|
Исторический прогноз численности населения России
Антипов В.И., Грачева И.И., Отоцкий П.Л.
(Материал с сайта Института прикладной математики им. М.В. Келдыша
РАН, адрес: http://www.keldysh.ru/papers/2008/prep45/prep2008_45.html)
Введение
Демографические процессы подстать геологическим, они
трудно управляемы и неотвратимы. Характерное время наблюдения тенденций
демографических процессов заключено в диапазоне 50 – 100 лет. Проблема
долгосрочного (до 100 лет) прогноза численности населения России
и его национальной структуры в настоящее время не имеет общепризнанного
решения. Возможны различные подходы с различной степенью достоверности
аргументации. Данная работа не претендует на окончательные числовые
оценки (это право официальных организаций: Института демографии
и Росстата РФ), а только использует их для обсуждения предлагаемых
методов. Мы рассмотрим несколько информационно обеспеченных подходов.
В первом подходе все население России рассматривается как однородная
среда, обладающая некоторыми обобщёнными коэффициентами рождаемости,
смертности и миграции, которые и определяют динамику её численности.
Во втором подходе используются уравнения когортной динамики, коэффициенты
которых идентифицируются по официальной отчётности. В третьем подходе
население делится на две группы, которые отличаются стериотипами
воспроизводства, т.е. коэффициентами рождаемости в соотношении 1
к 3. Коэффициенты смертности и миграции у них одинаковые. Прогноз
численности населения России в третьем подходе получается как сумма
прогнозов двух автономных групп населения, которые не «перемешиваются»
друг с другом.
Первый подход
Стандартная запись динамики численности населения.
Nt = Nt-1 + Rt – Ut + SMt + Xt , (1)
где:
Nt - отчётная численность населения в текущем году;
Nt-1 - отчётная численность
населения в предыдущем году;
Rt - отчётное количество родившихся в текущем году;
Ut - отчётное количество умерших в текущем году;
SMt - отчётное сальдо миграции;
Xt - ошибки наблюдения и прочие факторы.
Выберем следующую модель балансового соотношения.
^Nt = ^Nt-1* ( 1 + ^rt
– ^ut + ^smt ) + С, (2)
где:
rt = ^Rt /^Nt-1
- коэффициент рождаемости;
^ut = ^Ut /^Nt-1
- коэффициент смертности;
^smt = ^SMt /^Nt-1
- коэффициент сальдо миграции;
С - параметр идентификации модели;
Ot = Nt - ^Nt - ошибка модели.
Значения перечисленных показателей, соответствующих
отчётности Росстата [1] приведены в таблице 1.
Таблица 1.

Графики наблюдаемых значений и прогнозы коэффициентов
рождаемости, смертности и сальдо миграции приведены на рис.1.

Рисунок 1.
К сожалению, природа ошибок наблюдения и прочих факторов
нам неизвестна, поэтому идентификация параметра модели на интервале
1991-2006гг. производилась экспертно по подобию «ошибок модели»
«ошибкам наблюдения и прочим факторам». Было выбрано значение С
= 0,2. Графики «ошибок наблюдения прочих факторов» и «ошибок модели»
для С = 0,2 приведены на рис.2 .

Рисунок 2.
Обратим внимание на следующее обстоятельство: если бы
не было «ошибок наблюдения и прочих факторов», параметр идентификации
модели С равнялся бы нулю. И в этом случае траектория прогноза,
естественно, была бы иная. Гарантируя себя от неопределённых факторов,
мы построили ещё одну траекторию для С = 0. График наблюдаемых
значений и прогноз численности населения в соответствии со сделанными
гипотезами (которые соответствуют сравнительно спокойной и мирной
жизни страны) приведен на рис.3.

Рисунок 3.
Истинное значение численности населения заключено между
этими двумя кривыми, правда, при одном условии: если коэффициенты
рождаемости и смертности истинные. Глядя на них можно сделать достаточно
«оптимистический» вывод: мы не вымрем. В конце века после достижения
минимума в 131,1 млн. человек, численность населения России начнёт
медленно восстанавливаться за счёт иммиграции.
Второй подход
Представим все население страны как сумму годовых когорт
мужчин и женщин, численность которых косвенным образом (при помощи
процедуры сплайн-интерполяции) определяется по официальной статистической
отчётности о пятилетних когортах населения. Аналогично определяются
коэффициенты когортной рождаемости, смертности и миграции.
Для удобства расчетов численности когорт за номер когорты
принимается год рождения людей, входящих в когорту. Число мужчин
в когорте (t>i):
,
где:
Nmi – число мужчин в когорте i,
i – номер когорты (соответствует году рождения людей в когорте),
t – расчетный год,
t-i – возраст людей в когорте i,
kUm – возрастной коэффициент смертности
M – возрастной объем миграционного прироста
kMmw – доля мужчин в миграционном приросте
Аналогичные уравнения описывают динамику женских когорт.
Число новорожденных мальчиков (t=i) определяется следующим
образом:
,
где:
Nmi – число новорожденных мужчин
i – номер когорты (соответствует году рождения людей
в когорте), для новорожденных i = t,
kRmw – доля мальиков в новорожденных детях,
Введём обозначения
Nw – численность женщин по годовым когортам
kR* – возрастной коэффициент рождаемости по когортам
матерей
Рассчитаем распределение коэффициента рождаемости по
когортам матерей на основании интерполяции интеграла числа новорожденных
по возрастным группам. Число новорожденных в возрастной группе:

где:
R* - число новорожденных в возрастной группе матерей,
i – индекс возрастной группы (наибольший возраст
в группе),
kR* – коэффициент рождаемости по возрастной группе
матерей,
Nwk – число женщин возраста k,
1i – наименьший возраст в возрастной группе,
ni – наибольший возраст в возрастной группе.
Интеграл числа новорожденных по когортам:
С помощью кубических сплайнов осуществляется интерполяция
интеграла числа новорожденных по всем возрастам матерей от 0 до
85. В результате точки интеграла числа новорожденных по возрастным
группам матерей, полученные по официальной статистической информации,
соединяются кусочно-полиномиальной интерполяцией – функцией второго
порядка гладкости

Рисунок 4. Интеграл числа новорожденных по когортам
матерей
На Рис. 4 помимо сплайн-интерполяции интеграла числа
новорожденных по когортам матерей отображены значения полученные
по официальной статистической информации. Проверка заключается в
том, что общая численность родившихся и численность населения России
сопоставляется с суммой родившихся по когортам и общей численностью
когорт. Расхождение с расчетным значением составляет 0.2%.
На основании интеграла числа новорожденных по когортам
матерей рассчитывается распределение числа новорожденных по возрасту
матерей (гладкая функция):

Коэффициент рождаемости по годовым когортам матерей:


Рисунок 5. Коэффициент рождаемости по когортам матерей
Коэффициент смертности
Введём обозначения
kUm* – Возрастной коэффициент смертности
мужчин для России,
kUw* – Возрастной коэффициент смертности женщин
для России,
Распределение коэффициента смертности по возрастным
когортам мужчин и женщин рассчитывается путём интерполяции интеграла
числа умерших по возрастным группам. Таким образом
где:
Um* - число умерших мужчин в возрастной группе,
i – индекс возрастной группы (наибольший возраст
в группе),
kUm* – коэффициент мужской смертности по возрастной
группе,
Nmk – число мужчин возраста k,
1i – наименьший возраст в возрастной группе,
ni – наибольший возраст в возрастной группе.
Сумма числа умерших мужчин по когортам:
Аналогично рассчитывается число умерших женщин в возрастной
группе – Uw*i. и интеграл числа умерших
женщин по когортам – Uwi. С помощью кубических
сплайнов осуществляется интерполяция интегралов числа умерших мужчин
и женщин по всем возрастам от 0 до 85. В результате точки интегралов
числа умерших мужчин и женщин по возрастным группам, полученные
по официальной статистической информации, соединяются кусочно-полиномиальной
интерполяцией – функциями второго порядка гладкости.
Рисунок 6. Интеграл числа умерших по когортам. Россия,
2005
На основании интеграла умерших мужчин по возрасту рассчитывается
распределение числа умерших мужчин по возрасту (гладкая функция):
Аналогично рассчитывается распределение числа умерших
женщин по возрасту – uwi.
Таблица 2. Число умерших по когортам
Рисунок 7. Число умерших по когортам
Коэффициенты мужской и женской смертности по годовым
когортам определяются стандартно:
 ,
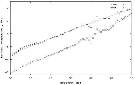
Результаты расчётов приведены на рис. 8

Рисунок 8. Линейная аппроксимация возрастных коэффициентов
смертности в логарифмическом масштабе
Из-за снижения численности населения, в возрастных
группах больше 60 лет наблюдается статистический разброс значений
коэффициента смертности. Для получения гладких распределений коэффициентов
смертности применялось сглаживание коэффициентов с помощью экспоненциальной
аппроксимации (закон Гомперца-Мейкема) с 20 по 80 возрастные группы.
Коэффициенты смертности в возрастных группах с 80 по 100 гладко
выводились на «плато» среднего значения коэффициента смертности
в данных возрастных группах. Для возрастных групп с 0 по 19 использовались
исходные рассчитанные значения коэффициентов смертности, которые
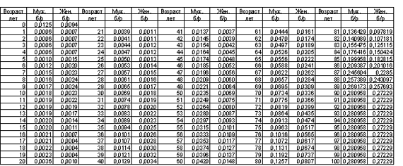
приведены в таблице 3.
Таблица 3. Коэффициенты мужской и женской смертности
по когортам
Рисунок 9. Коэффициенты мужской и женской смертности
по когортам
Миграционный прирост
Введём обозначения:
t-j – возраст в когорте j в момент времени t,
M0– миграцонный прирост детей с возрастом 0 (ноль),
kMmw – доля мужчин в миграционном приросте.
Если t<i, то Nmi = 0 и Nwi
= 0.
Интеграл миграционного прироста по возрасту:
где:
Mi – интеграл миграционного прироста по когорту i,
M*g – суммарный миграционный прирост в возрастной группе
(исходная статистическая информация по миграции публикуется по 5
летним возрастным группам),
g – индекс возрастной группы (наибольший возраст
в группе),
i – номер когорты.
С помощью кубических сплайнов осуществляется интерполяция
интеграла миграционного прироста по всем возрастам от 0 до 85. В
результате точки интеграла миграционного прироста полученные по
официальной статистической информации соединяются кусочно-полиномиальной
интерполяцией – функцией второго порядка гладкости.
Рисунок 10. Интеграл миграционного прироста по возрастным
группам. Россия, 2005
На основании интеграла миграционного прироста по возрасту
рассчитывается распределение миграционного прироста по возрасту.

Таблица 4. Миграционный прирост по возрастным группам
График миграционного прироста по возрастным группам
приведен на рис.11.

Рисунок 11. Миграционный прирост по возрастным группам
Распределение миграционного прироста является гладкой
функцией, т.к. интеграл миграционного прироста интерполировался
функцией второго порядка гладкости. Излом функции в возрасте 17
лет обуславливается тем, что для возрастов 14, 15, 16 и 17 лет в
официальной статистике приводятся конкретные значения миграционного
прироста (а не общая сумму для возрастной группы), фактически, на
данном интервале сплайн-интерполяция совпадает с линейной интерполяцией.
Пик в 17 лет совпадает с возрастом окончания школы и поступления
в высшие учебные заведения.
При осуществлении прогноза численности населения России
будем считать, что когортные коэффициенты смертности и миграции
сохраняются неизменными на всём диапазоне прогноза. Когортные коэффициенты
рождаемости возрастают в 1.3 раза к 2020 году (относительно 2005
года), а затем сохраняются на этом уровне до 2100 года. Результаты
вычислений приведены на рис.2, 3, 4, 5. Как видим, суммарный коэффициент
смертности непрерывно увеличивается, что объясняется уменьшением
численности молодых (где смертность мала) и сохранением численности
пожилых людей, где смертность высока.
Общие демографические коэффициенты России для интервала
1990- 2005 гг. приведены в таблице 5 и на рис.12.
Таблица 5


Рисунок 12. Общие демографические коэффициенты России
Используя рассмотренные выше уравнения когортной динамики
для мужчин и женщин, а так же прогнозы основных демографических
коэффициентов с учётом их распределения по когортам, был проведен
расчёт их динамики для всего исторического периода в 100 лет.
Рисунок 13. Динамика когорт населения России (мужчины)
Результаты расчётов когортных последовательностей приведены
на рис.13, а оценки численности населения в таблице 6. Как видим,
на историческом промежутке произойдёт затухание когортных колебаний,
вызванных сменой воспроизводственных стереотипов и плавное сокращение
численности населения до 74 миллионов в 2100 году.
Рисунок 14. Динамика когорт населения России (женщины)
Таблица 6. Прогноз общей численности населения России
Источники:
1 – прогноз по сценарию №1
2 – Демографический ежегодник России 2007: Стат.сб. / Росстат.
- М., 2007
3 – Предположительная численность населения Российской Федерации
до 2025 года: Стат.сб. / Росстат. - М., 2006.
4 – Прогноз по программе Института демографии ГУ ВШЭ (http://demoscope.ru/weekly/app/progn01.php)
5 – Прогноз Организации Объединенных Наций. World Population to
2300. Unated Nations, Department of Economic and Social Affairs,
Population Division, 2004.
На рис.15 приведены графики наблюдаемой численности
населения России и прогнозы, выполненные различными организациями.
Наибольшее совпадение прогноза авторов статьи – с прогнозом ООН.
Рисунок 15. Прогноз общей численности населения России
Рассмотрим теперь динамику коэффициента демографической
нагрузки, который представляет собой отношение количества населения
в нетрудоспособном возрасте к трудоспособным. Как следует из графика
на рис.15 наименьшее значение будет в районе 2009 года (что вызвано
большой смертностью большого количества пожилых людей) , а наибольшее
значение придётся на 2050 год, когда смертность начнёт падать, а
количество трудоспособных значительно сократится.
Рисунок 16. Коэффициент демографической нагрузки
Третий подход
Официальная статистическая отчетность по численности
национальных групп существует только по годам переписи населения,
т.е. для 1970, 1979, 1989 и 2002 года. Воспользуемся отчётностью
по последним двум переписям, результаты которых приведены в таблице
7 .
Таблица 7.
Официальные источники - [2] и [3] .
Разделим всё население России на две условные группы,
имеющие европейский и азиатский стереотип воспроизводства, которые
отличаются только коэффициентами рождаемости в соотношении 1 к 3,
а все остальные демографические характеристики у них одинаковы.
К первой группе отнесем: русских, украинцев, белорусов, немцев,
осетин, татар, мордву, бурят, евреев, чуваш (N1). Ко второй
группе (N2) - всех остальных Отдельно образуем третью группу
(N3) – русских, чтобы более подробно отследить динамику численности
самого многочисленного народа. Результаты приведены в таблице 8.
Таблица 8.

Поскольку официальная отчётность (либо расчёты) по
национальным группам отсутствует сделаем гипотезу о линейном характере
изменения пропорций каждой группы относительно общей численности
населения. Результаты расчётов приведены в таблице 9.
Таблица 9.

Далее мы посмотрим, какие должны быть коэффициенты
рождаемости первой и второй группы при сохранении общего коэффициента
рождаемости, принятого в первом подходе. Будем считать, что каждая
группа развивается автономно, не перемешиваясь друг с другом. Причём
рождаемость во второй группе в три раза больше, чем в первой. Коэффициенты
смертности и сальдо миграции будем считать одинаковыми в каждой
группе и равными соответствующим показателям первого подхода. В
результате получаем следующую систему уравнений относительно r1t,
r2t, N1t, N2t.
N1t = N1t-1*( 1 + r1t – ut + smt ) + С1,
N2t = N2t-1*( 1 + r2t – ut + smt )+ С2,
Nt = N1t + N2t,
r2t = 3*r1t ,
rt*Nt = r1t*N1t + r2t*N2t,
где:
Nt - общая численность населения России;
N1t, N2t – численность первой и второй
группы;
r1t, r2t - коэффициент рождаемости первой
и второй группы;
rt - коэффициент рождаемости, принятый в первом подходе;
ut - коэффициент смертности, принятый в первом подходе;
smt - коэффициент сальдо миграции, принятый в первом подходе;
С1, С2 – параметры идентификации моделей численности первой
и второй группы.
Идентификация моделей N1t и N2t,
которая производилась по соответствию общей численности населения
наблюдениям в 2007 году, даёт С1=0,09 и С2 =0,08.
Результаты расчёта коэффициентов рождаемости первой и второй группы
приведены на рис.5.
Рисунок 17. Расчётные коэффициенты рождаемости первой
и второй группы
Произошло понижение расчётных коэффициентов рождаемости,
что формально правильно, но противоречит гипотезам нормальной жизни
первого подхода, которые сохраняются и в третьем подходе. При нормальной
жизни коэффициенты рождаемости должны расти или как минимум стабилизироваться.
Таким образом, приходится признать очевидный факт: прогноз коэффициента
рождаемости первого подхода не может быть произвольным, а должен
подчиняться соотношению rt = (r1t*N1t
+ r2t*N2t)/Nt. Новые экспертно
заданные коэффициенты рождаемости первой и второй группы приведены
на рис.17 .
Рисунок 18. Коэффициенты рождаемости третьего подхода
Несмотря на выбор достаточно умеренного темпа роста
коэффициентов групп, суммарный коэффициент рождаемости третьего
подхода оказался больше коэффициента рождаемости первого подхода
примерно в полтора раза. В соответствии с вычисленными коэффициентами
была рассчитана численность первой (N1) и второй (N2)
групп и определена их сумма (N1+N2). График суммарного
значения численности третьего подхода для получения гарантированной
оценки (при С1 = 0 и С2 = 0) и график численности
населения первого подхода приведены на рис.19. Как видим, разница
достаточно серьёзная. В отличие от первого подхода, рост численности
в третьем подходе происходит не за счёт иммиграции, а за счёт бурного
роста численности второй группы.

Рисунок 19. Численность населения России в рамках третьего
подхода
Посмотрим теперь, каковы пропорции групп N1, N2,
N3 относительно суммарной (N1+N2)
численности населения, которые приведены на рис.20. Как видим, к
концу века доля русских в составе всего населения сократится с 0,814
до 0, 417 и будет приблизительно равна доле второй группы населения.

Рисунок 20. Доля групп населения в составе всего населения
Выводы
Обратим внимание на то, что результаты второго подхода
опровергают гипотезы рождаемости первого подхода: неравномерность
когортной динамики женщин (резкая смена численности когорт) даёт
иную картину основных демографических коэффициентов (рис.12) : графики
коэффициентов волнообразные, а не гладкие (рис1). В свою очередь,
результаты третьего подхода опровергают гипотезы второго подхода.
Большая рождаемость во второй группе населения приводит к взрывному
росту её численности, что не соответствует оценкам численности населения
второго подхода. Таким образом, все три подхода ошибочны. Стоило
ли тогда писать статью? Безусловно, стоило. Теперь совершенно ясно,
что долгосрочный прогноз необходимо делать только в категориях когортной
динамики, а основные коэффициенты идентифицировать отдельно для
каждой национальной группы. Сейчас эти данные отсутствуют. Росстату
РФ необходимо усовершенствовать статистическую отчётность по демографии
и опубликовать её, что (в связи с большим запаздыванием отклика)
позволит Правительству проводить более адекватную демографическую
политику.
Литература
- Россия в цифрах. 2007: Крат.стат.сб./ Росстат – М.,2007.
– 494 с.
- Российский статистический ежегодник. 2001: Стат.сб./
Росстат - М., 2001. – 679 с.
- Российский статистический ежегодник. 2006: Стат.
сб./ Росстат – М., 2006. – 806 с.
- Московская область в цифрах. Федеральная служба
государственной статистики. Территориальный орган федеральной
службы государственной статистики по Московской области, М.: 2006.
- Московская область в цифрах. Федеральная служба государственной
статистики. Территориальный орган федеральной службы государственной
статистики по Московской области, М.: 2005.
- Регионы России. Социально-экономические показатели
2006: Р32 Стат.сб./Росстат. - М., 2007.
- Предположительная численность населения Российской
Федерации до 2025 года: Стат.сб./Росстат. - М., 2006.
- Численность населения Российской Федерации по полу
и возрасту на 1 января 2006 года: Стат.сб./Росстат. - М., 2006.
- Итоги Всероссийской переписи населения 2002 года.
В 14 томах. Том 6.
|