|
|
 |
Потребление
алкоголя и здоровье россиян |
|
Над темой номера работали
|
 |
 |
|
Ирина ДЕНИСОВА
|
Марина КАРЦЕВА
|
|
Влияние потребления алкоголя на здоровье и риск смерти
В этом разделе мы приводим результаты оценивания влияния
потребления алкоголя на здоровье населения России и на риск смерти
на основе данных Российского мониторинга экономического положения
и здоровья населения (РМЭЗ). РМЭЗ – национально представительное
лонгитюдное обследование российских домохозяйств, проводимое с 1992
г. центром «Демоскоп», Институтом социологии РАН и Центром изучения
населения Университета Северной Каролины, США. Сотрудничество с
лучшими мировыми центрами исследований поведения домохозяйств при
формировании выборки, разработке анкеты, формировании и обучении
интервьюеров обеспечило этому исследованию высокое доверие со стороны
российских и зарубежных исследователей и лиц принимающих решения.
Анкета РМЭЗ содержит широкий набор вопросов, характеризующих разные
аспекты поведения индивидов в семье и на рынке труда, а также подробную
информацию о вредных привычках и показателях здоровья. Кроме того,
лонгитюдная природа обследования позволяет проследить траектории
поведения респондентов на протяжении многих лет, а также изучать
детерминанты смерти населения.
В ходе регрессионного анализа мы тестировали влияние
частого употребления алкоголя на здоровье и риск смерти, а также
разделяли общий эффект частого потребления алкоголя на частое потребление
водки (отдельно и в смеси) и частое потребление пива (отдельно и
в смеси, кроме водки). РМЭЗ позволяет определить, насколько часто
и какие напитки потребляет индивид. Мы выделили группу тех, кто
потребляет алкогольные напитки каждый день или 4-6 раз в неделю
и назвали ее «часто потребляющие алкоголь». Кроме того, мы также
выделили две подгруппы среди часто потребляющих алкоголь: те, кто
пьет водку, отдельно или в смеси с иными напитками («частое потребление
водки»), и те, кто пьет пиво, но не пьет водку («частое потребление
пива»).
Оценивание производится на микро данных РМЭЗ. В качестве
переменной здоровья используется самооценка человеком собственного
здоровья (очень плохое, плохое, удовлетворительное, хорошее и очень
хорошее). Мы используем как все категории, так и определяем бинарную
переменную: плохое и очень плохое здоровье против всех остальных
вариантов. Во всех случаях мы контролируем на пол, возраст, образование
респондента, душевой доход домомохозяйства, место проживания, индекс
массы тела и курение (курит респондент или нет). Кроме того мы контролируем
на самооценку человеком своего статуса по шкале (из девяти ступеней)
«не уважают-уважают». Это позволяет учесть влияние постоянного психологического
стресса на здоровье человека и отделить это влияние от влияния потребления
алкоголя.
Оценивание влияния потребления алкоголя на здоровье
производилось на совместной кросс-секции за 1994-2007 на панели
данных за те же годы. Влияние потребления алкоголя на риск смерти
оценивалось с использованием моделей дожития.
Как показывают результаты оценивания влияния потребления
алкоголя на здоровье, частое потребление алкоголя ухудшает здоровье.
Так, частое потребление алкоголя увеличивает вероятность иметь плохое
или очень плохое здоровье на 7 процентных пунктов. Более того, именно
частое потребление алкоголя с включением водки в «рацион»
приводит к ухудшению здоровья (риск плохого здоровья возрастет на
9 процентных пунктов), тогда как даже частое потребление пива не
оказывает статистически значимого эффекта на здоровье. Негативный
эффект частого потребления алкоголя на здоровье устойчив к методу
оценивания, и к контролю на индивидуально специфичные фиксированные
эффекты в частности. Частое потребление алкоголя увеличивает вероятность
иметь плохое или очень плохое здоровье на 17 процентных пунктов,
и весь эффект вызван частым потреблением водки.
Результаты оценивания влияния алкоголя на риск смерти
свидетельствуют, что именно частое потребление алкоголя, и прежде
всего крепкого алкоголя, увеличивает риск смерти. Просто потребление
водки или пива не оказывает статистически значимого эффекта. Частое
потребление алкоголя увеличивает риск смерти на 60 процентных пунктов.
Частое потребление водки приводит к росту риска смерти на 66 процентных
пунктов, тогда как частое потребление пива не имеет статистически
значимого эффекта.
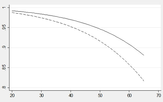
Полученные результаты можно представить в виде различий
в кривых дожития тех, кто часто пьет крепкие спиртные напитки, и
тех, кто редко потребляет крепкий алкоголь или совсем не пьет. Такие
кривые представлены на рис. 14. Как видно из соотношения кривых,
частое потребление водки укорачивает жизнь в среднем на 9-10 лет.
В то же время, как отмечено выше, влияния частого потребления пива
статистически не выявлено.

Рисунок 14. Прогнозные кривые дожития: часто потребляющие
крепкий алкоголь (прерывистая линия) и редко потребляющие или совсем
не потребляющие (сплошная линия)
Таким образом, регрессионный анализ с использованием
лонгитюдных данных позволяет выделить влияние различных типов потребления
алкоголя на здоровье и смертность населения, контролируя на влияние
других групп факторов. Наши результаты свидетельствуют о сильном
негативном воздействии частого потребления алкоголя на здоровье
и риск смерти. Умеренное потребление алкоголя не оказывает статистически
значимого эффекта. Кроме того, негативное влияние частого потребления
крепкого алкоголя превышает эффект частого потребления вина и пива:
частое потребление водки укорачивает жизнь в среднем на 9-10 лет,
тогда как влияния частого потребления пива статистически не выявлено.
|