работниками сферы обслуживания
и торговли; среди специалистов высшей квалификации таковых 33,6
и 36,0% соответственно, средней - 28,8 и 37,1%. Сохранить профессионально-должностной
статус удалось только 13,3% руководителей, 7,2% специалистов высшей
квалификации, 8,8% - средней. В результате нисходящая квалификационная
мобильность на переходе "работа дома - первая работа в России" абсолютно
превалирует над восходящей. Снизили свой профессионально-должностной
статус после приезда 40,4% опрошенных мигрантов, удалось повысить
его только 6,2%.
Что позволяет мигрантам сохранить профессионально-должностной
статус? Прежде всего, трудоустройство в той же сфере экономической
деятельности, в которой они были заняты на родине (табл. 7). Оно
позволило трем четвертям (74,1%) сохранить принадлежность к своей
"домашней" профессионально-должностной группе. С другой стороны,
смена места работы с точки зрения его отраслевого профиля ведет
и к изменению профессионально-должностного статуса - это произошло
у 77,7% тех, чье место первой работы было в отрасли, отличной от
работы в стране происхождения. В этом случае половина мигрантов
(51%) испытала нисходящую квалификационную мобильность.
Таблица 7. Распределение мигрантов
по изменению отраслевой и профессионально-должностной группы
на переходе "работа дома - первая работа в России" (в %)
|
Первая работа в России в той же отрасли, что и дома, 1393
чел. (100%)
|
Первая работа в России в другой отрасли по сравнению с
работой дома, 2947 чел. (100%)
|
|
Работают в той же проф. - должностной группе
|
Работают в другой профессионально-должностной группе
|
Работают в той же проф.-должностной группе
|
Работают в другой профессионально-должностной группе
|
|
Восход, мобиль-
ность
|
Нисход. мобиль-
ность
|
Без изменения квалифи-
кации
|
Восход, мобиль-
ность
|
Нисход. мобиль-
ность
|
Без изменения квалифи-
кации
|
|
74,1
|
4,3
|
17,9
|
3,7
|
22,3
|
7,1
|
51,0
|
19,6
|
С точки зрения смены/сохранения профессионально-должностной
и отраслевой группы при переезде мигрантов можно разделить на 4
группы: 1) сохранившие принадлежность к обеим группам (далее - "сохранившие");
2) сохранившие отраслевую и сменившие профессионально-должностную
группу; 3) сохранившие профессионально-должностную и сменившие отраслевую
группу; 4) сменившие обе группы ("сменившие"). По выделенным группам
респонденты распределились следующим образом. Более половины (52,8%)
сменили принадлежность к обеим группам, напротив, каждому четвертому
(23,8%) удалось её сохранить. 15,1% мигрантов сохранили профессионально-должностной
статус, сменив отрасль, в которой они нашли первую работу, 8,3%
приехавших нашли работу в той же отрасли, что и на родине, но изменили
профессионально-должностную принадлежность.
Рассмотрим подробнее крайние группы, т.е. сохранивших
и сменивших оба статуса. Основная часть сохранивших оба статуса
(78,6%) - работники строительства, торговли, транспорта и связи.
В группе сменивших оба статуса работников этих 3-х отраслей существенно
меньше (29,7%). Работников госуправления, образования и здравоохранения
среди сохранивших статусы мигрантов ничтожная доля (1,7%), зато
среди "сменивших" они составляют 24%. Большинство в группе "сохранивших"
составляют работники сферы услуг (30,9%) и квалифицированные рабочие
(29,0%). Среди сменивших статусы их существенно меньше - 14,2 и
15,5% соответственно. Только 5,2% сохранивших оба статуса являются
руководителями и специалистами, среди "сменивших" их доля значительно
больше - 33,0%.
Самое значимое различие в характеристиках сохранивших
и сменивших статусы - уровень образования. Половина (49,3%) мигрантов,
сохранивших при переезде свой профессионально-должностной статус
(обычно рабочего или работника сферы услуг) и отраслевую принадлежность
(чаще всего к строительству и торговле), имеют среднее общее образование
и только десятая часть (10,5%) - высшее. В группе сменивших оба
статуса, почти четверть (23,4%) - обладатели вузовских дипломов
и 38,3% имеют среднее общее образование.
Итак, первая работа в России чаще всего не соответствует
уровню профессиональной подготовки мигранта и его специфическим
навыкам. Российский рынок труда при первой встрече "понижает" статус
мигрантов, особенно квалифицированных специалистов и руководителей,
вынуждая соглашаться на работу, не соответствующую их уровню образования
и подготовки. Вместе с тем он достаточно "дружелюбен" в отношении
промышленных и строительных рабочих, в первую очередь низкоквалифицированных,
а также работников сферы обслуживания, предоставляя им работу по
специальности.
Переход "первая работа в России - актуальная
работа в России". Почти треть занятых
(31,4%, 2379 человек) утвердительно ответили на вопрос о смене места
работы с начала своих поездок в нашу страну или проживания на ее
территории. Отметим, что наиболее значимой социально-демографической
характеристикой, влияющей на
смену места работы, является уровень образования. Наименьшую
активность проявляют мигранты с невысоким образованием. Так, среди
имеющих начальное и неполное среднее образование 27,4% меняли место
работы, среди обладателей вузовских дипломов - 37,4%. Пол и возраст
не являются значимым фактором: менявшие место работы в равной мере
представлены среди мужчин и женщин, а также среди респондентов разных
возрастных групп (при контроле срока их пребывания в РФ).
Почти в половине случаев (44,2%) смена места работы
не приводит к изменению её отраслевой принадлежности. Наиболее "верны"
своей отрасли опять, как и на переходе "последняя работа дома
- первая работа в России", работники торговли и строительства,
среди которых 60,5 и 44,9% (соответственно), поменяв место работы,
не сменили её отраслевой профиль. Значительная часть (70,2%) сменивших
отраслевую принадлежность своей работы пришли работать в торговлю
(27,9%), сферу коммунальных и социальных услуг (15,7%), строительство
(14,5%), транспорт и связь (12,0%). Следует подчеркнуть, что смена
места работы "не возвращает" бывших работников государственного
управления, образования, здравоохранения, финансов к работе в этих
отраслях. Таким образом, смена места работы на территории России
приводит к усилению концентрации иностранных работников в определенных
отраслевых сегментах занятости, прежде всего в торговле, строительстве,
ЖКХ, что говорит о формировании особого сегмента рынка труда, предъявляющего
спрос на работу мигрантов.
Несмотря на смену места работы, около половины (52,0%)
остались в своей профессионально-должностной группе. Это прежде
всего работники сферы обслуживания (56,8%) и неквалифицированные
рабочие (54,2%). Наиболее мобильными, с точки зрения смены профессионально-должностного
статуса, оказались специалисты и офисные работники (табл. 8).
Таблица 8. Профессионально-должностные
группы мигрантов по месту первой работы в России и работы в момент
опроса (в % по строке)

Темно-серым цветом выделены переходы, соответствующие нисходящей
мобильности, светло-серым - восходящей, белым - переходы без изменения
уровня квалификации. Полужирным курсивом выделены данные в ячейках,
в которых показана доля мигрантов, сохранивших свою профессионально-должностную
группу после смены работы в России.
Подчеркнем, что 27,1% сменивших место работы удалось
повысить свой профессионально-должностной уровень, снизивших его
работников оказалось в 2,3 раза меньше (11,6%). Иначе говоря, на
переходе "первое место работы в России - актуальное место работы"
восходящая мобильность доминирует, что говорит об экономической
адаптации мигрантов. Однако смена места работы все же не позволяет
им вернуться к профессионально-должностной позиции, занимаемой на
родине. Только 32,3% респондентов, работавших дома, менявших место
работы в России и занятых на момент опроса, сохранили свою "домашнюю"
профессионально-должностную группу на первом рабочем месте в РФ,
после смены работы их доля увеличилась незначительно - до 36%. Минимален
уровень возврата среди руководителей и специалистов высшей квалификации
(5,6 и 5,7% соответственно).
Смена места работы не способствует и реализации планов
найти работу с хорошим заработком. Отрицательно ответили на вопрос
об осуществлении таких планов 16,4% респондентов, сменивших работу,
и 11,6% не менявших ее. Субъективные оценки подтверждаются данными
о величине заработной платы: статистически значимой разницы в уровне
заработка мигрантов, менявших и не менявших место работы (в т.ч.
и при контроле срока их пребывания на территории РФ) не обнаружено.
Итак, анализ трудовой мобильности показал, что типичной
траекторией мигрантов, впервые приехавших в Россию, является трудоустройство,
не соответствующее их уровню профессиональной подготовки и специальным
навыкам. На российском рынке труда оказываются слабо востребованными
профессиональные навыки, образование и квалификация в первую очередь
высокого уровня. Более того, динамика отраслевой и профессионально-должностной
структуры рабочих мест, которые выступали местами первого трудоустройства
мигрантов, говорит о смещении спроса на их труд в сторону всё более
простой, не требующей квалификации работы. Очевидно, что наблюдаемое
снижение образовательного уровня мигрантов во многом обусловлено
такой динамикой спроса на труд.
В процессе смены места работы не более чем 10-15% удается
занять рабочие места, в большей мере соответствующие их уровню квалификации
и образования. Смена места работы на территории России приводит
к усилению концентрации иностранных работников в определенных видах
экономической деятельности (торговле, строительстве, ЖКХ, транспорте),
что свидетельствует о постепенном формировании особого (во многом
"мигрантского") сегмента рынка труда.
[1] В работе использованы
результаты, полученные в ходе выполнения проектов SEARCH (грант
No.266864 European Community's Seventh Framework Programme) и "Совершенствование
механизмов привлечения и использования иностранных работников в
Российской Федерации" (программа фундаментальных исследований НИУ
ВШЭ 2013 г.)
[2] Варшавская Елена Яковлевна
- доктор экономических наук, профессор НИУ Высшая школа экономики
[3] Денисенко Михаил
Борисович - кандидат экономических наук, заместитель директора Института
демографии, заведующий кафедрой демографии НИУ Высшая школа экономики
[4] Концепция государственной
миграционной политики Российской Федерации на период до 2025 г.
URL: http://www.fms.gov.ru/about/koncep_mig_pol (дата обращения
5.06.2013); Население России 2009: Семнадцатый ежегодный демографический
доклад/ Отв. ред. Вишневский А. Г. М.: Изд. дом ВШЭ, 2011.
С. 264; ФМС оценила число нелегальных мигрантов в России. Пресс-конференция
заместителя руководителя ФМС Егоровой Е. Ю. 15 октября 2012 г. URL:
http:/ria.ru/society/20121015/902613691.html (дата обращения 9.06.2013).
[5] В планах Федеральной службы
государственной статистики обследование трудовых мигрантов намечено
только на 2015 г. До 2013 г. данные о мигрантах, содержащиеся в
Обследовании населения по проблемам занятости, практически не разрабатывались.
[6] Опрос проводился по заказу
НИУ Высшая школа экономики в 8 субъектах Российской Федерации: Москва,
Московская область, Санкт-Петербург, Астраханская, Самарская, Свердловская
области, Пермский, Приморский края. По данным ФМС, в январе-октябре
2011 г. на выбранные регионы приходилось 54% легально занятых иностранных
работников в Российской Федерации. В основу распределения квот выборочной
совокупности по регионам положена доля региона среди всех отобранных
субъектов по суммарному показателю численности работающих по разрешению
на работу и по патентам, скорректированная в сторону незначительного
увеличения квоты для Астраханской и Самарской областей, а также
Пермского края. Кроме того, учитывалось распределение мигрантов
по странам происхождения. Респондентами выступали иностранные граждане
независимо от их правового статуса и этнической принадлежности.
Их поиск осуществлялся методом "снежного кома".
[7] Знание русского языка оценивалось
интервьюером.
[8] Наши выводы не противоречат
результатам, полученным в ходе других исследований трудовых мигрантов
[Зайончковская Ж. А., Тюрюканова Е. В., Флоринская Ю. В.
Трудовая миграция в Россию: как двигаться дальше. М.: МАКС Пресс,
2011; Население России 2009: Семнадцатый ежегодный демографический
доклад/ Отв. ред. Вишневский А. Г. М.: Изд. дом ВШЭ, 2011].
[9] Отмечается существенный
рост численности работников, занятых оказанием услуг по ведению
домашнего хозяйства, однако он во многом обусловлен эффектом "низкой
базы"
|