|
|
Неравенство в заработках: роль профессий
Ощепков А.Ю.1
(Опубликовано в: Ощепков А.Ю. Неравенство в заработках: роль
профессий. Препринт WP3/2011/03 О97; Высшая школа экономики. - М.:
Изд. дом Высшей школы экономики, 2011. - 84 с.)
Введение2
Развитие экономики тесно связано с процессом общественного
разделения труда. Специализация в производстве товаров и услуг при
возможности обмена является ключевым фактором роста производительности
труда, увеличения производства и повышения качества жизни. Ее естественным
результатом является формирование в обществе групп людей, занимающихся
схожей трудовой деятельностью, т.е. имеющих схожие профессии.
В данной работе анализируется влияние профессионального
разделения труда на общее неравенство в распределении заработков.
Тема зарплатного неравенства является весьма популярной в отечественной
социально-экономической литературе. Однако удивительно, что хотя
профессии общепризнанно являются одним из ключевых элементов социально-экономической
стратификации общества, анализу их роли в формировании заработной
платы и неравенства в целом уделяется относительно мало внимания3.
Этот пробел существует, на наш взгляд, главным образом из-за недостатка
микроданных, позволяющих выделять относительно узкие и однородные
профессиональные группы. В подавляющем большинстве эмпирических
исследований под профессиями понимаются лишь девять агрегированных
профессионально-квалификационных групп, выделяемых на укрупненном
уровне Общероссийского классификатора занятий (ОКЗ), что автоматически
приводит к тому, что профессии «уходят в тень» других факторов,
прежде всего — образования.
Мы проводим наш анализ, выделяя профессиональные группы
на всех четырех существующих в ОКЗ уровнях агрегирования, используя
для этого данные Обследования заработных плат по профессиям (ОЗПП)
Росстата за 2007 г. «Спуск» на более низкие уровни агрегирования
профессиональных групп заставляет серьезно пересмотреть роль профессии
в формировании заработных плат. Во-первых, это касается величины
вклада профессионального разделения труда в общее неравенство в
заработках. Мы показываем, что вклад профессий в неравенство превышает
вклад традиционных для российского рынка труда лидеров — регионов
и отраслей. Во-вторых, это касается механизмов влияния профессии
на заработные платы. Наша работа свидетельствует о том, что в основе
этого влияния во многом лежат профессионально-специфические факторы.
Например, мы показываем, что профессия является «проводником» влияния
изменений в структуре спроса на труд на индивидуальные заработные
платы. Кроме того, анализируя формирование заработной платы и неравенства
внутри достаточно узких и внутренне однородных профессий, мы показываем,
что профессия может рассматриваться как некая «среда», которая трансформирует,
усиливая или ослабляя, влияние на заработную плату многих наблюдаемых
и ненаблюдаемых зарплатообразующих факторов.
Структура работы выглядит следующим образом. В следующем
разделе проводится обсуждение понятия «профессия» и роли профессиональной
принадлежности работников в формировании заработной платы. В третьем
разделе описываются используемые данные. В четвертом разделе проводится
стандартная декомпозиция общего неравенства в заработках на межпрофессиональную
и внутрипрофессиональную компоненты на всех четырех доступных уровнях
ОКЗ. При этом вклад профессий в неравенство сравнивается с вкладами
других традиционно выделяемых факторов — таких как образование,
стаж, пол, возраст, отрасли, сектора, размер предприятий и регионы.
В пятом разделе анализируется межпрофессиональное неравенство
по заработным платам. Мы оцениваем, в какой мере межпрофессиональные
различия в уровнях оплаты труда вызваны различиями в «наполнении»
профессий работниками и рабочими местами с разными характеристиками,
а также обсуждаем возможные причины остающихся различий. В шестом
разделе мы обращаемся к проблеме внутрипрофессионального неравенства
по заработной плате. Для каждой из выделенных массовых профессий
мы оцениваем стандартные уравнения заработной платы, что позволяет
выявить особенности формирования оплаты труда работников разных
профессий и оценить вклад различных факторов во внутрипрофессиональное
неравенство. В последнем, седьмом, разделе суммируются и обобщаются
полученные результаты.
2. Что такое профессия и почему она может играть важную
роль в формировании заработной платы?
2.1. Что такое профессия?
Прежде чем представить содержательное обсуждение понятия
профессии и роли этого фактора в формировании заработной платы,
необходимо устранить возможную лингвистическую неясность. В русском
языке, и, соответственно, в нашей работе, профессия обычно
выступает в качестве синонима занятия. Недопонимание может
возникать из-за того, что в английском языке для обозначения профессии
и занятия используются два разных термина—profession
и occupation (хотя в обыденной речи они легко заменяют
друг друга). Соответственно в английском словоупотреблении не все
«занятия» оказываются «профессиями». Принципиальным, но не единственным
отличием «профессии» от «занятия» выступает обязательное требование
к работнику о наличии у него специального профессионального образования
или подготовки для выполнения соответствующих профессиональных задач
и обязанностей4.
В содержательном понимании того, что представляют собой
профессии, мы будем следовать методологическим установкам, заложенным
в международном классификаторе занятий (International Standard Classification
of Occupation — ISCO 88), используемом с минимальными различиями
во многих странах, в том числе и в России. Российским аналогом ISCO
является Общероссийский классификатор занятий (ОКЗ).
Статистической единицей классификатора является работа
или рабочее место — это набор задач и обязанностей, которые
можно закрепить за одним человеком. Профессия представляет собой
некое множество рабочих мест, которые характеризуются высокой степенью
схожести предполагаемых задач и обязанностей. Классификатор дифференцирует
профессии по такому параметру, как их квалификация, имеющему
два измерения — уровень и специализация. Уровень квалификации
зависит от сложности и разнообразия предполагаемых задач и обязанностей.
Он тесно связан с уровнем формального образования, необходимым для
работы по данной профессии5,
но зависит также и от навыков, приобретаемых на рабочем месте. В
свою очередь профессиональная специализация определяется либо на
основе предметной области, по которой требуются образование или
навыки, либо на основе используемого в процессе деятельности оборудования
или материалов, либо исходя из производимых товаров или предоставляемых
услуг6.
Таким образом, предполагается, что профессия представляет
собой набор задач и обязанностей, схожих по уровню сложности и области
специализации, который можно закрепить за одним человеком.
2.2. Экономика и социология профессий
Профессии представляют собой комплексное явление на
рынке труда, в экономике и обществе в целом. Неслучайно различные
аспекты этого явления изучаются как в экономической, так и социологической
науке. Социологический и экономический подходы в данном случае (и
как это часто бывает) тесно переплетаются и во многом дополняют
друг друга, но имеют и заметные отличия.
Прежде всего они различаются объектом анализа. Экономическая
теория (в частности экономика труда) не отдает предпочтения каким-либо
определенным профессиям, объектом изучения может быть любая из них
или же профессиональная структура занятости в целом. При таком подходе
профессия выступает обычно как синоним занятия. Социология (в частности
в рамках специализированной дисциплины — социологии профессий) традиционно
фокусирует внимание на представителях лишь некоторых занятий, относительно
более привилегированных и требующих специального образования или
подготовки7.
Другое различие между социологическим и экономическим
подходами к изучению профессий состоит в том, что обычно они фокусируют
внимание на разных аспектах этого явления. Для социологов интерес
представляют прежде всего их социальные характеристики, которые
включают социальный статус и престиж, значимость выполняемых функций
для общества, внутреннюю (суб)культуру, особенности стиля жизни,
а также взаимодействие между группами «профессионалов», государством
и другими социальными группами (выделяемыми по различным основаниям).
Для экономистов основной интерес представляют не профессии как таковые,
а то, как они взаимодействуют с другими традиционными для экономики
объектами изучения — неравенством, функционированием товарных рынков
и рынков труда, процессом формирования заработной платы, накоплением
и использованием человеческого капитала и т.д.8
Исходя из описанного выше разграничения можно сказать,
что мы анализируем профессии в русле экономического подхода. В его
фокусе находится не профессия сама по себе как определенный социальный
феномен, а роль профессионального разделения труда в формировании
неравенства по заработной плате. Однако такая постановка вопроса
сопряжена с известными методологическими трудностями.
2.3. Почему профессия имеет значение?
С точки зрения экономического анализа целесообразность
изучения роли профессий в формировании заработной платы является
далеко не очевидной. Если социология рассматривает профессиональную
принадлежность в качестве ключевого фактора, определяющего социальный
статус и уровень доходов индивида, воспринимает профессиональную
структуру общества как основу стратификации9
и как структуру возможностей для социальной мобильности10,
то экономическая теория, хотя открыто и не оспаривает эту точку
зрения, отводит профессиям достаточно скромную роль в процессе формирования
заработной платы и экономического неравенства в целом. Распределение
заработков по профессиям рассматривается скорее как побочный результат
действия более фундаментальных зарплатообразующих механизмов — таких
как механизм компенсирующих различий (включая компенсацию за издержки,
связанные с накоплением человеческого капитала) или механизм торга11.
Тем не менее в рамках экономических исследований можно
выделить несколько подходов, признающих важную роль профессий в
формировании заработной платы. Если в рамках базовой теории человеческого
капитала профессия действительно выступает некоторым «аппендиксом»
полученного образования и квалификации, то введение предпосылки
о гетерогенности человеческого капитала меняет ситуацию.
Изначально такая предпосылка вводилась для учета того, что разные
индивиды могут обладать неодинаковыми природными способностями для
работы в тех или иных конкретных видах деятельности12.
Это предполагает, что человеческий капитал необходимо делить не
только «по вертикали» — по объему накопленных знаний и навыков (по
времени обучения в системе образования и подготовки непосредственно
на рабочих местах или по продолжительности трудового опыта), но
также и «по горизонтали» — по специальностям, по которым проходило
обучение или накапливался опыт. Если однозначного ответа на вопрос
о том, что первичнее при принятии решения о получении (формального)
образования — выбор уровня образования или выбор образовательной
специальности (во многом предопределяющий выбор будущей профессии),
не существует, то в отношении человеческого капитала, приобретаемого
на рабочем месте, уже с большей определенностью можно сказать, что
значительная его часть является профессионально-специфической
(дополняя традиционное деление человеческого капитала на общий
и специфический). В ряде исследований профессии рассматриваются
как «фабрики» по производству профессионально-специфического
человеческого капитала, а не как место его «складирования»13.
Еще большее внимание со стороны экономистов «профессиональный
фактор» начал приобретать в конце прошлого века в связи с быстрым
научно-техническим прогрессом, ведущим к серьезным изменениям в
структуре спроса на труд. НТП повышает спрос на квалифицированную
рабочую силу, однако его воздействие оказывается избирательным.
Рост спроса происходит не по всему спектру высококвалифицированных
работников, а только по тем профессиям, которые являются комплементарными
по отношению к научно-техническому прогрессу (прежде всего к информационно-компьютерным
технологиям). Что же касается профессий, которые выступают по отношению
к нему как субституты (т.е. связанные с выполнением рутинных операций),
то спрос на них сокращается. При этом спрос на некоторые малоквалифицированные
виды труда может не уменьшаться или даже возрастать14.
В подобных условиях профессия выходит на передний план в дискуссиях
о росте неравенства, поскольку «профессии представляет собой ключевой
канал, через который технологические изменения влияют на структуру
заработных плат» (Firpo et al. 2009).
3. Описание используемых данных
3.1. Общая характеристика базы данных ОЗПП
Эмпирическую базу нашего анализа составляют данные Обследования
заработной платы по профессиям (ОЗПП) Росстата за 2007 г. Для наших
целей особое значение имеет то, что, во-первых, данные ОЗПП позволяют
анализировать заработные платы в разрезе профессиональных групп
на четырех уровнях агрегирования ОКЗ, включая самый дробный 4-й
уровень. Тот факт, что они получены из отчетности предприятий, значительно
ослабляет проблему неправильного или неточного отнесения работника
к той или иной профессии, которая обычно возникает при использовании
обследований индивидов или домохозяйств (см. (Hauser, Warren 1997))15.
Во-вторых, данные ОЗПП содержат информацию о многих других (помимо
профессиональной принадлежности) характеристиках работников и рабочих
мест, влияющих на заработные платы. Их перечень представлен в табл.
1.
Таблица 1. Доступные переменные базы данных ОЗПП
|
характеристики работников
|
краткое описание
|
|
Возраст
|
Измеряется в годах, от 15 до 85 лет
|
|
Пол
|
Мужчины и женщины
|
|
Уровень образования
|
Выделяются семь уровней образования: высшее профессиональное,
неполное высшее, среднее профессиональное, начальное профессиональное,
среднее (полное) общее, основное общее, начальное и без образования
|
|
Стаж работы
|
Общий трудовой стаж (в годах)
|
|
Профессия
|
Согласно ОКЗ, доступны четыре уровня агрегирования
|
|
Отработанное время
|
Продолжительность рабочей недели в октябре (в часах, количественная
переменная)
|
|
характеристики предприятий
|
краткое описание
|
|
Вид экономической деятельности
|
Согласно ОКВЭД15, доступны три уровня агрегирования
|
|
Форма собственности
|
Согласно ОКФС16, доступны два уровня агрегирования
|
|
Размер (численность занятых)
|
Выделяются шесть групп предприятий
|
В-третьих, данные ОЗПП содержат информацию о структуре
заработной платы. Вознаграждение работников — общая величина получаемой
заработной платы — разделяется на три компоненты: 1) тарифный заработок,
2) выплаты по районному регулированию и 3) прочие выплаты. Первая
компонента включает должностной оклад, а также все регулярные доплаты
и надбавки. Вторая включает все надбавки, формируемые в зависимости
от величины районного коэффициента. Третья компонента включает все
выплаты, носящие индивидуальный и нерегулярный характер, например
премии, оплата сверхурочной работы и т.д. (подробнее о составе этих
компонент см. (Заработная плата 2007, гл. 8)).
Информация о структуре заработной платы работников дает
представление о степени ее «гибкости». Мерой «гибкости» выступает
относительная величина нетарифной части заработной платы. Чем она
выше, тем в большей степени заработная плата зависит от финансовых
результатов деятельности предприятия. В случае занятости в государственном
секторе она показывает, в какой мере размер заработной платы зависит
от объема финансовых (не обязательно только бюджетных) ресурсов,
которые оказывается способна аккумулировать та или иная организация.
В отношении структуры заработных плат следует сделать
два важных замечания. Во-первых, многие выплаты, связанные с районным
регулированием заработной платы, устанавливаются не как абсолютные
величины, а как относительные — через региональный коэффициент (как
процент от начисленной заработной платы). Предприятия полностью
свободны в установлении размера заработной платы (но не ниже величины
МРОТ и при соблюдении регионального коэффициента), а потому абсолютная
величина надбавки может быть любой. Таким образом, абсолютный размер
данной компоненты полностью зависит от тарифной и премиальной составляющих
заработной платы. В связи с этим в нашей работе эта региональная
компонента распределяется между тарифной и премиальной составляющими
заработной платы пропорционально их относительным величинам.
Во-вторых, к анализу структуры заработной платы на основе
данных только за один месяц следует подходить с большой осторожностью.
Мы не знаем, в какой мере структура заработных плат за рассматриваемый
месяц отражает структуру заработков за весь год. С одной стороны,
у работников с нулевой премиальной частью в рассматриваемый месяц
она могла быть ненулевой в другие месяцы. С другой стороны, у работников,
в рассматриваемый месяц получивших премию, в другие месяцы она могла
быть нулевой. Таким образом, заработная плата, «гибкая» в рассматриваемом
месяце, вполне может оказаться достаточно «жесткой» в целом за год.
Еще одним недостатком данных ОЗПП для целей нашего анализа
является недопредставленность в них работников 11-й и 13-й подгрупп
ОКЗ («Руководители (представители) органов власти и управления»
и «Руководители малых предприятий и организаций»), 6-й укрупненной
группы ОКЗ («Квалифицированные работники сельского, лесного, охотничьего
хозяйств, рыбоводства и рыболовства») и 92-й подгруппы ОКЗ («Неквалифицированные
рабочие сельского, лесного, охотничьего хозяйств, рыбоводства и
рыболовства») (это связано с тем, что ОЗПП не охватывает такие отрасли,
как государственное управление и сельское хозяйство). Несмотря на
немногочисленность представителей этих групп, мы не исключаем их
из анализа, так как эти работники входят в состав других групп,
выделяемых по образовательному, отраслевому и иным признакам. Их
исключение было бы чревато еще более сильными смещениями.
3.2. Структура занятости внутри массовых профессий
Как было отмечено во Введении, при исследовании роли
профессионального разделения труда в формировании неравенства по
заработным платам мы отталкиваемся от так называемых «массовых»
профессий — узких профессиональных групп, в которых занято относительно
большое число работников. Всего мы выделяем 28 таких групп, полный
перечень которых представлен в табл. П1. На каждую из них приходится
не менее 1% всех наблюдений в выборке ОЗПП, а суммарно они составляют
почти 60% выборки. Это соответствует примерно 50% всех занятых на
крупных и средних предприятиях в охваченных обследованием секторах
экономики.
Прежде всего здесь возникает вопрос: работники с какими
характеристиками «наполняют» массовые профессии? в каких отраслях
и секторах концентрируются в основном их представители?16
В табл. П2 представлена образовательная структура выделенных
нами массовых профессий. Как и можно было ожидать, в профессиях,
относящихся к 1-му и 2-му укрупненным уровням ОКЗ, доминируют работники,
обладающие высшим профессиональным образованием. Здесь лидируют
профессии врачей и преподавателей вузов, для которых наличие высшего
образования является обязательным. Для медсестер, в отличие от врачей,
типичным является наличие среднего профессионального образования.
Среди бухгалтеров высшим образованием обладает только каждый второй.
Внутри остальных групп работники, обладающие высшим образованием,
не являются наиболее многочисленными, а на первый план выходят работники
либо со средним профессиональным (например, среди продавцов), либо
со средним общим (например, среди водителей автомобилей, горничных
и уборщиков) образованием.
Табл. П3 дает представление о структуре массовых профессий
по возрасту, стажу, полу и отраслям (секторам) экономики. По среднему
возрасту явным «лидером» выступает профессиональная группа, включающая
сторожей, гардеробщиков и лифтеров, где он превышает 51 год. Средний
возраст в ближайшей к ней группе уборщиков составляет уже менее
48 лет. Эти же группы лидируют по доле работников старше 60 лет.
Однако было бы ошибкой воспринимать всю 9-ю укрупненную группу по
ОКЗ (неквалифицированных работников) в качестве такой, где все или
большинство работников находятся в пожилом возрасте (а потому уже
не способны найти более высокооплачиваемую работу). Во-первых, как
видно из табл. П2, массовые профессии из 9-й группы явно проигрывают
по уровню «образованности» всем другим, что указывает на то, что
в нее отбираются преимущественно те, кто обладает относительно низким
уровнем образования. Во-вторых, не все неквалифицированные профессии
могут быть отнесены к категории «возрастных». Например, грузчики
и разнорабочие являются одной из наиболее «молодых» профессий (со
средним возрастом 38,5 лет и доле работников в возрасте 15—24 года
более 17%). Таким образом, внутри группы неквалифицированных работников
профессии сторожей, лифтеров, уборщиков составляют явный контраст
профессии грузчиков, неразличимый при анализе на укрупненном уровне.
Одни группы являются профессиями «входа» на рынок труда для молодежи,
другие являются профессиями, где завершается трудовая карьера. Среди
других профессий «входа» молодежи на рынок труда явно выделяются
продавцы и секретари, где наблюдается самый низкий средний возраст
и самая высокая доля занятых в возрасте 15—24 года. Рассмотрение
профессиональных групп на 4-м уровне ОКЗ позволяет также выделить
узкие профессии, являющиеся гендерно-однородными. Медсестры, воспитатели,
горничные, секретари, бухгалтеры, повара и продавцы — это более
чем в 90% случаев женщины. Отметим также, что в выборке ОЗПП доминирование
женщин наблюдается и в группе руководителей (их доля составляет
здесь почти 70% (!))17.
С другой стороны, среди водителей автомобилей, строителей-монтажников,
сварщиков, слесарей, станочников, а также работников служб, осуществляющих
защиту граждан и собственности, преобладают мужчины.
Вполне предсказуемо, что некоторые профессии встречаются
почти исключительно в государственном секторе — это учителя, воспитатели,
врачи, медсестры. В выборке ОЗПП к таким профессиям относятся также
и горничные, 92% которых заняты на государственных рабочих местах18.
Профессии, которые связаны почти исключительно с частным сектором,
— это продавцы, машинисты кранов, руководители подразделений (в
промышленности) и станочники.
Наконец, табл. П4 дает представление о структуре заработной
платы для всех «массовых» профессий, используя для этого три альтернативных
показателя — охват работников премиями; средняя доля премий в заработной
плате; отношение суммарной величины премиальных выплат к суммарной
величине всей заработной платы. Между этими индикаторами «гибкости»
заработной платы существует сильная корреляция, поэтому не имеет
принципиального значения, какой из них используется.
Интересно отметить, что по степени «гибкости» заработной
платы на первых местах идут «синие воротнички» — это слесари, станочники,
машинисты и сварщики. Лишь затем, на 5-м месте, появляется одна
из групп руководителей. Наименее «гибкой» заработная плата оказывается
в профессиях бюджетного сектора — у учителей и воспитателей. Тем
не менее между долей работников, занятых в государственном секторе,
и размером премиальной части для различных профессий наблюдается
лишь слабая отрицательная корреляция (-0,5).
Иными словами, степень принадлежности работников к государственному/частному
сектору не обязательно предполагает низкую/высокую долю премий.
Ярким примером выступает группа продавцов с наименьшей долей работников,
занятых на государственных предприятиях (около 5%), но находящаяся
при этом на последнем месте по охвату премиями — лишь 45% из них
на момент обследования получали премиальные выплаты. (Впрочем, как
отмечалось выше, необходимо соблюдать осторожность при интерпретации
этих результатов, так как мы обладаем информацией о структуре заработной
платы только за один месяц.)
4. Профессии и неравенство в оплате труда
В данном разделе мы пытаемся ответить на следующий вопрос:
каков вклад профессионального разделения труда в наблюдаемое неравенство
по заработной плате? В ряде предшествующих работ такие оценки уже
предлагались (см., например, (Лукьянова 2007)), но при этом в качестве
профессий выступали лишь девять укрупненных профессионально-квалификационных
групп, выделяемых на 1-м уровне ОКЗ. Мы же проводим анализ на всех
четырех уровнях ОКЗ.
4.1. Декомпозиция неравенства по заработным платам
В работах, посвященных экономическому неравенству, принято
различать две широкие группы возможных причин его существования.
Во-первых, это деление общества на различные социальные группы.
Такие группы могут выделяться по разным признакам, и если оказывается,
что они получают неодинаковые доходы, то это влияет на общее неравенство.
Во-вторых, это наличие различных источников доходов. В таком случае
общее неравенство формируется за счет неравенства в получении доходов
разного типа. Этому соответствуют два альтернативных подхода к декомпозиции
неравенства.
Декомпозиция по подгруппам населения. Для ответа
на вопрос, в какой мере разделение общества на группы по какому-либо
признаку формирует неравенство по заработной плате, удобно предполагать,
что оно складывается из двух частей. Первая связана с различиями
в средних уровнях заработной платы между выделяемыми группами. Вторая
связана с тем, что существуют различия в заработных платах также
и внутри выделяемых групп. Исходя из этого и строится стандартная
декомпозиция неравенства по подгруппам населения на две компоненты
— межгрупповое (between) и внутригрупповое (within, сумма внутригрупповых)
неравенство (Shorrocks 1984). При этом доля первой компоненты в
общем неравенстве принимается в качестве оценки вклада соответствующего
фактора в неравенство.
Среди реализаций этого подхода на практике можно выделить
«простую» декомпозицию индексов неравенства и декомпозицию, основанную
на оценивании уравнения заработной платы. Эти методы были уже апробированы
ранее в ряде отечественных исследований (см., например (Лукьянова
2007; Ощепков 2009) и др.) и используются также в настоящей работе.
Мы сравниваем вклад в неравенство профессий, выделяемых на разных
уровнях агрегирования ОКЗ, с вкладами других традиционно выделяемых
факторов.
Декомпозиция по источникам доходов. Не менее
важным представляется вопрос о том, в какой мере разные компоненты
доходов (в нашем случае — компоненты заработной платы) формируют
общее неравенство. В этом случае предположение состоит в том, что
неравенство (измеряемое неким индексом) можно разделить на части,
каждая из которых будет соответствовать определенной компоненте
(Shorrocks 1982). Более подробно методология этой декомпозиции и
соответствующие результаты будут представлены в разделе 5.
4.1.1. «Простая»
декомпозиция неравенства по подгруппам населения
При проведении «простой» декомпозиции неравенства по
заработной плате по подгруппам населения мы следуем методологии,
предложенной в работе Ф. Коуэлла и С. Дженкинса (Cowell, Jenkins,
1995), где в качестве показателей неравенства используется семейство
показателей энтропии, обладающие полезными свойствами и удобных
для декомпозиции19.
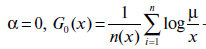
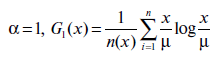
Семейство показателей энтропии задается формулой:

где x — вектор, задающий распределение заработных
плат; n — количество индивидов; ц — средняя зарплата. Параметр
а характеризует чувствительность индекса к изменениям в распределении
заработных плат в определенной его части. Так, чем больше а превышает
1, тем больший вес будет придаваться заработным платам, лежащим
выше среднего уровня. Чем меньше а ноля, тем больший вес придается
заработным платам, лежащим ниже среднего уровня.
В случаях, когда а = 1 или а = 0, выражение
(*) выглядит следующим образом:
индекс
Тейла;

— индекс Герфиндаля — Хиршмана, или среднее логарифмическое
отклонение. Отметим также, что при а = 2 энтропийный индекс
GE(2) представляет собой половину квадрата коэффициента вариации
— другого широко используемого индекса неравенства.
Далее можно определить, какую часть показателя неравенства,
задающегося уравнением (*), объясняет некоторая характеристика.
Другими словами, какая часть неравенства существует из-за того,
что общество разделено на группы по этой характеристике. Общее неравенство
в заработках можно разложить на две компоненты — «between» (межгрупповое
неравенство) и «within» (внутригрупповое неравенство):

Первая компонента — «between» — представляет собой меру
неравенства в распределении среднегрупповых заработных плат. Она
строится на основе предпосылки о том, что внутри каждой группы все
заработные платы равны групповой средней. Предполагается, что компонента
«between» характеризует часть неравенства, объясняемого данной характеристикой
(по которой группы выделяются). Компонента «within», состоящая из
взвешенной суммы неравенств внутри каждой подгруппы, характеризует
ту часть неравенства, которая не может быть объяснена данной характеристикой:

где \ibelween — вектор средних заработных
плат s групп индивидов, задающихся определенным признаком;
us — доля s-й группы в численности занятого населения;
us — доля общего объема заработной платы, которую
получает группа s. Таким образом, доля общего неравенства, объясняемая
принадлежностью индивидов к определенным группам, это
,
что должно совпадать с

Результаты простой декомпозиции энтропийных индексов
неравенства по заработным платам представлены в табл. 2.
Таблица 2. «Простая» декомпозиция неравенства по заработным
платам, вклад отдельных характеристик в общее неравенство,%, ОЗПП,
2007 г
|
вклад в неравенство (компонента «between»)
|
Число групп
|
GE(-1)
|
GE(0)
|
GE(1)
|
GE(2)
|
|
Профессия, 1-й уровень ОКЗ
|
9
|
19,73
|
22,16
|
19,71
|
11,28
|
|
Профессия, 2-й уровень ОКЗ
|
32
|
22,68
|
25,58
|
22,79
|
13,01
|
|
Профессия, 3-й уровень ОКЗ
|
124
|
25,93
|
29,06
|
25,77
|
14,67
|
|
Профессия, 4-й уровень ОКЗ
|
386
|
30,61
|
33,47
|
29,69
|
17,30
|
|
Вид экономической деятельности (3-й уровень ОКВЭД)
|
47
|
11.24
|
13.97
|
13.32
|
7.98
|
|
Образование
|
6
|
7,36
|
9,58
|
9,39
|
5,65
|
|
Пол
|
2
|
5,68
|
7,09
|
6,64
|
3,79
|
|
Форма собственности (государственная/частная)
|
2
|
3,76
|
4,66
|
4,31
|
2,43
|
|
Форма собственности
|
22
|
9,73
|
11,55
|
10,51
|
6,00
|
|
Стаж
|
8
|
0,62
|
0,74
|
0,67
|
0,37
|
|
Возраст
|
8
|
0,65
|
0,77
|
0,67
|
0,37
|
|
Регион
|
79
|
14,62
|
18,60
|
18,39
|
11,54
|
|
Размер предприятия (численность занятых)
|
5
|
3,58
|
4,36
|
3,99
|
2,23
|
Из табл. 2 следует, что профессиональное разделение
труда вносит весьма заметный вклад в общее неравенство по заработной
плате. Даже на наиболее укрупненном, 1-м уровне ОКЗ, на котором
выделяется всего лишь девять профессиональных групп, вклад этого
фактора является максимальным в сравнении с вкладами других факторов.
Важно отметить, что, во-первых, он превышает вклад регионального
фактора. Этот результат отличается от результатов аналогичной декомпозиции,
полученных в других исследованиях на микроданных РМЭЗ и НОБУС, в
которых максимальный вклад вносил именно региональный фактор20.
(Возможно, это связано с особенностями выборки ОЗПП: исключение
определенных видов экономической деятельности, а также малых предприятий
ведет к сокращению межрегиональной вариации в заработной плате.)
Во-вторых, влияние профессионального разделения труда на неравенство
оказывается сильнее, чем влияние отраслевого деления. Заметим, что
это верно даже в случае, когда в качестве профессий принимаются
девять укрупненных профессиональных групп, а в качестве отраслей
— 47 групп на 3-м уровне ОКВЭД. При этом, как и следовало ожидать,
при переходе к более дробной классификации профессий вклад профессиональной
принадлежности работников только растет.
4.1.2. Декомпозиция неравенства на основе уравнения
заработной платы
«Простая» декомпозиция неравенства в заработках по подгруппам
работников не учитывает столь важный факт, что вклад, относимый
на счет того или иного фактора (компонента «between»), включает
в себя влияние других факторов. Это происходит потому, что различия
в средних уровнях заработной платы между группами работников, выделенных
по интересующей нас характеристике, зависят от наполнения этих групп.
Для оценки «чистого» вклада интересующего нас фактора в неравенство
(т.е. вклада, очищенного от влияния прочих факторов) может использоваться
другой метод декомпозиции, проводимый на основе оценки уравнения
заработной платы.
Данный метод основан на том, что каждая группа регрессоров
уравнения заработной платы объясняет определенную часть дисперсии
логарифма заработной платы, что является аналогом компоненты «between»
при описанном выше методе простой декомпозиции. Аналогично простой
декомпозиции мы каждый раз можем раскрывать компоненту «within»,
добавляя в модель новые регрессоры. В конечном счете общая дисперсия
заработной платы будет раскладываться на объясненную часть («between»),
состоящую из частей, объясняемых каждым фактором, и на остаток («within»).
Можно выделить два способа оценки вклада различных факторов
в неравенство на основе эконометрической оценки уравнения заработной
платы. Во-первых, можно использовать увеличение объясняющей силы
модели (увеличение adjusted R2) при включении объясняющих
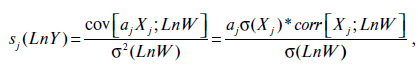
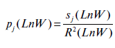
переменных в регрессию. Во-вторых, можно использовать метод, предложенный
Г. Филдсом (Fields 2000). В этом случае доля дисперсии логарифма
заработной платы, объясненная фактором j, представляется
как

где aj — оценка коэффициента в уравнении
при j-м факторе; а — стандартное отклонение. Соответственно,
доля фактора j в объясненной дисперсии представляется как

где R2 — доля всей объясненной дисперсии.
Следует отметить, что при декомпозиции, основанной на
регрессии, по умолчанию происходит декомпозиция дисперсии логарифма
заработной платы. Дисперсия не очень хороша в качестве индекса неравенства
и редко используется для измерения и декомпозиции неравенства. Одна
из причин состоит в том, что величина неравенства в данном случае
оказывается зависимой от уровня доходов или заработных плат
(т.е. оказывается зависимой от среднего уровня доходов, англ.
— mean dependent). Однако для сопоставления результатов двух
способов декомпозиции мы проводим «простую» декомпозицию также и
для дисперсии логарифма заработных плат.
Результаты декомпозиции неравенства по заработной плате
на основе оценивания уравнения заработной платы (по методу Филдса)
представлены в табл. 3.
Таблица 3. Декомпозиция неравенства по заработной
плате по методу Филдса, % объясненного неравенства
|
Фактор неравенства
|
Число групп
|
Объясненная доля неравенства, %
|
|
2007 г.
|
2005 г.
|
|
Пол
|
2
|
4,0
|
4
|
|
Стаж
|
8
|
0,4
|
1
|
|
Образование
|
6
|
4,8
|
4
|
|
Форма собственности
|
2
|
1,9
|
4
|
|
Вид экономической деятельности
|
12
|
7,2
|
8
|
|
Размер предприятия
|
5
|
3,3
|
Н. д.
|
|
Регион (субъект Федерации)
|
79
|
10,8
|
15
|
|
Часы работы
|
—
|
0,7
|
н/а
|
|
Профессия, 1-й уровень ОКЗ
|
9
|
18,9
|
13
|
|
Необъясненное неравенство
|
|
48
|
52
|
Примечание. Расчеты за 2005 г. взяты из работы (Заработная
плата в России 2007, гл. 8).
Несмотря на то, что при таком подходе удается объяснить
лишь чуть более половины дисперсии (логарифмов) индивидуальных заработных
плат, наш качественный вывод относительно влияния профессионального
разделения занятости на неравенство не меняется. Этот фактор вносит
в неравенство максимальный вклад, величина которого будет только
расти с переходом на более дробный уровень агрегирования профессий.
Аналогичная методика декомпозиции неравенства по заработным платам
применялась в (Заработная плата в России 2007, гл. 7) на данных
ОЗПП за 2005 г. Результаты за 2005 и 2007 г. оказываются схожими
за исключением небольших различий в общей объясняющей способности
используемой спецификации уравнения заработной платы, а также в
величинах вкладов регионального и профессионального факторов. Сопоставление
результатов показывает, что за период с 2005 по 2007 г. вклад профессий
в неравенство вырос (с 13% до почти 19%), а вклад регионального
фактора сократился (с 15% до примерно 11%)21.
Таким образом, наш промежуточный вывод заключается в
том, что в российских условиях профессиональное разделение труда
вносит существенный вклад в неравенство по заработной плате. Даже
«чистый» вклад этого фактора сопоставим, а возможно, и превышает
вклад регионального и, тем более, отраслевого фактора (ранжирование
факторов зависит от того, какие данные используются).
Другими словами, различия в средних уровнях оплаты труда
между профессиями вносят больший вклад в неравенство, чем различия
в средних уровнях оплаты труда между любыми другими группами занятых.
Возникает закономерный вопрос, с чем связаны эти различия в средних
уровнях оплаты труда между профессиями? Поиску ответов на этот вопрос
посвящен следующий раздел.
5. Межпрофессиональные различия в оплате труда
Надо сказать, что интерес к анализу межпрофессиональных
различий в заработной плате возникает не только в связи с изучением
общего неравенства. Профессиональная структура заработных плат служит
источником важной информации при принятии решений о выборе (получении
новой или изменении старой) профессии. Она также — прямо или косвенно
— оказывает влияние на выбор образовательной специализации и уровня
получаемого образования. Неслучайно разнообразные рейтинги профессий
(которые обычно основываются либо на результатах опросов населения,
либо на анализе информации о вакансиях и резюме) являются весьма
популярной темой в СМИ, а активность в публикации этих рейтингов
заметно возрастает к началу учебного года. Это указывает на большой
общественный интерес к данному вопросу. Однако в отечественных научных
исследованиях профессиональная структура заработных плат ранее практически
не изучалась, так как для ответа на него необходимы достоверные
и репрезентативные данные об оплате труда представителей различных
профессий22.
Данные ОЗПП предоставляют такую возможность, поскольку
(несмотря на ряд ограничений — см. подраздел 2.1) позволяют анализировать
достаточно узкие и однородные профессиональные группы, выделяемые
на 3-м и 4-м уровнях ОКЗ. Среди них, как уже отмечалось, особое
внимание мы уделяем «массовым» профессиям, охватывающим значительную
доля занятых.
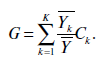
Средние уровни оплаты труда для двадцати восьми таких
групп, выделенных на 4-м и частично на 3-м уровне ОКЗ, представлены
в табл. П5. Профессии проранжированы по убыванию этого показателя.
Как можно было ожидать, на самой верхней ступеньке «лестницы» заработных
плат находятся руководители, а на самой нижней — такие группы как
горничные, уборщики и сторожа. Средний уровень оплаты труда в группе,
занимающей первое место, примерно в 6 раз выше, чем в группе, занимающей
последнее место. Однако расположение профессий между крайними «ступеньками»
выглядит весьма неожиданно.
Представители группы специалистов высшего уровня квалификации
— архитекторы и инженеры, врачи, бухгалтеры и преподаватели вузов
— чередуются с «синими воротничками», представителями 7-йи 8-й укрупненных
групп ОКЗ — сварщиками и газорезчиками, машинистами подъемников,
станочниками, слесарями, водителями автомобилей и строителями. Это
полностью соответствует результатам выполненного ранее анализа профессиональной
структуры заработных плат на 1-м (самом укрупненном) уровне ОКЗ
на данных ОЗПП за 2005 г. (Заработная плата в России 2007, гл. 8).
Наш анализ, использующий более дезагрегированную информацию, подтверждает
высказанное в этой работе мнение, что на российском рынке труда
связь между профессиональной квалификацией и оплатой нарушена, и
позволяет привести ряд других ярких примеров этого. Так, среди специалистов
высшего уровня квалификации наиболее низкий уровень оплаты труда
наблюдается у учителей. Они зарабатывают заметно меньше, чем, например,
водители автомобилей, работа которых не требует нескольких лет профессионального
обучения в вузе. Другой пример: секретари, воспитатели и повара
получают в среднем значительно меньше, чем кладовщики и грузчики
— представители группы неквалифицированных рабочих, которым не требуется
практически никакого обучения и квалификации для выполнения своих
обязанностей.
Если профессиональная структура заработков отражает
структуру возможностей для мобильности по оплате труда и/или социальной
мобильности, то тогда, например, привлекательной возможностью для
преподавателей вузов оказывается переход в группу водителей автомобилей.
Для учителей школ такой переход, увеличивающий уровень оплаты труда
почти в 1,5 раза (!), явился бы настоящим «скачком» в доходах, даже
при наличии издержек межпрофессиональной мобильности. Все эти примеры
указывают, что существующая профессиональная структура заработков
может заставлять индивидов сомневаться в ценности образования и
квалификации еще на стадии принятия решения об их получении.
Почему в России существует именно такая структура профессиональных
заработных плат? Чтобы ответить на этот вопрос, мы оценивали, в
какой мере различия в «наполнении» профессиональных групп, т.е.
различия в их внутренней структуре занятости, способны объяснить
наблюдаемые межпрофессиональные различия в уровнях оплаты труда.
Влияние всех этих структурных факторов мы будем называть эффектом
структуры. При этом анализировалось, в какой мере отдельные
компоненты структуры участвуют в формировании как межпрофессиональных
различий в целом, так и зарплатных «премий» по отдельным профессиям.
Все различия в средних уровнях оплаты труда, остающиеся после учета
эффекта структуры, мы связываем с влиянием определенных профессионально-специфических
факторов и называем это влияние эффектом профессии.
Отметим, что соотношение между этими двумя эффектами
в известной степени может служить аргументом в пользу предпочтительности
либо экономического, либо социологического взгляда на роль профессий
в формировании заработной платы. С одной стороны, доминирование
эффекта структуры будет означать, что профессии почти не играют
самостоятельной роли в формировании заработной платы, а различия
в уровнях оплаты труда между профессиональными группами вызываются
различиями в их внутренней структуре, т.е. какими-то иными факторами.
Такой результат будет больше соответствовать традиционному экономическому
взгляду на проблему. С другой стороны, доминирование эффекта профессии
будет означать, что профессии играют большую роль в определении
заработной платы, и сам факт принадлежности индивида к той или иной
профессиональной группе почти полностью предопределяет уровень его
трудового дохода. Такой результат будет больше соответствовать традиционному
социологическому взгляду на проблему.
5.1. Методология анализа межпрофессиональных различий
в оплате труда
В рамках используемой нами методологии межпрофессиональные
различия в заработках представляются в виде набора отклонений средних
уровней заработной платы для каждой из профессиональных групп от
среднего уровня заработной платы в целом по стране. Эти отклонения
представляют собой профессиональные зарплатные «премии», которые
могут быть как положительными, так и отрицательными. Чтобы ответить
на вопрос, в какой мере разные факторы могут объяснить наличие подобных
«премий», а также в какой мере эти факторы могут объяснить общий
масштаб межпрофессиональных различий, мы оцениваем уравнение заработной
платы следующего вида23:
где Wagei,j — (индивидуальная) заработная
плата работника i из профессии j; X — набор характеристик
работников и работодателей (не включающий индикатор профессиональной
принадлежности); А — глобальная константа; B — набор
коэффициентов при соответствующих характеристиках работников и работодателей;
е — ошибка, отражающая влияние на индивидуальную заработную плату
всех неучтенных в уравнении факторов.
Остатки регрессии (1), усредненные по каждой профессиональной
группе, характеризуют величину отклонения средней (логарифма) заработной
платы в данной профессиональной группе от средней (логарифма) заработной
платы по стране в целом, не объясняемого включенными в регрессию
факторами24. Это
и есть профессиональные зарплатные «премии». Таким образом, мы можем
анализировать, в какой мере выбранные факторы — различные характеристики
работников и работодателей внутри профессий — могут объяснить как
наличие (положительных или отрицательных) зарплатных «премий» для
отдельных профессий, так и межпрофессиональные различия в заработной
плате в целом25.
Другими словами, включение в уравнение (1) набора Х позволяет контролировать
и оценивать эффект структуры. При этом «схватывается» влияние сразу
обеих составляющих этого эффекта — неравномерного распределения
по профессиям работников различных групп и различий в уровнях оплаты
труда между этими группами. Предполагается, что все профессиональные
«премии», оставшиеся после учета эффекта структуры, вызваны действием
определенных профессионально-специфических факторов, т.е. вызваны
эффектом профессии.
5.2. Соотношение между эффектом структуры и эффектом
профессии
Общие результаты анализа профессиональной структуры
заработных плат на трех26
уровнях агрегирования профессиональных групп представлены в табл.
4.
Таблица 4. Вклад структурных характеристик в объяснение
межпрофессиональных различий в оплате труда на разных уровнях ОКЗ
(в % от наблюдаемых различий)
|
|
Число выделяемых групп
|
Уровни ОКЗ (число проф. групп)
|
|
1 (9)
|
2 (32)
|
3 (124)
|
|
Уровень межпрофессионального неравенства (WSD)
|
|
0,385
|
0,394
|
0,417
|
|
Эффект структуры в целом
|
|
54,18%
|
54,25%
|
53,65%
|
|
Образование
|
6
|
44,62%
|
42,01%
|
39,49%
|
|
Вид деятельности
|
47
|
16,62%
|
13,74%
|
16,41%
|
|
Пол
|
2
|
11,06%
|
12,25%
|
11,29%
|
|
Стаж
|
Колич. переменная
|
4,78%
|
5,05%
|
5,57%
|
|
Регион
|
79
|
4,67%
|
3,75%
|
4,40%
|
|
Размер предприятия
|
5
|
3,97%
|
3,40%
|
4,04%
|
|
Форма собственности
|
2
|
1,49%
|
1,65%
|
2,60%
|
|
Часы работы
|
Колич. переменная
|
0,59%
|
0,08%
|
0,79%
|
|
Эффект профессии*
|
|
45,82%
|
45,75%
|
46,35%
|
*Эффект профессии измеряется как остаточное неравенство после
учета эффекта структуры.
Масштаб различий в оплате труда между профессиями хотя
и увеличивается при переходе к более дробным профессиональным группам,
но незначительно: величина индикатора неравенства возрастает с 0,385
до 0,417. Оказывается, таким образом, что вклад эффекта профессии
практически не зависит от уровня агрегирования профессий. Как на
самом агрегированном уровне ОКЗ, на котором выделяются только девять
профессиональных групп, так и на гораздо более дезагрегированном
уровне, на котором выделяются 124 профессиональные группы, вклад
эффекта профессии примерно одинаков и составляет немногим менее
половины наблюдаемых различий.
Мы могли ожидать, что с переходом на более дробный уровень
величина эффекта профессии должна возрастать, так как профессионально-специфические
факторы должны проявляться отчетливее в более узких профессиональных
группах. Однако с переходом к более узким профессиональным группам
отдельные компоненты структуры занятости также начинают оказывать
все большее влияние на уровень оплаты труда (например, растет концентрация
работников с определенным уровнем образования и/или в определенных
видах деятельности). В результате баланс между эффектом структуры
и эффектом профессии практически сохраняется.
Выполненный анализ позволяет также судить о том, какие
из структурных факторов сильнее влияют на межпрофессиональные различия
в заработной плате. Оказывается, что иерархия этих факторов не зависит
от уровня агрегирования профессиональных групп. Наибольшее влияние
на межпрофессональное неравенство в заработной плате оказывает неравномерное
распределение по профессиональным группам работников с разным уровнем
образования. Фактор образования, будучи добавленным в уравнение
заработной платы, берет на себя «львиную долю» всего эффекта структуры.
Можно, однако, заметить, что его влияние несколько сокращается при
переходе к более узким профессиональным группам. Это можно объяснить
тем, что если на укрупненном уровне ОКЗ девять профессиональных
групп четко разделяются по уровню образования на четыре квалификационные
группы, то на более низких уровнях агрегирования анализ происходит
уже внутри этих укрупненных групп, работники которых в меньшей степени
различаются по уровню образования, что снижает его роль.
На втором месте и с большим отрывом от первого идет
неравномерное распределение профессий по видам деятельности (выделенных
на 3-м уровне ОКВЭД). Достаточно сильное влияние неоднородности
отраслевой структуры профессий на профессиональную структуру заработных
плат может объясняться взаимодействием двух факторов: неравномерностью
распределения профессий по отраслям и сильными межотраслевыми различиями
в оплате труда (причины этих различий для российского рынка труда
практически не исследованы, см. (Лукьянова 2010)).
На третьем месте гендерный фактор, опережающий такие
факторы, как общий стаж работы, регион, размер и форму собственности
предприятия, а также отработанное время. Это связано с тем, что
даже на самом агрегированном уровне ОКЗ большинство профессиональных
групп не являются гендерно-нейтральными по своей структуре; тем
более это верно в отношении более узких профессиональных групп (см.
табл. П3 в Приложении).
Таким образом, результаты декомпозиции межпрофессиональных
различий в уровнях заработной платы свидетельствуют о том, что примерно
половина этих различий вызвана различиями во внутренней структуре
занятости по профессиям. Это верно для всех уровней агрегирования
профессиональных групп. Но не следует забывать, что в применяемой
нами декомпозиции межпрофессиональных различий в оплате труда на
две компоненты, вызванные эффектом структуры и эффектом профессии,
существует известная условность. Дело в том, что структура занятости
внутри профессиональных групп может быть во многом вызвана спецификой
самих профессий. Например, все занятые по профессиям второй укрупненной
группы ОКЗ (специалисты высшего уровня квалификации) «по определению»
должны иметь высшее образование. Другой пример: некоторые профессии,
опять же в силу своей специфики, встречаются почти исключительно
в государственном секторе экономики или же только в определенных
видах экономической детальности. Непонятно, где в таком случае следует
проводить границу между эффектом структуры и эффектом профессии.
И так как внутренняя структура занятости профессий в определенной
степени детерминируется самими профессиями, мы считаем, что представленная
декомпозиция скорее занижает, чем завышает влияние эффекта профессии
на межпрофессиональные различия в заработных платах. Далее мы рассмотрим
соотношение между эффектом структуры и эффектом профессии отдельно
для каждой из выделенных массовых профессий и подробно обсудим,
какие факторы могут формировать эффект профессии.
5.3. Почему одни профессии оплачиваются выше других?
Результаты аналогичной декомпозиции, но уже по отдельным
массовым профессиям представлены в табл. П6 (см. Приложение). В
колонке «Начальная» представлены профессиональные премии, рассчитанные
как наблюдаемые отклонения средних уровней (логарифмов) заработной
платы по каждой профессиональной группе от средней (логарифма) заработной
платы в стране. Если средняя заработная плата в некоторой профессии
выше (ниже) среднего уровня оплаты труда в стране в целом, то в
данной профессии существует положительная (отрицательная) премия,
и она отражается со знаком «+» («—»). (Если проранжировать «премии»,
представленные в колонке «Начальная», то относительное положение
профессий будет полностью соответствовать их расположению по уровню
средней заработной платы в табл. П6 в Приложении). В колонке «Скорректированная»
приведены профессиональные премии, которые остаются после учета
всех выделяемых нами факторов структуры.
Можно заметить, что после учета эффекта структуры абсолютная
величина премий почти во всех профессиональных группах уменьшается
(это, в частности, и приводит к тому, что, как было показано, общий
масштаб различий сокращается более чем на 50%). Рис. П1 (см. Приложение)
показывает, как меняется профиль профессиональных «премий» после
корректировки на различия в структуре. После такой корректировки
они начинают в большей мере соответствовать квалификационной иерархии
(качественно похожий результат для профессиональных групп, выделяемых
на укрупненном уровне ОКЗ, был получен ранее в работе (Заработная
плата в России 2007, гл. 8)).
Колонка табл. П6 «Вклад структурных факторов» показывает,
какое общее влияние оказывает эффект структуры на «премии» в отдельных
массовых профессиях. Структура занятости внутри профессии может
быть благоприятной — тогда она будет положительно влиять на средний
уровень оплаты труда, или же неблагоприятной — тогда она будет оказывать
на него отрицательное влияние. Ранжирование массовых профессий по
величине вклада структурных факторов показывает, что больше всего
от их негативного влияния «страдают» профессии бюджетного сектора
— учителя, медсестры и воспитатели. Можно утверждать, что в этих
профессиях именно эффект структуры приводит к тому, что зарплатная
«премия» оказывается отрицательной. Однако принадлежность к государственному
сектору не обязательно имеет решающее значение. Например, для врачей
внутренняя структура занятости оказывается благоприятной, объясняя
более половины положительной «премии». Наиболее благоприятной внутренней
структурой занятости отличаются профессии, осуществляющие защиту
прав и собственности, а также строители, архитекторы и инженеры.
Для последних эффект структуры практически полностью объясняет высокую
профессиональную «премию».
Сравним в контексте выполненной декомпозиции положение
учителей и водителей. Отрицательная зарплатная премия учителей полностью
вызвана негативным эффектом структуры, и его учет превращает зарплатную
«премию» учителей из отрицательной в положительную. Два ключевых
элемента эффекта структуры, вносящих негативный вклад, — это вид
деятельности (отрасль) и отработанное время. Наиболее важным позитивным
фактором является образование. Для водителей, в противоположность
учителям, эффект структуры является положительным и составляет примерно
60% положительной зарплатной «премии». Среди факторов, оказывающих
позитивное влияние, наиболее важным является гендер. Фактором, оказывающим
наибольшее отрицательное влияние, оказывается образование.
Значительный интерес представляет не только знак «эффекта
структуры», но и его величина. Если для некоторой профессии «эффект
структуры» является доминирующим, то это означает, что принадлежность
к ней сама по себе не предопределяет получения соответствующего
(высокого или низкого) уровня вознаграждения. Все дело оказывается
в характеристиках работников или рабочих мест, составляющих профессию,
но не в профессии как таковой. Примером таких профессий могут служить
как уже упомянутые учителя, медсестры, воспитатели и инженеры, так
и продавцы, строители и слесари. Но в то же время в случае некоторых
других профессий — таких как руководители предприятий, преподаватели
вузов, операторы, аппаратчики — внутренняя структура занятости играет
достаточно слабую роль. В них, а также в ряде других профессий абсолютная
и относительная величина зарплатной «премии», остающейся после учета
всех структурных факторов, оказывается высокой. В следующем подразделе
мы обсудим, что может скрываться за этим остатком.
5.4. Что содержится в эффекте профессии?
Как уже отмечалось, под «эффектом профессии» мы понимаем
различия в средних уровнях оплаты труда, вызванные действием профессионально-специфических
факторов при прочих равных условиях. Поскольку этот эффект определяется
по остаточному принципу, то, несмотря на то, что мы контролируем
достаточно широкий набор характеристик (среди них образование, общий
трудовой стаж, отработанное время, вид деятельности (на 3-м уровне
ОКВЭД), форма собственности и размер предприятия, а также регион),
он может отражать влияние каких-то иных обстоятельств, не учтенных
нами. В качестве первых кандидатов на эту роль можно, например,
упомянуть 1) неденежные характеристики рабочих мест; 2) прибыльность
предприятий; 3) специальный стаж работников; 4) размер населенного
пункта. Ниже мы обсудим, как учет этих ненаблюдаемых факторов мог
бы повлиять на наши результаты.
Выполнение обязанностей в рамках одних профессий может
быть связано как с большим риском для здоровья и жизни работника,
так и просто с работой в менее комфортных условиях, чем в рамках
других профессий. Поэтому в профессиях, где «плохие» условия труда
распространены в относительно большей степени, следует ожидать,
при прочих равных, относительно более высокого уровня оплаты труда.
Хотя при декомпозиции мы учитываем вид экономической деятельности
на достаточно дробном (3-м) уровне ОКВЭД, этого все же недостаточно
для полного контроля действия компенсирующего механизма, так что
компенсирующая надбавка в определенной мере может присутствовать
в остаточных зарплатных «премиях». Следует ожидать, что в большей
степени она должна содержаться в «премиях» «синих воротничков» —
машинистов кранов и подъемников, станочников, сварщиков и газорезчиков.
Очевидно, что их деятельность намного чаще оказывается связанной
с вредными или опасными условиями труда, чем деятельность «белых
воротничков», обычно работающих в чистом и безопасном офисе. Это
согласуется с нашими результатами — остаточная профессиональная
«премия» для многих профессий «синих воротничков» действительно
является положительной (см. табл. П6).
Согласно предсказаниям теории компенсирующих различий,
дополнительный учет неденежных характеристик рабочих мест мог бы
повлиять на размер остаточной профессиональной зарплатной премии
также и для профессий бюджетной сферы — преподавателей, учителей,
врачей, медсестер, воспитателей. Как известно, занятость в бюджетном
секторе обладает рядом преимуществ по сравнению с частным сектором.
В бюджетном секторе в большей мере распространены оплата отпусков
и больничных листов, отпуска являются более длительными, стандартная
рабочая неделя короче, занятость более стабильна (см. (Заработная
плата в России 2007, гл. 4)). Хотя многие эти факторы автоматически
учитываются через учет формы собственности, вида деятельности и
часов работы, опять же этого может быть недостаточно. Например,
преимущество бюджетного сектора в отработанном времени заметно
возрастет, если учесть рабочее время не за месяц, как в наших расчетах,
а за год. Мы ожидаем, что полный учет благоприятных неденежных факторов
несколько повысил бы положительные остаточные зарплатные «премии»
в профессиях бюджетной сферы.
Одной из особенностей функционирования российского рынка
труда является то, что финансово-экономические результаты деятельности
предприятий оказывают сильное влияние на размер заработных плат
(Заработная плата в России 2007, гл. 2). У нас нет оснований ожидать,
что существуют сильные различия в распределении представителей различных
профессий по предприятиям с различным уровнем прибыльности. Однако,
во-первых, механизм разделения ренты (или механизм разделения риска)
в одних профессиях может быть распространен больше, чем в других.
Во-вторых, в одних профессиях доля переменной части (зависящей от
результатов деятельности компаний) в общей величине получаемой заработной
платы может быть выше, чем в других. Таким образом, различия в прибыльности
компаний могут влиять на профессиональные «премии». Так как мы рассматриваем
данные за 2007 г., который был экономически благоприятным для многих
предприятий, то высокая доля переменной части должна сочетаться
с более высокой оплатой труда. (В кризисный год могла наблюдаться
обратная связь.) Наши оценки показывают, что величина остаточной
«премии» действительно положительно коррелирована с долей работников
внутри профессий, получающих премии, а также со средней долей переменной
части в общей заработной плате, однако эти корреляции статистически
незначимы.
Что касается специального стажа работников, то вклад
этого фактора в неравенство является незначительным (см., например,
(Мальцева 2009)). Тем не менее в определенных профессиях он все
может играть важную роль. Поскольку данные ОЗПП за 2007 г. не содержат
информацию о специальном стаже, то в качестве косвенной оценки значимости
этого фактора для выделяемых массовых профессиональных групп мы
используем оценку вклада общего трудового стажа. Расчет показывает,
что максимальный вклад трудового стажа (для группы учителей) составляет
лишь 0,8% от общего внутрипрофессионального неравенства (подробнее
об этих результатах см. в разделе 5). Отсюда следует, что влияние
данного неучтенного фактора является пренебрежимо малым.
Самостоятельное влияние на индивидуальные заработные
платы может оказывать размер населенного пункта, где проживает и
занят работник. Естественно предположить, что, при прочих равных,
уровень заработных плат будет выше в более крупный населенный пунктах,
что подтверждается рядом исследований. Однако, на наш взгляд, учет
этого фактора слабо изменил бы наши результаты, так как из анализа
изначально исключена группа профессий (6-я укрупненная группа ОКЗ),
связанных с сельским хозяйством, а потому с малыми населенными пунктами.
Что же касается оставшихся профессий, то мало оснований считать,
что они распределены между городом и селом неравномерно.
Итак, в какой мере учет всех этих пропущенных структурных
факторов мог бы увеличить оценку влияния эффекта структуры? На этот
вопрос сложно дать точный ответ. На наш взгляд, это имело бы некоторое
влияние только для рабочих профессий — таких, как машинисты кранов
и подъемников, станочники, сварщики и газорезчики, — так как их
деятельность в большей степени связана с вредными и опасными условиями
труда, а также для профессий бюджетной сферы.
Тогда возникает следующий вопрос — чем же могут объясняться
остаточные положительные и отрицательные профессиональные «премии»?
Рассматривая этот вопрос через «призму» экономического
подхода, мы выделяем и обсуждаем два основных фактора — это сильный
относительный спрос и неслучайность отбора индивидов в различные
профессии. Здесь также можно выйти за рамки чисто экономических
аргументов и обратиться к объяснениям, распространенным в социологии.
Социология профессий специально выделяет два обстоятельства: «закрытие»
определенных профессий (институциональное ограничение входа в них)
и общественную важность выполняемых профессиональных функций (подчеркиваемую
функционалистской теорией стратификации). Учитывая важную роль гендерного
фактора в представленных расчетах, нельзя исключить и возможной
девальвации «женских» профессий.
Изменения в структуре спроса на труд. Среди всех
характеристик работника именно профессия наиболее тесно связана
со спросом на труд, так как профессиональные навыки и умения должны
соответствовать запросам производственного процесса. Поэтому роль
профессиональной принадлежности в определении заработной платы становится
особенно заметной при колебаниях спроса на труд, которые часто локализуются
в отдельных профессиях.
Таблица 5. Изменения занятости в массовых профессиях,
2000-2007 гг., по данным ОНПЗ
|
Код
|
Название
|
Изменение занятости
|
|
Кол-во, чел.
|
% (к 2000 г.)
|
|
2411
|
Бухгалтеры
|
502385
|
54
|
|
3231
|
Медсестры
|
714864
|
141
|
|
332
|
Воспитатели
|
165304
|
24
|
|
4115
|
Секретари
|
106889
|
34
|
|
5122
|
Повара
|
102256
|
13
|
|
516
|
Работники служб, осуществляющих защиту граждан и собственности
|
445439
|
39
|
|
521
|
Продавцы
|
1696540
|
71
|
|
7121
|
Строители и строители-монтажники
|
114709
|
50
|
|
7212
|
Сварщики и газорезчики
|
130205
|
16
|
|
7223
|
Станочники и наладчики станков
|
-105069
|
-17
|
|
7233
|
Слесари
|
389975
|
45
|
|
752
|
Телефонисты
|
27903
|
7
|
|
8163
|
Аппаратчики и операторы установок по обработке воды
|
86752
|
77
|
|
829
|
Операторы, аппаратчики, машинисты и слесари-сборщики стац.
оборудования
|
30285
|
17
|
|
8322
|
Водители автомобилей
|
475375
|
11
|
|
8333
|
Машинисты кранов и подъемников
|
22484
|
6
|
|
9132
|
Горничные
|
-7314
|
-12
|
|
9411
|
Сторожа, гардеробщики, лифтеры
|
-184710
|
-13
|
|
9412
|
Кладовщики, маркировщики, комплектовщики
|
184306
|
30
|
|
9413
|
Грузчики, разнорабочие
|
506341
|
48
|
|
9414
|
Уборщики
|
-228153
|
-12
|
|
|
Всего по выделенным профессиям
|
6043750
|
25
|
|
|
Всего занятых
|
5500085
|
8
|
Примечание. Данные для группы 1210 недоступны, так как
такая группа не выделялась в ОНПЗ в рассматриваемые годы. Таблица
не отражает происходивший в этот период мощный «сброс» занятости
в большинстве профессий сельского хозяйства. В целом 6-я укрупненная
группа ОКЗ «потеряла» почти 1 млн человек.
В качестве известного примера можно привести ситуацию,
возникшую на рынке труда США в 1970-1980-е годы. В этот период произошел
ощутимый рост неравенства, стимулировавший целый поток исследований.
Как указывали первоначальные исследования, технологический прогресс
поднял спрос на квалифицированную рабочую силу, что привело к повышению
относительных заработных плат квалифицированных работников. Однако
последующие исследования продемонстрировали, что его воздействие
было избирательным: рост спроса затронул не весь спектр высококвалифицированных
работников, а только те профессии, которые являются комплементарными
по отношению к технологическим изменениям, связанным с использованием
ИКТ. В то же время профессии, которые выступают по отношению к ним
как субституты (предполагают выполнение рутинных операций), испытали
сокращение спроса. При этом не сократился или даже возрос спрос
на определенные низкоквалифицированные профессии (например, официантов).
В результате технологический прогресс оказался смещенным не просто
в пользу высококвалифицированного труда (англ. skill-biased technical
change), а в пользу отдельных высококвалифицированных профессиональных
групп (англ. occupation-biased technical change). Можно ожидать,
что воздействие изменений в структуре спроса на труд на профессиональную
структуру заработных плат в условиях переходной экономики также
будет значительным, поскольку значительны были сами изменения в
структуре спроса на труд. По оценкам К. Сабирьяновой (Sabirianova
2002), в период с 1991 по 1998 г. более 40% работников сменили профессию.
Эти переходы не были случайными. Они связаны с изменениями в профессиональной
структуре занятости, т.е. работники ориентировались на изменения
в структуре спроса. Рыночная экономика стала предъявлять повышенный
(пониженный) спрос на профессиональные группы, недопредставленные
(представленные с избытком) в плановой экономике. Косвенно это подтверждает
и исследование В. Гимпельсона и др. (2009), выполненное на данных
ОНПЗ, которое обнаружило сильное несоответствие между специальностью
по образованию и фактической специальностью. По состоянию на 2006
г. по меньшей мере половина всех работников с высшим профессиональным
образованием трудилась не по специальности, указанной в дипломе.
Эти свидетельства мотивируют нас рассмотреть связь остаточных
профессиональных зарплатных «премий» со спросом на профессии. «Силу»
спроса мы измеряем через предшествующие 2007 г. изменения в занятости
по профессиональным группам. В табл. 5 эти изменения, рассчитанные
на микроданных ОНПЗ, приведены в абсолютном и относительном выражении.
Таблица 5. Изменения занятости в массовых профессиях,
2000-2007 гг., по данным ОНПЗ
|
Код
|
Название
|
Изменение занятости
|
|
Кол-во, чел.
|
% (к 2000
|
|
1210
|
Руководители предприятий
|
н.д.
|
н.д.
|
|
1222
|
Руководители подразделений в промышленности
|
-64226
|
-15
|
|
1229
|
Руководители подразделений
|
509943
|
304
|
|
2149
|
Архитекторы и инженеры
|
134393
|
25
|
|
2221
|
Врачи (без зубных)
|
91365
|
12
|
|
231
|
Преподаватели вузов
|
39627
|
8
|
|
232
|
Учителя
|
387901
|
24
|
Как показывает табл. 5, за 2000-2007 гг. общее количество
занятых выросло примерно на 5,5 млн человек. В сумме по выделенным
массовым профессиям занятость выросла даже сильнее — более чем на
6 млн человек, но для разных профессий ситуация была различной.
Так, в некоторых профессиях занятость даже сократилась. Лидерами
по росту занятости (в порядке убывания) явились руководители подразделений,
медсестры27, операторы
и аппаратчики, продавцы, бухгалтеры, строители, слесари и грузчики.
Сокращение занятости произошло среди станочников, руководителей
подразделений в промышленности, а также в ряде неквалифицированных
профессий — горничные, сторожа и уборщики.
Наши оценки показывает, что эти изменения положительно
связаны с интересующими нас профессиональными «премиями». Коэффициент
корреляции между процентным изменением занятости в профессии и остаточной
«премией» составляет 0,31. При малом количестве наблюдений он оказывается
значимым на 10%-м уровне значимости. Таким образом, относительно
более высокий (низкий) спрос на профессии может быть одной из причин
высоких (низких) профессиональных зарплатных «премий».
Способности и склонности работников к определенным
профессиям. Другим объяснением существования остаточных профессиональных
«премий» может быть то, что отбор (или самоотбор) индивидов в разные
профессии не является случайным. По разным причинам, в тех или иных
конкретных профессиях оказываются люди, обладающие относительными
преимуществами в производительности именно в них. Самоотбор может
возникать уже на этапе выбора образовательной специальности, которую
многие поступающие или учащиеся выбирают в соответствии со своими
интересами. Далее профессия по образованию может и не стать профессией
по месту работы. Однако и после окончания формального обучения индивиды
выбирают профессии далеко не случайным образом28.
К сожалению, мы не можем протестировать влияние этого
фактора на профессиональные «премии», поскольку наша база данных
не содержит информации о предпочтениях и способностях работников.
Более того, практически не существует отечественных исследований
на эту тему, которые позволили бы получить какие-либо косвенные
оценки, хотя результаты некоторых работ указывают на наличие самоотбора
при выборе образовательной специальности российскими абитуриентами29.
Важность для общества выполняемых профессиональных
функций. Функционалистская теория стратификации предполагает,
что в обществе существуют различные социальные позиции. Уровень
вознаграждения для каждой позиции зависит от двух факторов. Во-первых,
от общественной важности выполняемых функций. Это является необходимой
(но недостаточной) причиной высокого ранга позиции, и, следовательно,
высокого уровня вознаграждения. Во-вторых, от уровня способностей
и навыков, требуемых для исполнения этих функций. Если позиция не
требует высокого уровня квалификации и навыков, то она относительно
легко может быть заполнена и, следовательно, конкуренция за позицию
будет понижать уровень получаемого вознаграждения. Чтобы мотивировать
людей получать требуемые навыки, необходимые для выполнения различных
функций, общество должно предоставлять достаточное вознаграждение30.
Кроме того, некоторые необходимые социальные позиции могут быть
менее «приятны», чем другие, поэтому в них должно быть «встроено»
более высокое вознаграждение даже при требуемом низком уровне подготовки.
В ряде эмпирических социологических работ предсказания
функ-ционалистской теории социальной стратификации использовались
для анализа профессиональной структуры заработных плат31.
Профессия хорошо подходит под понятие социальной позиции, не совсем
четко определенное в рамках функционалистской теории. В контексте
профессий функционалистская теория предполагает, что, во-первых,
чем более высокий уровень знаний и навыков требуется для работы
в профессии, тем выше в данной профессии должен быть уровень заработных
плат. Во-вторых, чем менее приятно исполнение функций и задач, связанных
с профессией, тем выше будет заработная плата. В-третьих, вознаграждение
профессий будет различаться в зависимости от важности для общества
функций, выполняемых в рамках профессий.
Надо отметить, что первые два предсказания функционалистской
теории тесно пересекаются с положениями теории человеческого капитала
и теории компенсирующих различий (и на практике различить их оказывается
очень трудно). Для нашей работы это означает, что, во-первых, действие
соответствующих факторов частично было уже учтено при корректировке
профессиональных «премий» на различия в структуре занятости, важным
элементом которой является образовательная структура. Во-вторых,
они подпадают под неучтенные характеристики рабочих мест, требующие
компенсации, и относятся, видимо, только к рабочим специальностям.
В том, что касается «платы за важность», то, как отмечали
еще К. Дэвис и В. Мур (Davis, Moore 1945), часто бывает достаточно
сложно установить, почему одна социальная позиция или профессия
более важна, чем другая. При этом в обществе может не существовать
консенсуса в ранжировании позиций/профессий по функциональной важности.
Поэтому в эмпирических работах, в которых тестируются предсказания
функционалистской теории, принято просто выделять разные профессиональные
функции без ранжирования их по важности и не строить предварительных
ожиданий о том, какие функции будут относительно более важными и,
следовательно, относительно более оплачиваемыми.
К сожалению, ввиду ограниченных данных мы не можем выделить
разные функции и задачи внутри профессий. Единственное, что можно
сказать — положительные остаточные «премии» для группы руководителей
могут объясняться собственно выполнением управленческой функции.
Эта функция может присутствовать и в других профессиях, однако
именно для руководителей предприятия/организаций или их подразделений
она является ключевой. Следует сделать также и другое замечание.
Как свидетельствует табл. П6, для всех профессий бюджетного сектора
— учителя, врачи, преподаватели, медсестры, воспитатели — выполняющих
общепризнанно важные общественные функции — наблюдается значимый
положительный эффект профессии. При этом другие профессиональные
группы, во многом принадлежащие к бюджетному сектору — горничные
и сторожа/гардеробщики/лифтеры — не обладают таким эффектом. Такой
результат полностью согласуется с предсказаниями функционалистской
теории социальной стратификации.
Профессиональное «закрытие». Профессиональное
«закрытие» является специфическим случаем социального «закрытия»
(англ. — social closure). В общем случае социальное «закрытие» возникает
тогда, когда одни социальные группы в целях максимизации полезности
от использования некоторого ресурса ограничивают или полностью исключают
доступ к нему других социальных групп. В случае профессионального
закрытия социальные группы, практикующие исключение, формируются
из обладателей схожих профессиональных навыков, а ресурсом для них
является вознаграждение за выполнение соответствующих профессиональных
функций. Таким группам выгодно ограничивать доступ других групп
или индивидов к выполнению своих профессиональных функций, поскольку
это снижает предложение соответствующего труда и максимизирует вознаграж-дение32.
Для ограничения доступа могут использоваться различные институциональные
стратегии: лицензирование и сертификация деятельности, требование
о наличии диплома о получении определенного уровня и типа образования
(англ. — educational credentialing), требование обязательного членства
в профессиональных союзах и профессиональных ассоциациях. Эти стратегии
в той или иной степени встречаются в любом современном обществе
и касаются, как правило, сложных профессий (врачи, адвокаты и т.п.).
Стратегии профессионального закрытия могут влиять на
величину профессионального вознаграждения через ограничение предложения
труда в рамках данной профессии, стимулирование спроса на услуги
данной профессии, усиление переговорной позиции при установлении
вознаграждения, а также через сигнализирование потенциальным потребителям
о том, что представители данного профессионального сообщества предлагают
услуги высокого качества. Как показывает К. Виден (Weeden, 2002),
профессиональная закрытость, несмотря на то, что она может проявляться
для разных работников внутри профессий в разной степени, способна
объяснять часть межпрофессиональных различий в оплате труда, дополняя
объяснения со стороны теории человеческого капитала и функционалистской
теории стратификации. На российском рынке труда многие стратегии
«закрытия», существующие в развитых странах, распространены достаточно
слабо. Это касается прежде всего деятельности профсоюзов и профессиональных
ассоциаций. Лицензирование и сертификация деятельности присутствуют,
но для идентификации их влияния необходимо спуститься на еще более
дробный уровень профессиональной классификации, который, к сожалению,
эмпирически не доступен. Наиболее вероятным элементом является требование
о наличии диплома о получении специального образования. Однако влияние
этого фактора уже во многом учтено в наших расчетах через учет уровня
образования.
Девальвация «женских» профессий. Поскольку женщины
в среднем получают меньше, чем мужчины (даже с учетом гендерной
асимметрии занятости и различий в накопленном человеческом капитале),
то с увеличением доли женщин в некоторой профессиональной группе
снижается, при прочих равных условиях, уровень оплаты труда. Такой
эффект является частью эффекта структуры, однако в «женских» профессиях
может наблюдаться низкий уровень оплаты труда и вследствие других
причин.
Во-первых, это может быть результатом повышенного предложения
труда в «женских» профессиях. Социальные нормы часто не «пускают»
женщин на «мужские» рабочие места, что может приводить к повышенному
предложению труда на «женские» рабочие места33.
Во-вторых, это может быть результатом того, что навыки, ассоциируемые
с женщинами, оплачиваются на рынке труда ниже, чем навыки, ассоциируемые
с мужчинами. Например, это навыки ухода за людьми34.
В обоих случаях возникает эффект профессии, который оказывает негативное
влияние не только на заработные платы женщин, но и на заработные
платы мужчин, занятых в данной профессии.
Гипотеза о недооцененности «женских» профессий находит
свое подтверждение и с другой стороны. Ряд исследователей обнаруживает
положительный эффект доли мужчин в профессии на заработную плату.
Этот эффект может объясняться ненаблюдаемыми характеристиками рабочих
мест, однако есть свидетельства того, что премия за занятость в
«мужской» профессии перекрывает компенсацию за возможные относительно
менее приятные характеристики занятости в данной профессии35.
Обладая данными о гендерной структуре профессиональных
групп, мы можем проверить данное объяснение на практике. Между остаточными
профессиональными зарплатными «премиями» и долей занятых женщин
действительно наблюдается отрицательная корреляция (-0,16), однако
она не является статистически значимой. На наш взгляд, это опровергает
гипотезу о девальвации «женских» профессий на российском рынке труда.
Однако, возможно, нам не удалось выявить значимую связь потому,
что к определению «женских» профессий следует подходить более тонко
— на основе выделения профессиональных задач, ассоциируемых с женщинами,
а не на основе доли занятых женщин внутри профессии.
В завершающем этапе анализа мы оценивали одновременное
влияние трех дополнительных факторов (доля премиальной части в общей
заработной плате, изменения в спросе на труд и доля занятых женщин)
на зарплатные премии. В совместной регрессии, оцененной простым
МНК, связь остаточных «премий» оказалась значимой (на 10%-м уровне)
только с изменениями в занятости. Таким образом, колебания спроса
на профессии являются наиболее вероятным составляющим элементом
эффекта профессий. Однако мы не можем исключать другие составляющие
— профессиональные способности работников и общественную значимость
выполняемой ими деятельности.
6. Неравенство в оплате труда внутри профессий
Как показывают результаты декомпозиции, представленные
в разделе 4, в российских условиях профессиональное разделение труда
оказывается наиболее важным фактором неравенства по заработным платам.
Деление занятости на узкие профессиональные группы (на 4-м уровне
ОКЗ) может объяснить почти треть всего наблюдаемого неравенства.
Однако еще большая часть неравенства существует за счет различий
в заработной плате внутри этих узких профессий.
Уровень неравенства по заработным платам внутри выделенных
массовых профессий, измеренный с помощью различных индексов, представлен
в табл. П7 (см. Приложение). В таблице они ранжированы по величине
индекса Джини. Между любыми индексами неравенства наблюдается высокая
корреляция (например, коэффициент корреляции между индексом Джини
и GE(2) составляет почти 0,95, а между индексом Джини и GE(-1) почти
0,98), поэтому не имеет принципиального значения, по какому индексу
проводить ранжирование профессий. (Эту тесную корреляцию между индексами
легко можно наблюдать визуально на рис. П2 в Приложении).
Как можно заключить из табл. П7, наибольший уровень
неравенства наблюдается в группах руководителей. В одной из них
(руководители предприятий) неравенство оказывается даже выше, чем
в целом по выборке. (Вероятно, это объясняется тем, что оплата труда
руководителей обычно привязана к финансовым результатам деятельности
предприятия и организаций.) В нижней части табл. П7 располагаются
преимущественно рабочие профессии (станочники, слесари, машинисты,
сварщики), неквалифицированные профессии, а также ряд профессий
бюджетного сектора — воспитатели, учителя и медсестры.
Чем можно объяснить неравенство внутри таких узких и,
казалось бы, однородных профессий? С чем связано относительно высокое
неравенство внутри одних профессий и относительно низкое неравенство
внутри других? Общий ответ на эти вопросы состоит в том, что, несмотря
на высокую степень их однородности, характеристики работников и
рабочих мест внутри них могут все же значительно различаться.
Во-первых, даже внутри узких профессиональных групп,
выделенных на 4-м уровне ОКЗ, наблюдаются различия в уровне образования
между работниками. Как было показано ранее, достаточно однородными
по уровню образования являются лишь профессии 1-й и 2-й укрупненных
групп по ОКЗ (в них доминируют обладатели высшего образования),
а также профессиональная группа медсестер. Во всех других сложно
выделить какую-либо доминирующую по численности образовательную
группу. Во-вторых, работники внутри одной и той же профессии различаются
по трудовому стажу. Первая и вторая причины вместе дают возможность
искать объяснения внутрипрофессиональных различий в оплате труда
с позиций теории человеческого капитала. В-третьих, одна и та же
профессия может встречаться как в государственном секторе, так и
в частном. В итоге различия в уровнях оплаты труда между секторами
также могут вносить существенный вклад в неравенство заработков
внутри профессий. Более того, отмеченные выше различия в образовании
и опыте работы между работниками могут усиливаться различиями в
системах оплаты труда между государственным и частным сектором,
так как они предлагают разные «премии» за эти характеристики (между
секторами, например, значимо различаются «премии» за образование).
В-четвертых, внутри профессий могут различаться обязанности и/или
набор выполняемых задач, зависящие от специфики конкретного рабочего
места. Это может быть, например, следствием занятости в разных отраслях
экономики. В-пятых, внутри одной и той же профессии работники различаются
по своим способностям к выполнению профессиональных обязанностей.
Следовательно, эффективность и качественность их выполнения различаются,
даже если сами они являются схожими. В-шестых, различия в заработных
платах между работниками внутри узких профессий могут возникать
в случае привязки оплаты труда работников к результатам деятельности
предприятий и организаций. В-седьмых, определенная часть внутрипрофессиональных
различий потенциально может вызываться дискриминацией в оплате труда
некоторых групп занятых, например женщин.
Таким образом, оказывается, что причин для существования
различий в оплате труда внутри узких профессий более чем достаточно.
Хотя используемые нами данные ОЗПП позволяют выделять эти узкие
профессии, они, к сожалению, не содержат универсальных измерителей
для всех возможных факторов, порождающих различия. Тем не менее
набор доступных факторов достаточно широк — это образование и опыт
работы, гендер, рабочее время, отраслевая принадлежность, форма
собственности и размер предприятия, а также регион. Далее мы оцениваем,
в какой мере эти факторы могут объяснить неравенство внутри различных
профессий.
6.1. Методология декомпозиции неравенства внутри профессий
Уравнение заработной платы внутри профессий. Для
анализа принципов формирования заработной платы внутри профессий
отдельно для каждой из них мы оцениваем уравнение заработной платы
(1). Далее для декомпозиции неравенства на основе оцененных уравнений
мы применяем методологию, аналогичную использованной в разделе 4.1.2.
Декомпозиция неравенства по источникам доходов. Одним
из наиболее популярных индексов неравенства, используемых для декомпозиции
неравенства по источникам доходов (в отличие от декомпозиции неравенства
по подгруппам населения), является индекс Джини.
Декомпозиция Джини проводится следующим образом. Предположим,
что общий доход складывается из K компонент, G
— индекс Джини для совокупного дохода; Gk —
индекс Джини для к-й компоненты дохода, при расчете которого
ранжирование групп населения происходит по принадлежащей им доле
не в рассматриваемой компоненте дохода, а в совокупном доходе; Y
— средняя величина общего дохода, Yk — средняя
величина к-й компоненты дохода. Тогда индекс Джини можно
представить как

Каждый из элементов этой суммы представляет собой вклад
к-й компоненты дохода в индекс Джини, т.е. в общее неравенство
по доходам. Как видно из формулы (4), этот вклад зависит, во-первых,
от соотношения между средней величиной совокупного дохода и средней
величиной соответствующей компоненты дохода, и, во-вторых, от индекса
Джини для k-й компоненты дохода Gk. Знак
вклада определяется знаком Gk, который может быть
как положительным, так и отрицательным. Вклад является положительным,
если кривая концентрации (кривая Лоренца) для компоненты дохода
лежит ниже луча в 45о. В этом случае можно сказать, что
концентрация k-й компоненты находится в соответствии с концентрацией
общего дохода. Если кривая концентрации для компоненты лежит выше
луча в 45о, то вклад компоненты в неравенство будет отрицательным,
т.е. данная компонента сглаживает неравенство. Отрицательный вклад
является типичным для социальных пособий, так как домохозяйства
с максимальным размером пособия одновременно являются домохозяйствами
с низкими совокупными доходами. Отметим, что если распределение
компоненты дохода находится в полном соответствии с распределением
совокупного дохода (другими словами, полностью пропорционально ему),
то ее вклад в неравенство будет определяться исключительно соотношением
средних. Из формулы (4) далее можно выразить относительный вклад
k-й компоненты дохода в неравенство как отношение абсолютного
вклада к общему индексу Джини:

6.2. Особенности формирования заработной платы внутри
профессий
В целях экономии места мы не приводим полные результаты
оценивания уравнений заработной платы по каждой из 28 выделенных
массовых профессий, а рассмотрим лишь результаты оценивания премий
за образование и разницы в оплате труда между мужчинами и женщинами,
частным и государственным секторами. Эти оценки представлены в табл.
П8 (см. Приложение).
«Премия» за высшее образование. В целом по выборке
ОЗПП премия за обладание высшим образованием составляет более 100%
(в % к средней заработной плате работников с образованием ниже среднего).
Однако внутри каждой из профессий премия за образование оказывается
заметно ниже (исключение составляет одна из групп руководителей).
Это указывает на то, что образование влияет на заработные платы
во многом за счет того, что требуемый уровень образования различается
по профессиям.
Относительно низкая (или даже незначимая) премия за
высшее образование наблюдается в профессиях двух типов. Во-первых,
в тех профессиях, где концентрация работников с высшим образованием
велика — это врачи, преподаватели, архитекторы и инженеры, учителя36.
Во-вторых, там, где наличие высшего образования, с одной стороны,
не является формальным требованием, а с другой стороны — слабо влияет
на производительность труда. Это профессии «синих воротничков» и
все неквалифицированные профессии. В первом случае существуют условия
для того, чтобы высшее образование приносило «премию», но оно присутствует
практически у всех работников. Во втором случае высшим образованием
обладают лишь некоторые работники, но оно не является «полезным»
для увеличения заработной платы.
Тендерный разрыв в заработной плате. Анализ разницы
в оплате труда между мужчинами и женщинами внутри узких профессиональных
групп показывает, что в «мужских» профессиях эта разница оказывается
выше, чем в «женских». Связь между долей занятых женщин и величиной
разрыва можно проследить визуально (см. рис. П3 в Приложении), коэффициент
корреляция между ними оказывается равным 0,65. Разрыв оказывается
незначимым среди врачей, учителей, медсестер и секретарей, минимальным
среди продавцов, гардеробщиков и лифтеров, а максимальным — среди
станочников, слесарей и сварщиков. Таким образом, необъясненный
разрыв в оплате труда оказывается большим внутри профессий,
в которых мужчины являются более производительными, чем женщины,
а в других профессиях он практически отсутствует. Это указывает
на то, что в составе этого разрыва вряд ли содержится часть, вызванная
дискриминацией женщин в оплате труда. Однако все же отметим, что
среди телефонистов и поваров разрыв является достаточно значимым,
и этому сложно найти четкое объяснение.
Разница в оплате труда между частным и государственным
сектором. Наличие сильных различий в оплате труда между государственным
и частным секторами внутри узкой профессии при контроле других характеристик
говорит о том, что государство не платит представителям этой профессии
рыночную заработную плату. Примером могут послужить телефонисты
и руководители подразделений. Такая ситуация существует и в ряде
профессий «бюджетного сектора» — это преподаватели вузов и воспитатели.
Однако среди других «бюджетных» профессий — врачей, учителей и медсестер
— межсекторного разрыва в оплате труда не наблюдается.
6.3. Декомпозиция неравенства по заработной плате внутри
профессий по подгруппам занятых
Результаты декомпозиции неравенства по заработной плате
внтри профессиональных групп представлены в табл. П9 (см. Приложение).
Для большинства профессий оказывается, что фактором, вносящим наибольший
вклад в неравенство, является регион (другими словами, за этим фактором
стоит то, что работники одних и тех же профессий заняты в регионах
с разными уровнями оплаты труда). Это верно для 22 из 28 выделенных
«массовых» профессий. При этом оставшиеся профессии состоят исключительно
из рабочих 7-й и 8-й укрупненных групп ОКЗ — это сварщики и газорезчики,
станочники, слесари, операторы стационарного оборудования и машинисты
кранов, а также телефонисты. Внутри этих профессий наибольший вклад
в различия вносит принадлежность к различным видам экономической
деятельности. В целом по всем профессиям отраслевой фактор идет
на втором месте по значимости после регионального.
Дальнейший анализ показывает, что размер вклада регионального
фактора во внутрипрофессиональное неравенство тесно связан с тем,
в какой мере профессия принадлежит к государственному сектору экономики.
Связь между долей занятых работников в государственном секторе и
вкладом регионального фактора отражена на рис. П4 (см. Приложение).
Между этими показателями наблюдается значимая положительная корреляция
(более 0,65). Объяснение этому состоит в том, что оплата труда бюджетников
привязана к финансовым возможностям региональных бюджетов (см. Заработная
плата в России, 2007).
На третьем месте по влиянию на внутрипрофессиональное
неравенство идут уровень образования и пол работников. Ранжирование
профессиональных групп по вкладу образования достаточно четко соответствует
ранжированию профессий по укрупненным уровням ОКЗ. Наибольшее значение
образование имеет для 1, 2 и 3-й укрупненных групп, а наименьшее
— для 7, 8, 9-й. Вклад пола в неравенство по заработной плате, как
и следовало ожидать, оказывается наибольшим в «мужских» профессиях
(станочники и слесари), а наименьшим в «женских» — среди секретарей,
учителей, врачей, медсестер и горничных.
Величина необъясненного остатка также варьирует по профессиям
— от примерно 56% для руководителей предприятий до примерно 75%
для продавцов (см. рис. П5 в Приложении). Отметим, что лидерами
по величине необъясненного остатка — вместе с продавцами — являются
неквалифицированные профессии 9-й укрупненной группы ОКЗ — это уборщики,
сторожа, лифтеры и горничные. Вряд ли можно ожидать, что (ненаблюдаемые)
индивидуальные способности и склонности играют большую роль при
формировании заработной платы в этих группах. Поэтому мы склонны
интерпретировать большую остаточную вариацию в этих группах как
свидетельство влияния на заработные платы другого плохо наблюдаемого
механизма — механизма разделения ренты (или разделения риска). Остаточная
вариация в группах неквалифицированных профессий, на наш взгляд,
может служить нижней границей оценки величины влияния этого механизма
на заработные платы работников на российском рынке труда37.
6.4. Декомпозиция неравенства по заработной плате внутри
профессий по ее компонентам
При декомпозиции неравенства по компонентам заработной
платы — тарифной и премиальной части — возникает вопрос, как поступать
с тем, что у многих работников премиальная часть отсутствует. С
технической точки зрения было бы правильно исключить нулевые значения
(а следовательно, и соответствующих работников) из расчетов, так
как они автоматически резко увеличивают вклад премиальной части
в неравенство. Однако с содержательной точки зрения такое исключение
недопустимо, так как означало бы исключение значительной части работников
из расчета и декомпозиции неравенства, в результате чего получаемые
выводы нельзя будет распространять на всех работников. Отношение
к нулевым значениям зависит от того, насколько мы верим, что нулевые
значения премиальной части соответствуют действительности. По всей
видимости, за месячный период нулевые значения премиальной части
у работника гораздо более возможны, чем за годовой период занятости.
Поскольку мы работаем с данными за один месяц, было решено оставить
нулевые наблюдения в расчетах. При этом следует иметь в виду, что
такой подход потенциально «раздувает» вклад премиальной части в
неравенство и на годовых заработках он может оказаться гораздо ниже.
Результаты расчетов представлены в табл. П10. Во-первых,
как по всей выборке в целом, так и по всем профессиям, наибольший
вклад в общее неравенство вносит премиальная часть. По выборке в
целом эта компонента объясняет 85% (!) неравенства. Размер ее вклада
положительно коррелирован с долей работников внутри профессии, не
имеющих премиальной части (коэффициент корреляции равен 0,7). Это
подтверждает наши опасения, что премиальная компонента заработной
платы будет вносить большой вклад в неравенство за счет нулевых
значений. Во-вторых, во всех случаях вклад премий является положительным,
т.е. они всегда увеличивают неравенство. В-третьих, относительно
слабый или даже отрицательный вклад тарифной части наблюдается в
двух группах. Первая — это профессии бюджетного сектора: врачи,
преподаватели, учителя, медсестры, воспитатели. Как мы отмечали
ранее, в выборке ОЗПП к этой группе профессий относятся также и
горничные, вклад тарифной части для которых также отрицателен. Вторая
— это неквалифицированные профессии, к которым кроме горничных относятся
сторожа и гардеробщики, кладовщики, грузчики и уборщики.
7. Заключение
Данная работа посвящена анализу влияния профессионального
разделения труда на неравенство по заработным платам на российском
рынке труда. Для этого мы использовали данные ОЗПП, позволяющие
разделять занятость на достаточно узкие и однородные профессиональные
группы, соответствующие 3-му и 4-му уровню агрегирования ОКЗ.
Выполненные стандартные декомпозиции неравенства свидетельствуют,
что рассматривать неравенство по заработной плате как результат
деления занятости на различные профессиональные группы чрезвычайно
важно. Различия в средних уровнях оплаты труда между группами занятых,
выделенных по профессиональному признаку, формируют почти треть
общего неравенства. Этот вклад оказывается выше, чем вклады любых
других факторов.
Анализ причин сильных межпрофессиональных различий в
оплате труда, выполненный на всех уровнях агрегирования профессиональных
групп в рамках ОКЗ, показывает, что примерно половина этих различий
вызвана эффектом структуры — разным наполнением профессиональных
групп работниками и рабочими местами с разными характеристиками.
В составе эффекта структуры доминирующее значение имеют различия
в образовательной структуре профессий. Это подтверждает известный
вывод о том, что влияние образования во многом замещает влияние
профессий (и наоборот), так как сложность профессии часто определяется
требуемым образованием. Однако вопрос, что первичней — профессия
или образование — не имеет, на наш взгляд, однозначного ответа,
так как эти факторы просто невозможно отделить друг от друга. С
одной стороны, формальное образование (начиная со среднего уровня)
является профессиональным. С другой стороны, обучение на рабочем
месте, накопление трудового опыта и развитие практических навыков
неизбежно происходит в рамках выполняемой профессии. Поэтому человеческий
капитал любого уровня имеет профессиональный «оттенок», т.е. является
в большей или меньшей степени профессионально-специфическим.
Остающиеся межпрофессиональные различия в оплате труда,
составляющие другую половину различий, вызываются эффектом профессии,
т.е. влиянием профессионально-специфических факторов. Учитывая,
что различия в «наполнении» профессий в определенной степени вызваны
различиями в выполняемых профессиональных функциях и задачах, мы
считаем, что размер эффекта профессии может быть еще больше. Все
это явно говорит о том, что профессии играют значимую самостоятельную
роль в формировании неравенства по заработным платам.
Более подробное исследование эффекта структуры и эффекта
профессии было проведено на примере массовых профессий — узких и
относительно однородных профессиональных групп, в которых занята
относительно высокая доля населения. Оказалось, что, во-первых,
в одних профессиях размер профессиональной зарплатной «премии» —
превышения средней заработной платы в профессии над ее средним уровнем
в экономике в целом — почти полностью объясняется эффектом профессии,
тогда как в других — почти полностью эффектом структуры. Другими
словами, сам факт принадлежности работника к одним профессиональным
группам означает получение соответствующего уровня вознаграждения,
но принадлежность к другим профессиональным группам вовсе не гарантирует
его получение, так как он определяется иными факторами, чем профессия.
Во-вторых, в одних профессиях эффект структуры оказывает
благоприятное влияние на уровень оплаты труда, повышая профессиональные
«премии», а в других — неблагоприятное влияние, понижая их. Один
из характерных результатов состоит в том, что в профессиях первых
двух укрупненных групп ОКЗ (особенно — среди специалистов высшего
уровня квалификации) образовательный фактор играет сильную положительную
роль, тогда как во всех других профессиях влияние этого фактора
негативное. При этом, как и следовало ожидать, принадлежность профессии
к бюджетному сектору во всех случаях оказывает негативное влияние
на размер профессиональных «премий».
В-третьих, нам удалось установить значимую положительную
корреляцию между профессиональными зарплатными «премиями», остающимися
после учета эффекта структуры, и чистыми изменениями занятости в
соответствующих профессиях. Это указывает на то, что эффект профессии
может вызываться изменениями в структуре спроса на труд — опережающим
ростом спроса на одни виды занятий по сравнению с другими. Другим
возможным источником этого эффекта является то, что работники могут
отбираться в те профессии, где они обладают сравнительными преимуществами
в производительности. Мы также обнаружили, что сильный положительный
эффект профессии наблюдается во всех массовых квалифицированных
профессиях бюджетного сектора — преподавателей, врачей, учителей,
медсестер, воспитателей. Это согласуется с представлениями функционалистской
теории социальной стратификации, так как эти профессии выполняют
общепризнанно значимые общественные функции.
Несмотря на то, что различия в средних уровнях оплаты
труда между профессиями вносят сравнительно большой вклад в неравенство
по заработной плате, большая часть всего неравенства оказывается
сосредоточенной внутри узких профессиональных групп. На первый взгляд,
сложно найти объяснение столь сильному неравенству внутри достаточно
узких и однородных профессий. Можно ожидать, что теория человеческого
капитала будет здесь бессильной, так как различия в накопленном
человеческом капитале вряд ли могут иметь высокую объясняющую способность.
Это подтверждается и нашими оценками — различия в уровнях образования
и общем трудовом стаже объясняют максимум 9% внутрипрофессиональной
вариации в заработках.
Было установлено, что для большинства профессий главным
фактором внутрипрофессионального неравенства по заработной плате
оказывается региональная принадлежность. При этом вклад регионального
фактора оказывается тем больше, чем выше степень «привязки» профессии
к государственному сектору экономики. Объяснение этого результата
может состоять в том, что оплата труда бюджетников сильно зависит
от финансовых возможностей региональных бюджетов. Следующими по
значимости факторами являются отраслевая принадлежность, образование
и гендер.
Оценки стандартного уравнения заработной платы отдельно
по профессиональным группам показали, в какой мере величина отдачи/премии
за образование зависит от характера профессиональной деятельности.
Относительно низкие, и даже незначимые, премии за высшее образование
наблюдаются либо в профессиях, где оно не способно повысить производительность
труда, либо в профессиях, где доля работников с вузовскими дипломами
очень высока. При этом «внутри» практически всех профессий образовательные
«премии» оказываются заметно ниже, чем на рынке труда в целом. Это
указывает на то, что образование влияет на заработные платы во многом
за счет того, что требуемый уровень образования различается по профессиям.
Другой важный результат оценивания уравнения заработной
платы для отдельных профессий состоит в том, что гендерный фактор
оказывает значимое влияние внутри «мужских» профессий — например,
среди станочников, слесарей, сварщиков, грузчиков, т.е. профессий,
к которым мужчины объективно являются более приспособленными и,
соответственно, более производительными, чем женщины. В других же
профессиях — среди врачей, учителей, медсестер и секретарей, продавцов,
гардеробщиков и лифтеров — он практически отсутствует. Это указывает
на то, что в составе гендерного разрыва в оплате труда, фиксируемого
в ряде исследований, вряд ли содержится значительная часть, вызванная
дискриминацией женщин в оплате труда.
Таким образом, в целом мы можем констатировать, что
в российских условиях профессии играют безусловно важную роль в
формировании неравенства по заработной плате. Их роль является сложной
и во многом переплетается с воздействиями других факторов, но и
самостоятельное влияние также хорошо заметно. В частности, профессия
трансформирует влияние на заработки многих других традиционно наблюдаемых
и ненаблюдаемых факторов. Взгляд на формирование неравенства «через
призму» профессий позволяет выявить новые и полнее увидеть «старые»
механизмы формирования заработной платы на российском рынке труда.
Литература
- Белоконная Л., Гимпельсон В., Горбачева Т. и др. (2007). Взгляд
на заработную плату через «призму» профессий» // Заработная плата
в России: эволюция и дифференциация / под ред. В. Гимпельсона,
Р. Капелюшникова. М.: Изд. дом ГУ ВШЭ, 2007. Гл. 8.
- Гимпельсон В., Капелюшников Р., Карабчук Т. и др. (2009). Выбор
профессии: чему учились и где пригодились? // Экономический журнал
ВШЭ. Т. 13. № 2.
- Гимпельсон В., Лукьянова А. (2007). Заработная плата бюджетников:
«премия» или «штраф» // Заработная плата в России: эволюция и
дифференциация / под ред. В. Гимпельсона, Р. Капелюшникова. М.:
Изд. дом ГУ ВШЭ, 2007. Гл. 4.
- Другов М., Рощина Я. (2002). Выбор профессии: по любви и по
расчету?: препринт WP3/2002/04. М.: ГУ ВШЭ, 2002.
- Иванов И. (2004). Профессионалы на рынке труда и проблемы их
социальной защищенности в современной России // Мир России. №
4.
- Капелюшников Р. (2006). Структура российской рабочей силы: особенности
и динамика: препринт WP3/2006/04. М.: Изд. дом ГУ ВШЭ, 2006.
- Капелюшников Р. (2007). Механизмы формирования заработной платы
в российской промышленности // Заработная плата в России: эволюция
и дифференциация / под ред. В. Гимпельсона, Р. Капелюшникова.
М.: Изд. дом ГУ ВШЭ, 2007. Гл. 2.
- Лукьянова А. (2007). Динамика и структура неравенства по заработной
плате (1998—2005 гг.) // Заработная плата в России: эволюция и
дифференциация / под ред. В.Е. Гимпельсона, Р.И. Капелюшникова.
Гл. 10. М.: Изд. дом ГУ ВШЭ, 2007.
- Лукьянова А. (2010). Дифференциация заработных плат в России
(1991—2008 гг.): факты и объяснения: препринт WP3/2010/10. М.:
Изд. дом Гос. ун-та — Высшей школы экономики, 2010.
- Мальцева И. (2009) Трудовая мобильность и стабильность: насколько
высока отдача от специфического человеческого капитала в России?
// Экономический журнал ВШЭ. Т. 13. № 2.
- Мансуров В., Юрченко О. (2009). Социология профессий. История,
методология и практика исследований // Социологические исследования.
№ 8.
- Ощепков А. (2009). Факторы межрегиональных различий в заработной
плате в России. Дисс. на соискание науч. ст. к.э.н. М.: ГУ ВШЭ,
2009.
- Шкаратан О. (1996а). Сущность и функции социальной стратификации
// Социальная стратификация / под ред. В. Радаева, О. Шкаратана
М.: Аспект Пресс, 1996. Гл. 2.
- Шкаратан О. (1996б). Социальная мобильность и воспроизводство
// Социальная стратификация / под ред. В. Радаева, О. Шкаратана
М.: Аспект Пресс, 1996. Разд. 3.
- Aage H. (1996). Russian Occupational Wages in Transition //
Comparative Economic Studies. Vol. 38. No. 4.
- Autor D. (2009). Explaining trends in wages, work, and occupations
// The Federal Reserve Bank of Chicago. Chicago Fed Letter No.
261.
- Autor D., Katz L., Kearney M. (2006). Trends in U.S. Wage inequality:
Revising the Revisionists // The Review of Economics and Statistics.
Vol. 90. №2.
- Autor D., Levy F., Murnane R. (2003). The Skill Content of Recent
Technological Change: an Empirical Exploration // Quarterly Journal
of Economics. Vol. 118. №4.
- Bergmann В. (1974). Occupational Segregation, Wages and Profits
When Employers Discriminate by Race and Sex // Eastern Economic
Journal. Vol. 1. №2.
- Blau P., Dunkan O. (1967). The American Occupational Structure.
N.Y.: Wiley, 1967.
- Cowell F., Jenkins S. (1995). How Much Inequality Can we Explain?
A Methodology and an Application to the United States // The Economic
Journal. Vol. 105. № 429.
- Davis K., Moore W. (1945). Some Principles of Stratification
// American Sociological Review. Vol. 10. №2.
- De Beyer J., Knight J. (1989). The Role of Occupation in the
Determination of Wages // Oxford Economic Papers. Vol. 41. №1.
- Dorman P., Hagstrom P. (1998). Wage compensation for dangerous
Work Revisited // Industrial Labor Relations Review. Vol. 52.
- England P., Herbert M., Kilbourne B. et al. (1994). The Gendered
Valuation of Occupations and Skills: Earnings in 1980 Census Occupations
// Social Forces. Vol. 73. №1.
- Elias P. (1997). Occupational Classification (ISCO-88): Concepts,
Methods, Reliability, Validity and Cross-National Comparability
// OECD Labour Market and Social Policy Occasional Papers. No.
20.
- Fields G. (2000) Measuring Inequality Change in an Economy with
Income Growth // The International Library of Critical Writings
in Economics: Income Distribution. L.: Edward Elgar, 2000.
- Firpo S., Fortin N., Lemieux T. (2009). Occupational Tasks and
Changes in Wage Structure. Unpublished Manuscript.
- Filer R. (1986). The Role of Personality and Tastes in Determining
Occupational Structure // Industrial and Labor Relations Review.
Vol. 39. № 3.
- Fogel W., (1979). Occupational earnings: market and institutional
influences // Industrial and Labor Relation Review. Vol. 33. №1.
- Goos M., Manning A. (2007). Lousy and Lovely Jobs: The Rising
Polarization of Work in Britain // Review of Economics and Statistics.
Vol. 89. №1.
- Harper B., Haq M. (1997). Occupational attainment of men in
Britain // Oxford Economic Papers. Vol. 49. №4.
- Hauser R., Warren J. (1997). Socioeconomic Indexes for Occupations:
A Review, Update, and Critique // Social Methodology. Vol. 27.
- International Labour Office (1990). International Standard Classification
of Occupations, ISCO-88. Geneva, International Labour Office,
1990.
- Kambourov G., Manovski I. (2009). Occupational Specificity of
Human Capital // International Economic Review. Vol. 50. №1.
- Kim C., Sakamoto A. (2006). The Rise of Intra-Occupational Wage
Inequality in the United States, 1983 to 2002 // American Journal
of Sociology. Vol. 73. №1.
- Knight J. (1979). Job Competitions, Occupational Production
Functions, and Filtering Down // Oxford Economic Papers. New Series.
Vol. 31. №2.
- Massey D., Hirst D. (1998). From Escalator to Hourglass: Changes
in the U.S. Occupational Wage Structure 1949—1989 // Social Science
Research. Vol. 27. №1.
- Parkin F. (1971). Class Inequality and Political Order: Social
Stratification in Capitalist and Communist Societies. N. Y.: Praeger,
1971.
- Rosen S. (1986). The Theory of Equalizing Differences // Handbook
of Labor Economics / O. Ashenfelter, R. Layard (eds.). Vol. 1.
Amsterdam: North Holland, 1986.
- Sabirianova Peter K. (2002). The Great Human Capital Reallocation:
A Study of Occupational Mobility in Transitional Russia // Journal
of Comparative Economics. Vol. 30. №1.
- Shaw K. (1984). A Formulation of the Earnings Function Using
the Concept of Occupational Investments // The Journal of Human
Resources. Vol. 19. №3.
- Shorrocks A. (1984). Inequality Decomposition by Population
Subgroups // Econometrica. Vol. 52. №6.
- Usui. E. (2009). Wages, Non-wage Characteristics, and Predominantly
Male Jobs // Labour Economics. Vol. 16. №1.
- Weeden K. (2002). Why Do Some Occupations Pay More than Others?
Social Closure and Earnings Inequality in the United States //
American Journal of Sociology. Vol. 108. №1.
- Willis R. (1986). Wage Determinants: a Survey and Reinterpretation
of Human Capital Earnings Function // Handbook of Labour Economics
/ O. Ashenfelter, R. Layard (eds.). Vol. 1. Ch. 10. Amsterdam:
North Holland, 1986.
Приложение











Рис. П1. Наблюдаемые (начальные) и скорректированные
на различия в структуре занятости профессиональные зарплатные "премии",
массовые профессии

Рис. П3. Гендерный разрыв в заработной плате внутри
массовых профессий в зависимости от доли женщин

Рис. П2. Индексы неравенства по заработной плате внутри
массовых профессий

Рис. П4. Вклад региона проживания во внутрипрофессиональное
неравенство и доля занятых в государственном секторе внутри массовых
профессий

Рис. П5. Необъясненный остаток (% от всей вариации)
по массовым профессиям
1 Ощепков А.Ю. –
научный сотрудник Центра трудовых исследований НИУ ВШЭ.
2 Автор благодарит
В.Е. Гимпельсона и Р.И. Капелюшникова за неоценимую помощь на разных
этапах подготовки исследования.
3 В недавнем исследовании
А. Лукьяновой (2010), в котором проводится обзор работ по неравенству
по заработным платам в России, профессиональное разделение труда
лишь мельком упоминается в качестве самостоятельного фактора неравенства.
Исключением можно считать Гл. 8 в книге «Заработная плата в России:
эволюция и дифференциация» (Заработная плата 2007).
4 Подробнее о соотношении
между понятиями «профессия» и «занятие» при таком подходе см., например:
Elias (1997), Иванов (2004), Мансуров, Юрченко (2009).
5 В ОКЗ первый уровень
квалификации соответствует основному общему образованию и среднему
(полному) общему образованию; второй уровень — начальному профессиональному
образованию; третий уровень — среднему профессиональному образованию;
четвертый уровень — высшему профессиональному образованию и послевузовскому
профессиональному образованию (см. Общероссийский классификатор
занятий).
6 Подробнее см.: International
Labour Office (1990).
7 Подробнее см., например:
Мансуров, Юрченко (2009).
8 Трудно избавиться
от ощущения, что социологическая наука придает профессиям заметно
большее значение, чем наука экономическая, в частности экономика
труда. Это косвенно подкрепляется тем, что в рамках социологии изучение
профессий выделено в специальную дисциплину с сильной исторической
традицией — социологию профессий, тогда как в рамках экономической
теории такая субдисциплина как экономика профессий на данный
момент не сформировалась.
9 См.: Blau, Dunkan
(1967), Parkin (1971), Шкаратан (1996а), Hauser, Warren (1997),
Weeden (2002), Kim, Sakamoto (2006).
10 См., например:
Шкаратан (1996б), Massey, Hirst (1998).
11 См.: Fogel (1979),
De Beyer, Knight (1989).
12 См.: Willis (1986).
13 См.: Shaw (1974),
Knight (1979), De Beyer, Knight (1989), Kambourov, Manovski (2009).
14 См. работы Autor
et al. (2003, 2006), Autor (2009) по США и Goos, Manning (2007)
по Великобритании.
15 В данных РМЭЗ,
как свидетельствует Sabirianova (2003), в 1996—1998 гг. профессиональная
группа на 4-м уровне ОКЗ была неправильно определена почти для 40%
(!) работников.
16 Различия в оплате
труда между профессиями подробно анализируются в разделе 5
17 Это вызвано заметным
превышением количества руководителей-женщин над количеством руководителей-мужчин
в оптовой и розничной торговле, образовании, здравоохранении и социальных
услугах. В этих видах деятельности заняты около 70% всех руководителей-женщин.
18 Это связано с
тем, что почти 85% горничных в выборке ОЗПП заняты в здравоохранении
и социальных услугах. Можно предположить, что речь идет о различных
домах отдыха, санаториях и/или профилакториях.
19 Следует отметить,
что коэффициент Джини — весьма популярный индекс для измерения неравенства
— не очень хорош для декомпозиции по подгруппам населения из-за
того, что при декомпозиции возникают пересечения, которые с трудом
поддаются интерпретации. Но при декомпозиции неравенства по компонентам
доходов этот индекс широко используется.
20 См.: Лукьянова
(2009), Ощепков (2009).
21 Отметим, что
для того, чтобы сделать окончательные выводы о росте влияния профессионального
разделения труда на неравенство, необходимо контролировать изменения
в структуре выборки ОЗПП с 2005 по 2007 г.
22 Нам удалось найти
единственную опубликованную работу Aage (1996), в которой, суммируя
информацию из различных источников (включая газетные и журнальные
публикации, а также опросы эмигрантов из России), автор попытался
проранжировать профессиональные группы по уровню заработных плат
в 1980 г. в СССР и в 1992 г. в России, и сопоставить их с профессиональной
структурой заработных плат в ряде развитых стран. Основные выводы
работы подтвердили мнение, что в СССР относительно более высоко
оплачивались профессии производственного сектора, включая «синие
воротнички». Однако, как отмечает сам автор, источник данных о профессиональных
заработных платах в СССР и России, а также сложность с межстрановым
сопоставлением профессиональных групп заставляет с осторожностью
относиться к полученным выводам.
23 Данная методология
применялась ранее для России (на микроданнъгх НОБУС) для исследования
межрегиональных различий в заработной плате в работах А.Ю. Ощепкова
(Ощепков 2007; 2009).
24 Отметим, что
сумма таких остатков по всем профессиональным группам, взвешенная
на доли занятых в каждой группе, равна нулю.
25 Уравнение (1)
включает два уровня данных — индивидуальный уровень и уровень профессий.
Оно может быть оценено с использованием техники оценки иерархических
линейных моделей (HLM 2), как, например, в работе (Weeden 2002).
Однако такой подход затрудняет оценку вклада в различия по заработной
плате отдельных факторов.
26 Это связано с
тем, что, во-первых, на 4-м уровне ОКЗ по многим профессиям доступно
лишь малое количество наблюдений. Во-вторых, наименование многих
профессий на 4-м уровне аналогично наименованию на 3-м уровне.
27 Количество медсестер
выросло примерно на 140%, т.е. почти в 2,5 раза. Интересно, что
при этом количество врачей, по данным ОНПЗ, выросло только примерно
на 10%.
28 См.: Filer (1986).
29 Другов, Рощина
(2002) показывают, что выбор образовательной специальности абитуриентами
значимо связан с их предпочтениями и способностями в изучении школьных
предметов.
30 См.: Davis, Moore
(1945).
31 См., например:
England et al. (1994), Weeden (2002).
32 В экономических
терминах — профессиональные группы начинают получать монопольную
ренту.
33 См.: Bergmann
(1974).
34 См.: England
et al. (1994).
35 См.: Usui (2009).
36 В данном случае
нельзя ожидать наличия положительной связи между премией за образование
и долей работников с высшим образованием, так как положительные
экстерналии могут локализовываться на отдельных предприятиях или
регионах, но никак не внутри профессий.
37 Хотя следует
отметить, что значимой корреляции между абсолютной и относительной
величиной необъясненного неравенства и охватом премиями или долей
премиальной части в общем размере заработной платы установить не
удалось. Это может объясняться тем, что структура заработных плат
только за один месяц не показательна.
|