|
|
Долгосрочные макротенденции развития
Мир-Системы и возможности их математического моделирования1
А.В. Коротаев, А.С. Малков, Д.А. Халтурина
(Опубликовано в книге: Синергетика. Будущее мира и России. Под
ред.
Г.Г. Малинецкого. Изд. ЛКИ, 2008: 92-132)
Введение. Удивительное открытие Хайнца фон Ферстера
В 1960 г. Х. фон Ферстер, П. Мора и Л. Амиот опубликовали
в журнале Science сообщение о своем удивительном открытии (von Foerster,
Mora, and Amiot 1960). Они показали, что между 1 и 1958 г. н.э.
динамика численность народонаселения мира (N) может быть с необычайно
высокой точностью быть описана при помощи следующего поразительно
простого соотношения2:
. |
(1)
|
где
Nt– это численность населения мира в момент
времени t, а Cи t0 – константы;
при этом t0 соответствует абсолютному пределу
(сингулярной точке), когда N стало бы бесконечным, если
бы численность населения мира продолжила расти по той же самой траектории,
по которой она росла с 1 по 1958 г. н.э.
Параметр t0 был оценен Х. фон
Ферстером и его коллегами как 2026,87, что соответствует 13 ноября
2026 г.; это, кстати, предоставило им возможность дать своей
статье предельно броское название "Конец света: Пятница, 13
ноября 2026 г. от Рождества Христова".
Из соотношения (1) следует, что, когда t будет
стремиться к t0 , численность населения Nt
будет неограниченно нарастать. Такие законы роста, при которых одна
из переменных неограниченно возрастает за коечное время, получили
название режимов с обострением. Теория таких режимов была
создана в научной школе С.П. Курдюмова.
Обратим внимание на то, что графическим выражением
приведенного выше уравнения является не что иное, как гипербола;
поэтому описываемый этим уравнением закон роста обозначается как
"гиперболический ".
Напомним, что гипербола определяется функцией:
. |
(2)
|
Ее график представлен ниже (если, например, k = 5) (рис.
1):

Рисунок 1. Гиперболическая кривая, определяемая функцией
(2)
Гиперболу определяет и формула:
. |
(3)
|
При x0 = 2 (а k по-прежнему равном 5) эта формула задает
следующую кривую (рис. 2):

Рисунок 2. Гиперболическая кривая, задаваемая формулой
Видим, что кривая генерируемая уравнением (3) на рис.
2 представляет собой точное зеркальное отображение кривой на рис.
1. Проинтерпретируем ось абсцисс как ось времени (ось t), а ось
ординат - как ось, по которой отложены значения численности населения
мира (исчисляемого в миллионах), заменим x0 числом 2027 (что представляет
собой просто результат округления значения, высчитанного Х. фон
Ферстером и его коллегами, 2026,87), а k заменим числом 2150003.
Это просто даст нам некоторый вариант уравнения Х. фон Ферстера
с определенными параметрами:
. |
(4)
|
Если разобраться, то получится, что уравнение фон Ферстера
предполагает нечто не вполне правдоподобное. Собственно говоря,
оно "утверждает", что если вы захотите узнать численность
населения мира (исчисляемого, напомним, в миллионах человек) в некотором
году, вам достаточно просто вычесть этот год из 2027, а затем поделить
215000 на полученную разность. На первый взгляд, подобный "примитивный"
алгоритм просто не может сработать - действительно, казалось бы,
динамика такой суперсложной системы, как планетарное человеческое
общество, не может быть сколько-нибудь точно описана при помощи
столь простенького уравнения. Однако давайте проверим, так ли это
на самом деле. Начнем, например, с 1970 г. Чтобы оценить численность
населения мира в 1970 г. при помощи уравнения фон Ферстера, мы должны
прежде всего вычесть 1970 из 2027. Естественно, мы получим 57. А
теперь осталось просто разделить 215000 на полученную разность (т.е.
на 57), и мы получаем оценку численности населения мира в 1970 г.
(в миллионах): 215000 ÷ 57 = 3771,9. Согласно базе данных Бюро
переписей США (U.S. Bureau of the Census 2006), численность населения
мира на 1970 г. составила 3708,1 млн. чел. При этом, конечно же,
ни один из сотрудников этого бюро не будет настаивать, что численность
населения мира в этом году составляла в точности 3708,1 млн. чел.
Действительно, даже на этот год в нашем распоряжении нет точных
переписных данных по достаточно большому числу стран; кроме того,
за один этот год население мира выросло почти на 80 млн. чел. Так
что полученный нами при помощи уравнения фон Ферстера результат
оказывается вполне в пределах погрешности измерения для соответствующего
года.
Теперь при помощи того же уравнения подсчитаем численность
населения Земли в 1900 г. Понятно, что для этого нам надо просто
поделить 215000 млн. на 127, что даст нам 1693 млн., что оказывается
в точности в пределах имеющихся эмпирических оценок (1600-1710 млн.
чел.) 4
Теперь проделаем ту же самую операцию для 1800 г.: 2027
- 1800 = 227; 215000
227 = 947,1 (млн.). Согласно имеющимся эмпирическим оценкам, численность
населения мира на этот год, действительно, составляла от 900 до
980 млн. чел.5.Теперь повторим эту операцию
для 1700 г.: 2027 - 1700 = 337; 215000 ÷ 337 = 640 (млн. чел.).
И снова мы оказываемся полностью в пределах имеющихся эмпирических
оценок численности населения мира на этот год (600-679 млн.)6.
Повторив тот же алгоритм еще раз, для 1400 г. получаем: 2027 - 1400
= 627; 215000 ÷ 627 = 343 (млн. чел.). И снова полученный результат
оказывается в пределах эмпирических оценок7.
Общая корреляция между кривой, определяемой уравнением фон Ферстера,
и наиболее детальным рядом эмпирических оценок выглядит следующим
образом (см. рис. 3):
Рисунок 3. Корреляция между эмпирическими оценками долгосрочной
динамики численности населения мира (в миллионах чел., 1000 - 1970
гг.) и кривой, генерируемой уравнением фон Ферстера
Примечание: черные маркеры соответствуют эмпирическим
оценкам численности населения мира, сделанным Мак-Эведи и Джоунсом
(McEvedy and Jones 1978) для 1000-1950 гг. и эмпирическим оценкам
Бюро переписей США (U.S. Bureau of the Census 2006) для периода
с 1950 г. по 1970 г. Серая кривая соответствует уравнению фон
Ферстера (4).
Формальные характеристики этой корреляции выглядят следующим
образом: R = 0,998; R2 = 0,996; α
= 9,4 × 10-17 ≈ 1 × 10-16.
Для читателей, не знакомых с прикладной матстатистикой, отметим,
что R2 в данном контексте может рассматриваться как мера
соответствия между динамикой, генерируемой математической моделью,
и эмпирически наблюдаемой динамикой; данная величина может быть
интерпретирована как та доля общей вариации, которая объясняется
соответствующим уравнением. Отметим, что 0,996 может быть представлено
как 99,6%8. Таким образом, несмотря
на свою предельную простоту, уравнение фон Ферстера объясняет поразительные
99,6% всей макродинамики численности населения мира с 1000 г. по
1970 г. (в том виде, как она эмпирически оценена Мак-Эведи и Джоунсом
[McEvedy and Jones 1978]) и Бюро переписей США (U.S. Bureau of the
Census 2006)9.
Отметим также, что эмпирические оценки динамики численности
населения мира выстраиваются удивительно точным образом вдоль именно
гиперболической кривой, что можно рассматривать в качестве вполне
убедительного основания для обозначения соответствующего типа роста
населения именно как "гиперболического".
Х. фон Ферстер и его коллеги показали наличие гиперболической
тенденции роста численности населения мира для периода с 1 г. по
1958 г. н.э.; позднее было показано, что эта тенденция прослеживается,
с одной стороны до 70-х гг. ХХ в.10,
а с другой - в течение нескольких миллионов лет до н.э. (Kapitza
1992, 1999; Kremer 1993)11. Действительно,
сделанные Мак-Эведи и Джоунсом (McEvedy and Jones 1978) эмпирические
оценки динамики численности населения мира за период 5000-500 гг.
до н.э. описываются гиперболическим уравнением с очень высокой степенью
точности (R2 = 0,996); и эта точность описания сохраняется
на очень высоком уровне и для периода 40000 - 200 гг. до н.э. (R2
= 0,990) (см., например: Коротаев 2006: 153-154). Общая картина
динамики численности населения мира с 40.000 г. до н.э. по 1970
г. н.э. также имеет гиперболическую форму (см. рис. 4):

Диаграмма 4. Динамика
численности населения мира, 40.000 г. до н.э. – 1970 г. (в млн.
чел.): корреляция между динамикой, генерируемой гиперболической
моделью и эмпирическими оценками
Примечание: R = 0,998, R2 = 0,996,
α << 0,0001. Черные маркеры соответствуют
эмпирическим оценка численности населения Земли, сделанным Мак-Эведи
и Джоунсом (McEvedy and Jones 1978) и Кремером (Kremer 1993) для
периода 40,000 г. до н.э. – 1950 г. н.э., а также Бюро переписей
США (U.S. Bureau of the Census 2006) за 1950–1970 гг. Сплошная
линия сгенерирована следующим вариантом уравнения фон Ферстера:

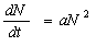
Нам часто приходится
слышать следующее возражение против утверждения о том, что общий
закон роста численности населения мира вплоть до 70-х гг. прошлого
века был гиперболическим. Мы просто не знаем сколько-нибудь точно,
какой была реальная численность населения Земли на протяжение большей
части человеческой истории (и в особенности до 1 г. н.э), и поэтому
в нашем распоряжении нет данных для того, чтобы мы могли хоть с
какой-то определенностью установить даже самую общую картину динамики
численности населения мира на протяжение большей части периода существования
человечества. Следовательно, у нас нет достаточных оснований принять
утверждение о гиперболической тенденции роста численности населения
мира в период с 40.000 г. до н.э. по 1970 г. н.э.
На первый взгляд, это возражение выглядит
совершенно убедительным. Например, на 1 г. н.э. оценки численности
населения мира колеблются между 170 млн. (McEvedy and Jones 1978)
и 330 млн. чел. (Durand 1977), в то время как для 10.000 г. до н.э.
разброс оценок становится уже совсем драматическим: от 1 до 10 млн.
чел. (Thomlinson 1975). Действительно, казалось бы, представляется
совершенно очевидным, что, имея в нашем распоряжении столь неточные
эмпирические данные, мы просто не можем быть в состоянии идентифицировать
характер общего тренда долгосрочной демографической макродинамики
мира.
Однако, несмотря на всю внешнюю убедительность
этого возражения, мы все-таки не можем его принять. Представим основания
для этого.
Начнем с 10 000 г. до н.э. Как уже
упоминалось выше, мы не знаем, сколько точно человек жило на Земле
в это время. Но мы можем быть вполне уверены, что численность населения
Земли на этот год превышала 1 млн. чел. и была меньше 10 млн. чел.
Подчеркнем, что эта оценка совсем не произвольна. Действительно,
по данным археологии и экономической антропологии, мы знаем вполне
достоверно, какие части пригодной для обитания человека суши были
заселены к этому времени, и какие формы жизнеобеспечения обитатели
соответствующих областей на данный период времени практиковали12
(см., например, Peregrine and Ember 2001), а также существование
какого числа человек 100 км2 занимаемой территории могли
поддержать при соответствующих способах ее хозяйственного освоения
(см., например: Коротаев 1991). Таким образом, мы знаем с достаточно
высокой степенью достоверности, что при тех технологиях присваивающего
хозяйства, которые человеческие популяции использовали в 10 000
г. до н.э., обитаемая часть земной поверхности не могла устойчиво
поддерживать существование более 10 млн. чел. (а реальная численность
населения Земли была в это время заметно меньше). Относительно 40
000 г. до н.э. мы можем лишь быть совершенно определенно уверены,
что численность населения Земли на этот год была несколько меньше,
чем в 10 000 г. до н.э. Мы не можем сказать, на сколько именно,
но, как мы увидим ниже, в данном контексте это для нас совсем не
существенно.
Имеющиеся оценки численности населения мира между 10.000
и 1 гг. до н.э. являются, конечно, гипотетическими в очень высокой
степени. Однако во 2 г. н.э. ситуация меняется достаточно существенно,
ибо именно от этого года до нас дошли данные "древнейшей в
мире переписи населения, информация которой до нас дошла "
(Bielenstein 1987: 14). Стоит особо отметить то обстоятельство,
что проведена эта перепись была в Китае, т.е. в одной из стран,
особо важных для нас в настоящем контексте. Эта перепись зафиксировала
в Китае около 59 млн. человек, подлежавших налогообложению (см.,
например: Bielenstein 1947: 126, 1986: 240; Durand 1960: 216; Loewe
1986: 206), или 57,671 млн. по более позднему перерасчету Х. Биленстайна
(Bielenstein 1987: 14). До 40-х гг. XVIII в. китайские переписи
имели тенденцию недоучитывать реальную численность населения этой
страны, так как до этого времени они, строго говоря, представляли
собой не реальные переписи, а скорее регистрацию налогоплательщиков;
понятно, что всегда и в любой стране значительная часть населения
делало все возможное для того, чтобы подобной регистрации избежать.
Также ясно, что обычно некоторая часть китайского населения этой
цели вполне успешно добивалась (см., например: Durand 1960). Таким
образом, как минимум мы можем быть совершенно уверены, что во 2
г. н.э. численность населения мира была никак не меньше 57,671 млн.
чел. Вместе с тем совершенно очевидно, что общая численность населения
Земли на этот год была значительно выше. Для этого периода
времени в нашем распоряжении имеются данные переписи римских граждан
(за 14 г. н.э.), что в сочетании с имеющейся в нашем распоряжении
довольно богатой информацией о римской социальной структуре и данными
нарративных и археологических источников дает возможность определить
с вполне высоким уровнем достоверности порядок численности населения
Римской империи (имеющиеся эмпирические оценки дают разброс в пределах
45–80 млн. чел. [Durand 1977: 274]). Письменные источники и археологические
данные также дают возможность установить порядок численности населения
Парфянской империи (10–20 млн. чел.) и Индии (50–100 млн. чел.)
(Durand 1977). Данные по населению почти всех остальных регионов
мира значительно менее достоверны, но не вызывает сомнения то обстоятельство,
что общая численность населения всех этих регионов взятых вместе
была значительно ниже суммарной численности населения Средиземноморья,
Среднего Востока, Индии и Китая (где во 2 г. н.э. обитало подавляющее
большинство населения Земли). В целом, мы можем быть вполне уверены,
что общая численность населения мира во 2 г. н.э. вряд ли могла
быть сколько-нибудь меньше 150 млн. чел., и крайне маловероятно,
что она могла сколько-нибудь существенно превышать 350 млн. чел.
Рассмотрим теперь 1800 г. н.э. Для соответствующего
периода имеются несравненно более достоверные и качественные, чем
когда-либо прежде, демографические данные по Европе, США, Китаю13,
Египту14, Индии, Японии и т.д. (Durand
1977). Поэтому, для данного года можно утверждать, что численность
населения мира не могла быть менее 850 млн. и более 1 млрд. чел.
Качество демографической ситуации радикально улучшается к 1900 г.,15
относительно которого у нас нет особых сомнений, что численность
населения мира на этот год находилась в пределах 1600–1750 млн.
чел. Наконец, к 1960 г. демографическая статистика выходит
на еще более высокий уровень достоверности, и мы можем быть вполне
уверены, что население мира в этом году находилось в пределах 2900–3100
млн. чел.
Теперь нанесем средние точки в указанных выше интервалах
эмпирических оценок на диаграмму и соединим соответствующие точки
(см. рис. 5).

Рисунок 5. Динамика численности населения мира по имеющимся
эмпирическим оценкам
Видим, что полученная общая картина долгосрочной динамики
численности населения мира имеет гиперболический вид. Теперь можно
поэкспериментировать и подвигать точки любым образом в пределах
указанных выше интервалов эмпирических оценок. При этом общая гиперболическая
форма долгосрочной динамики численности населения мира будет сохраняться
при любых обстоятельствах. Более того, можно попробовать заполнить
пространство между точками любыми эмпирическими оценками, которые
вы найдете. И вы увидите, что общая форма кривой численности населения
мира все равно останется определенно гиперболической. Например,
заменим оценки Мак-Эведи и Джоунса (McEvedy and Jones 1978), использованные
нами ранее для построения Диаграммы 4 на участке между 10 000 г.
до н.э. и 1900 г. н.э. (далее все равно различия между различными
эмпирическими оценками становятся минимальными) оценками Бирабена
(Biraben 1980) (при этом стоит отметить, что обычно оценки Бирабена
находятся ближе к прямо противоположной границе интервала относительно
оценок Мак-Эведи и Джоунса). Мы получим следующую картину (см. рис.
6). И в этом случае общая форма кривой численности населения мира
остается недвусмысленно гиперболической.

Рисунок 6. Динамика численности населения мира по Ж.Б.
Бирабену (Biraben 1980)
В чем же состоит объяснение этого парадокса? Действительно,
почему, хотя имеющиеся в нашем распоряжении оценки численности населения
мира на протяжении почти всей истории существования человечества
и не отличаются сколько-нибудь высокой достоверностью, мы можем
быть столь уверены, что общая тенденция демографической динамики
мира была с 40 000 г. до н.э. по 70-е гг. прошлого века гиперболической?
Ответ на этот вопрос предельно прост и сводится к тому,
что на протяжение интересующего нас участка времени численность
населения мира выросла на порядки. Да, это правда, что на протяжение
почти всей человеческой истории, мы не знаем сколько-нибудь достоверно
какое именно значение численность населения мира принимала в тот
или иной год в пределах того или иного порядка. Но для любого года
в пределах этого участка человеческой истории мы знаем с очень высокой
степенью достоверности, в пределах какого именно порядка численность
населения Земли находилась на этот момент времени. Поэтому уже сейчас
вполне ясно, что, какие бы археологические открытия ни были бы сделаны
в будущем, как бы ни были пересмотрены оценки прошлой численности
населения Земли, вероятность того, что они покажут, что общая тенденция
динамики этого показателя с 40000 г. до н.э. по 1970 г. н.э. была
не гиперболической (а, скажем, экспоненциальной или линейной), практически
близка к нулю.
"Экономический конец света": суббота, 23 июля,
2005 года
Отметим, что если бы Х. фон Ферстер и его коллеги имели
в своем распоряжении в дополнение к данным по динамике численности
населения мира еще и данные по динамике мирового ВВП за 1-1973 гг.
(которые, впрочем были опубликованы А. Мэддисоном только в 2001
г. [Maddison 2001]), они могли бы сделать и еще одно впечатляющее
"предсказание" - что в субботу, 23 июля, 2005 г. н.э.
произойдет "экономический конец света"; т.е. что в этот
день бесконечным должен был бы стать мировой ВВП, если бы общая
тенденция его роста, наблюдавшаяся в 1-1973 гг., продолжилась бы
и дальше. Они бы также обнаружили, что в 1-1973 гг. тенденция роста
мирового ВВП следовала не просто гиперболической, а квадратично-гиперболической
тенденции (подробнее см.: Коротаев, Малков, Халтурина 2005б: 41-44).
В самом деле, сделанные А. Мэддисоном эмпирические оценки
динамики мирового ВВП за 1-1973 гг. почти идеально математически
аппроксимируются следующим уравнением:
. |
(5)
|
где Gt - это мировой ВВП (в миллиардах международных
долларов 1990 г. в паритетах покупательной способности [ППС]) в
год t, С = 17355487,3, а t0 = 2005,56 (см. рис. 7):

Рисунок 7. Динамика мирового ВВП, 1-1973 гг. (в миллиардах
международных долларов 1990 г., в ППС): соответствие динамики, генерируемой
квадратично-гиперболической моделью, эмпирическим оценкам
Примечание: R = 0,9993, R2 = 0,9986, α<< 0,0001.
Черные маркеры соответствуют эмпирическим оценкам А. Мэддисона
(Maddison 2001); данные по производству мирового ВВП на душу населения
на 1000 г. скорректированы по В. А. Мельянцеву (1996, 2003, 2004;
Meliantsev 2004). Сплошная серая кривая определяется формулой:

Параметры С (17749573,1) и t0 (2006) определены методом
наименьших квадратов. Собственно говоря, как упоминалось выше,
наилучшее соответствие эмпирическим оценкам А. Мэддисона наблюдается
при следующих значениях параметров: С = 17355487,3 и t0
= 2005,56 (что и дает нам "экономический конец света в субботу,
23 июля 2005 г. н.э."), но мы решили здесь и далее ограничиться
при подборе значений t0 целыми значениями годов и избегать
дробных значений, которые при том общем уровне достоверности данных,
который есть в нашем распоряжении, все равно не имеют особого
смысла.
Единственное различие между простой и квадратичной гиперболой заключается
в том, что простая гипербола математически описывается уравнением
(2):
. |
(2)
|
в то время как в квадратично-гиперболическом уравнении
мы просто имеем x2 вместо x:
. |
(6)
|
Конечно же, квадратично-гиперболическое уравнение может
быть записано и следующим образом:
. |
(7)
|
Именно им мы и воспользовались выше для описания мировой
экономической макродинамики между 1 и 1973 гг. н.э. Алгоритм расчета
значения мирового ВВП по-прежнему остается очень простым. Например,
для подсчета значения мирового ВВП, произведенного в 1905 г. (в
миллиардах международных долларов 1990 г. в ППС) нам просто надо
прежде всего вычесть 1905 из 2005, но затем поделить С (17355487,3)
не на полученную разность (100), а на ее квадрат (1002
= 10000).
У тех читателей, которым не знакомы математические модели
гиперболического роста численности населения мира, может к этому
моменту уже накопиться много недоуменных вопросов16.
Каким образом долгосрочная макродинамика самой сложной социальной
системы может описываться со столь высокой точностью такими простыми
соотношениями? Почему эти формулы столь странно выглядят? В самом
деле, почему мы можем получить столь точную оценку численности населения
мира в год x (вплоть до 70-х гг. прошлого века) путем вычитания
x из некоего "года Конца света" с последующим делением
некоей константы на полученную разность? И почему для получения
оценки мирового производства ВВП на этот год мы должны перед делением
данную разность еще возвести в квадрат? Почему гиперболический рост
численности населения мира сопровождался квадратично-гиперболическим
ростом мирового ВВП? Что это - совпадение? Или гиперболический рост
численности населения мира и квадратично-гиперболический рост мирового
ВВП являются просто двумя сторонами одной медали, двумя тесно взаимосвязанными
составляющими некоего единого процесса? В этой статье мы постараемся
дать ответы на данные вопросы.
Однако прежде чем двигаться дальше, мы не можем не упомянуть
следующего обстоятельства. Как показывает весь наш опыт, большинство
не знакомых с математикой читателей перестает читать книги и статьи
(по крайней мере, наши книги и статьи), как только встречает словосочетание
"дифференциальное уравнение". Поэтому мы очень просим
таких читателей не пугаться присутствия этих слов в заголовке следующего
раздела и продолжать читать дальше. Вы увидите, что понимать смысл
дифференциальных уравнений (или, по крайней мере, некоторых таких
уравнений) совсем не так сложно, как это может показаться на первый
взгляд.
Дифференциальное уравнение роста численности населения
мира
Начнем с того, что уравнение фон Ферстера, является
решением следующего дифференциального уравнения (см., например:
Капица 1992, 1996, 1999; Korotayev, Malkov, and Khaltourina 2006a:
119-20):
. |
(8)
|
Это уравнение может быть записано и следующим образом:
. |
(9)
|
где .
Каков смысл математического выражения
? Смысл его очень прост. В нашем контексте dN/dt обозначает абсолютные
темпы роста численности населения в определенный момент времени.
Таким образом, данное уравнение говорит о том, что абсолютные темпы
демографического роста в каждый данный момент времени пропорциональны
квадрату численности населения на данный момент времени.
Нельзя не отметить, что это существенно демистифицирует
проблему объяснения гиперболической тенденции роста численности
населения мира. Теперь, чтобы объяснить гиперболическую тенденцию
роста численности населения мира мы должны просто объяснить, почему
на протяжение многих тысячелетий абсолютные темпы мирового демографического
роста были в тенденции пропорциональны квадрату численности населения
мира.
Мы полагаем, что наиболее существенный вклад в объяснение
феномена гиперболического роста численности населения мира внес
М. Кремер (Kremer 1993), на математической модели которого мы подробнее
остановимся в следующем разделе.
Математическая модель мирового демографического и технологического
роста Майкла Кремера
Модель М. Кремера основывается на следующих допущениях:
1) Прежде всего он делает мальтузианское (Malthus 1978)
допущение, что на протяжении большей части существования человечества
рост его численности на каждый данный момент времени был ограничен
потолком несущей способности земли, обусловленным наблюдаемым в
данный момент времени уровнем развития жизнеобеспечивающих технологий
(Kremer 1993: 681-682)17. Такое допущение
является совершенно обоснованным. Действительно, на протяжении большей
части существования человечества численность населения мира была
ограничена технологически обусловленным потолком несущей способности
Земли. Как уже упоминалось выше, при полном господстве технологий
присваивающего хозяйства (охоты, собирательства и рыболовства) Земля
не могла сколько-нибудь стабильно поддерживать существование более
10 млн. чел., потому что объем естественно доступной полезной для
человека биомассы на нашей планете ограничен, и численность населения
мира смогла превысить этот потолок, только когда люди начали применять
различные технологические средства для искусственного увеличения
объема этой биомассы, т.е. с переходом от присваивающего хозяйства
к производящему (земледелию и скотоводству). Однако экстенсивное
производящее хозяйство также могло поддержать существование ограниченного
числа людей, и дальнейший рост численности населения мира стал возможен
только в результате интенсификации земледелия и других технологических
инноваций.
Это допущение было математически выражено М. Кремером
при помощи следующего соотношения:
. |
(10)
|
где G это мировой ВВП, T – уровень технологического
развития, N – численность населения мира, а 0 < α
< 1 и r – параметры18.
При неизменном T (то есть, при отсутствии какого бы то ни
было технологического роста) это уравнение генерирует мальтузианскую
динамику. Например, допустим, что α = 0,5,
а T – константа. Вспомним, что N0,5 это
просто √N. Таким образом, при α = 0,5
четырехкратный рост населения будет приводить лишь к двукратному
росту производства (так как √4 = 2). Собственно говоря,
М. Кремер моделирует здесь закон убывающей отдачи Д. Рикардо
(Ricardo 1817), который при отсутствии технологического роста ведет
именно к мальтузианской динамике. Действительно, если при росте
населения в 4 раза производство растет лишь в 2 раза, это, естественно
ведет к двукратному падению уровня производства на душу населения.
Как это может отразиться на популяционной динамике?
М. Кремер делает уточняющее допущение, что "численность
населения растет, если подушевой доход превышает некоторый устойчивый
равновесный уровень m, и уменьшается, когда подушевой доход оказывается
ниже этого уровня", и что, чем выше в мальтузианской системе
среднедушевой доход, тем выше темпы демографического роста (Kremer
1993: 685). Поэтому с падением среднедушевого дохода темпы демографического
роста замедляются и приближаются к нулевому значению по мере того,
как среднедушевой доход приближается к m. Подчеркнем, что такого
рода популяционная динамика была в высшей степени характерна для
аграрных обществ, и механизмы подобной динамики известны очень хорошо
- действительно, если среднедушевой доход приближается к значению
m, это означает снижение потребления продуктов питания и ухудшение
здоровья подавляющего большинства населения, а значит, рост смертности
и снижение темпов демографического роста (см., например: Malthus
1978; Postan 1950, 1973; Abel 1974, 1980; Cameron 1989; Artzrouni
and Komlos 1985; Нефедов 2000, 2001, 2002а, 2002б, 2003, 2005; Малков
2002, 2003, 2004; Komlos and Nefedov 2002; Turchin 2003, 2005a,
2005b; Nefedov 2004; Малков, Селунская, Сергеев 2005; Turchin and
Korotayev 2006 и т.д.). Таким образом, при постоянном уровне технологии
численность населения не сможет превысить такой уровень, при котором
среднедушевой доход (g = G/N) станет равным m. Это означает, что
для любого данного уровня технологического развития (T) существует
"строго определенный уровень численности населения n",
который не может быть превышен (Kremer 1993: 685). Отметим, что
n может быть интерпретирован как значение потолка несущей способности
Земли, т.е. как та численность населения, воспроизводство которой
Земля способна поддерживать при данном уровне технологического развития.
Однако уровень технологического развития представляет
собой не константу, а переменную (см., например: Гринин 2006). И
для того, чтобы описать ее динамику М. Кремер использует свое следующее
базовое допущение:
2) "Высокая численность населения ускоряет технологический
рост19, так как она увеличивает число
потенциальных изобретателей … среди большего населения будет пропорционально
больше людей, достаточно удачливых и сообразительных, чтобы предложить
новые идеи" (Kremer 1993: 685), поэтому "темпы технологического
роста пропорциональны общей численности населения "20.
Собственно говоря, М. Кремер пользуется здесь основным допущением
теории эндогенного технологического роста (Kuznets 1960; Grossman
and Helpman 1991; Aghion and Howitt 1992, 1998; Simon 1977, 1981,
2000; Komlos and Nefedov 2002; Jones 1995, 2003, 2005 и т.д.). Это
допущение может быть предельно просто сформулировано следующим образом:
"Чем больше людей, тем больше изобретателей". Так как
это положение было, насколько нам известно, сформулировано (хотя
и несколько другими словами) С. Кузнецом (Kuznets 1960), мы будем
обозначать соответствующий тип динамики как "кузнецианский"21,
в то время как системы, в которых кузнецианская популяционно-технологическая
динамика сочетается с мальтузианской демографической, будут обозначаться
как "мальтузианско-кузнецианские". В целом, сформулированное
выше допущение представляется нам вполне правдоподобным - действительно,
вполне вероятно, что, при прочих равных условиях, за данный период
времени миллиард человек сделает где-то в тысячу раз больше изобретений,
чем миллион человек.
Математически это допущение выражено М. Кремером следующим
образом:
. |
(11)
|
Собственно говоря, это уравнение "утверждает",
что абсолютные темпы технологического роста в каждый данный момент
времени пропорциональны, с одной стороны, наличному на данный момент
уровню технологического развития (чем шире технологическая база,
тем больше изобретений можно сделать на ее основе), а с другой стороны,
они пропорциональны численности населения (чем выше численность
населения, тем больше число потенциальных изобретателей)22.
В своей базовой модели М. Кремер допускает, что "население
мгновенно выходит на уровень n" (всякий раз после его повышения
в результате технологического роста) (Kremer 1993: 685); далее он
объединяет уравнения технологической и популяционной динамики и
показывает, что их взаимодействие продуцирует именно гиперболический
демографический рост (Kremer 1993: 685-6; см. также: Подлазов 2000,
2001, 2002; Podlazov 2004; Tsirel 2004; Коротаев, Малков, Халтурина
2005б: 11; Korotayev, Malkov, and Khaltourina 2006a: 21-36).
Математическая модель М. Кремера дает вполне убедительное
объяснение, почему на протяжении большей части человеческой истории
общая тенденция демографического роста была гиперболической в связи
с тем, что абсолютные темпы мирового демографического роста были
в тенденции пропорциональны квадрату численности населения Земли
(N2). Например, почему рост численности населения с 10 до 100 млн.
человек должен был в тенденции приводить к росту абсолютных темпов
демографического роста (dN/dt) в 100 раз? Модель М. Кремера дает
этому очень убедительное объяснение (хотя сам М. Кремер и не показал
этого в достаточно ясном виде). А объяснение это заключается в том,
что рост численности населения мира с 10 до 100 млн. человек подразумевает,
что и уровень развития жизнеобеспечивающих технологий вырос приблизительно
в десять раз (так как он оказывается в состоянии поддержать существование
на порядок большего числа людей). С другой стороны, десятикратный
рост численности населения означает и десятикратный рост числа потенциальных
изобретателей, а значит, и десятикратное возрастание относительных
темпов технологического роста. Таким образом, абсолютная скорость
технологического роста вырастет в 10?10=100 раз (в соответствии
с уравнением (12)). А так как N стремится к технологически обусловленному
потолку несущей способности Земли, мы имеем все основания предполагать,
что и абсолютная скорость роста населения мира (dN/dt) в таком случае
в тенденции вырастет в 100 раз, то есть будет расти пропорционально
квадрату N.
Собственно говоря, модель М. Кремера дает достаточно
простое объяснение гиперболическому закону, показывая, что он является
результатом действия исключительно простого механизма - механизма
нелинейной положительной обратной связи второго порядка, которая,
как известно, и генерирует гиперболический рост, известный также
как "режим с обострением" (см., например: Курдюмов 1999;
Князева и Курдюмов 2005). В нашем случае эта обратная связь выглядит
следующим образом: технологический рост - рост потолка несущей способности
Земли (расширение экологической ниши) - демографический рост - больше
людей - больше потенциальных изобретателей - ускорение технологического
роста - ускоренный рост несущей способности земли - еще более быстрый
демографический рост - ускоренный рост числа потенциальных изобретателей
- еще более быстрый технологический рост - дальнейшее ускорение
темпов роста несущей способности Земли и т.д. (см. рис. 8):

Рисунок 8. Блок-схема нелинейной положительной обратной
связи между технологическим развитием и демографическим ростом (первый
вариант)
Эта положительная обратная связь может быть графически представлена
и еще более экономным образом (см. Диаграмму 9):

Рисунок 9. Блок-схема нелинейной положительной обратной
связи между технологическим развитием и демографическим ростом (второй
вариант)
Подчеркнем, что связь между технологическим развитием
и демографическим ростом не может анализироваться при помощи каких-либо
простых причинно-следственных моделей, ибо мы имеем здесь дело с
действительно динамическим нелинейным отношением между двумя процессами,
когда каждый из них является и причиной, и следствием другого.
Динамика мирового развития как
динамика развития Мир-Системы
Особого внимания здесь заслуживает то обстоятельство,
что модель М. Кремера позволяет снять одно из основных возражений
против гиперболических моделей роста населения мира. Начнем с того,
что, впервые познакомившись с математическими моделями роста населения
мира, мы сами испытали определенное недоверие по отношению к ним.
Действительно, их создание подразумевает, что население мира могло
рассматриваться в качестве единой системы на протяжение многих тысяч
лет, и уже фон Ферстер, Мора и Амиот прямо делали это допущение:
"Однако то, что может быть правильным по отношению
к элементам23, которые из-за отсутствия
между ними адекватной коммуникации должны принимать участие в соревновательной
игре с (почти) нулевой суммой выигрыша, может быть неправильным
для элементов24, обладающих системой
коммуникации, которая дает им возможность образовывать коалиции,
пока все элементы не оказываются столь сильно связаны между собой,
что все населения с точки зрения теории игр может рассматриваться
в качестве единого игрока, ведущего игру, в которой в роли второго
игрока-оппонента выступает природа" (von Foerster, Mora, and
Amiot 1960: 1292).
Однако имеются в высшей степени серьезные основания
усомниться в обоснованности подобного допущения. Вплоть до самого
недавнего времени (а в особенности до 1492 г.) человечество не представляло
собой системы ни в каком реальном смысле, ибо, например, рост населения
таких регионов, как Старый Свет, Новый Свет, Австралия и Тасмания
или Гавайские острова происходил практически полностью независимо
друг от друга. Так, представляется вполне очевидным, что бурные
демографические процессы, происходившие в I тысячелетии н.э. в Евразии,
не оказали абсолютно никакого влияния на синхронную демографическую
динамику, скажем, обитателей Тасмании (да и обратное влияние также
было просто нулевым).
Данное возражение с достаточными основаниями приводит,
например, Ю.В. Шишков в статье под симптоматическим названием ("Демографические
похождения физика")25:
"И после овладения речью и письменностью человечество
многие тысячи лет оставалось столь немногочисленным и разобщенным,
что одни его группы не имели понятия о существовании других. Давно
ли по историческим меркам европейцы и азиаты узнали о жителях Западного
полушария? Как такое человечество могло быть единым информационным
полем? Вряд ли Капица допускает, что песни бардов и рассказы стариков
у семейного очага при отсутствии спутниковых ретрансляторов звучали
на всю ойкумену. А если бы и звучали, то на языке, непонятном для
подавляющей части ойкумены" (Шишков 2005: 160).
Тем не менее, мы полагаем, что картина высокодетерминированной
технико-экономической, культурной и демографической динамики мира
в 500 г. до н.э. - 1500 г. н.э. ни в коей степени не является случайной.
Собственно говоря, она отражает динамику совершенно реальной системы,
зародившейся в начале голоцена на Ближнем Востоке в непосредственной
связи с начавшейся там аграрной ("неолитической") революцией
и постепенно охватившей собой весь мир. Вслед за А. Г. Франком (Frank
1990, 1993; Frank and Gills 1993) мы называем эту систему Мир-Системой,
и вслед за ним мы хотим подчеркнуть, что на то, чтобы Мир-Система
охватила собой весь мир, ушло много тысяч лет; и поэтому на протяжении
абсолютно большей части своего существования история Мир-Системы
ни в коем случае не была тождественна "всемирной истории".
Отметим, что, как было показано нами ранее (Коротаев,
Малков, Халтурина 2005a, 2005б), именно с развитием Мир-Системы
связано наличие гиперболического тренда роста народонаселения мира.
Наличие гиперболического тренда свидетельствует о том, что б?льшая
часть соответствующей общности (а в последнем случае, напомним,
речь идет о народонаселении мира) имела определенное системное единство,
и нам представляется, что в нашем распоряжении имеется достаточно
данных для того, чтобы утверждать, что подобное системное единство
действительно в рассматриваемую эпоху реально наблюдалось. Действительно,
в нашем распоряжении имеется достаточно данных о систематическом
распространении важнейших инноваций (доместицированных злаков, крупного
и мелкого рогатого скота, лошади, плуга, колеса, металлургии меди,
бронзы, а в дальнейшем и железа, и т.д.) с Ближнего Востока по всей
североафриканско-евразийской Ойкумене, начавшемся за много тысяч
лет до н. э. (см., например, Чубаров 1991). В результате данных
процессов эволюция обществ данного макрорегиона уже в это время
не может рассматриваться как полностью независимая.
Здесь представляется необходимым и следующий комментарий.
Конечно, у нас не было бы оснований говорить о Мир-Системе, простирающейся
от Атлантики до Тихого океана, даже для начала I тысячелетия н.э.,
если бы мы применяли критерий "массовых товаров" ("bulk-good"
criterion), предложенный И. Валлерстайном (Wallerstein 1974, 1987,
2004), потому что в это время какое-либо движение массовых товаров,
скажем, между Китаем и Европой полностью отсутствовало (и мы ни
имеем никаких оснований не согласиться с И. Валлерстайном в его
классификации попадавшего в данное время в Европу китайского шелка
как предмета роскоши, но никак не массового товара). Однако Мир-Система
I века н. э. (и даже I тысячелетия до н.э.) может вполне быть классифицирована
именно как Мир-Система, если мы применим здесь более мягкий критерий
"информационной сети", предложенный К. Чейз-Данном и Т.
Д. Холлом (Chase-Dunn and Hall 1997; см. также, например, Чешков
1999). Подчеркнем, что, как было показано нами ранее (Коротаев,
Малков, Халтурина 2005a, 2005б), наличие информационной сети, охватывающей
всю Мир-Систему, является совершенно достаточным условием, которое
делает возможным рассматривать всю Мир-Систему как единое развивающееся
целое. Да, в I тыс. до н. э. какие-либо массивные товаропотоки между
Тихоокеанским и Атлантическим побережьями Евразии были принципиально
невозможны. Однако Мир-Система достигла к этому времени такого уровня
интеграции, который уже делал возможным распространение по всей
Мир-Системе принципиально важных технологий за промежутки времени,
заметно меньше тысячелетия.
Другим важным моментом может представляться то обстоятельство,
что даже в I в. н.э. Мир-Система охватывала заметно менее половины
всей обитаемой земной суши. Однако гораздо более важным здесь представляется
другое обстоятельство: уже к началу I в. н. э. более 90 % населения
мира жило именно в тех регионах Земли, которые были интегральными
частями Мир-Системы (Средиземноморье, Средний Восток, Южная, Центральная
и Восточная Азия) (см., например, Durand 1977: 256). За несколько
тысячелетий перед этим мы имеем дело с поясом культур, также характеризовавшимся
удивительно сходным уровнем и характером культурной сложности, протянувшимся
от Балкан вплоть до границ долины Инда (см., например: Peregrine
and Ember 2001; Peregrine 2003)26.
Таким образом, уже несколько тысяч лет динамика населения мира отражает,
прежде всего, именно динамику населения Мир-Системы, что и делает
возможным ее описание при помощи математических макромоделей. Конечно,
бурное развитие технологии в Мир-Системе вплоть до XIX в. никак
не сказывалось, скажем, на популяционной динамике населения Тасмании,
много тысяч лет колебавшегося где-то на уровне 4000 чел. (Diamond
1999). Но кривая динамики общей численности населения мира отражает
прежде всего популяционную динамику Мир-Системы, а не тех частей
человечества, которые в нее не входили.
Отметим, что сказанное выше предполагает возможность
разработки нового подхода к мир-системному анализу. В рамках этого
подхода в качестве наиболее важного механизма интеграции Мир-Системы
могли бы рассматриваться генерация и диффузия инноваций. Если некое
общество систематически заимствует извне важные технологические
инновации, его эволюция уже не может рассматриваться в качестве
действительно независимой; это общество уже имеет смысл рассматривать
в качестве части некоего большего эволюционирующего целого, внутри
которого данные инновации систематически генерируются и распространяются.
Одной из главных задач мир-системного подхода было найти
эволюционирующую единицу. Базовой и совершенно разумной идеей здесь
было то соображение, что эволюцию отдельного общества совершенно
невозможно адекватно объяснить, не принимая во внимание то обстоятельство,
что любое такое общество было частью некоего более обширного целого.
Однако традиционный мир-системный анализ слишком сосредоточился
на изучении движения товаров массового потребления и эксплуатации
периферии со стороны ядра при почти полном игнорировании роли генерирования
и диффузии инноваций в мир-системной интеграции.
Вместе с тем, информационная сеть оказывается древнейшим
механизмом мир-системной интеграции, она играла исключительно важную
роль на протяжении всей истории эволюции Мир-Системы и продолжает
играть не менее важную роль в настоящее время. Эта роль представляется
даже более важной, чем та, что играла в эволюции Мир-Системы эксплуатация
(нередко мнимая) периферии со стороны ядра. (Не принимая во внимание
механизм генерирования и диффузии инноваций, невозможно объяснить
такие важнейшие мир-системные события, как, скажем, демографический
взрыв ХХ в., непосредственной причиной которого было радикальное
снижение смертности, но в качестве главной конечной причины которого
выступала именно диффузия инноваций, сгенерированных почти исключительно
мир-системным ядром).
Наряду с прочим предлагаемый подход предполагает и пересмотр
определения мир-системного ядра, в качестве которого в этом случае
имеет смысл понимать скорее не мир-системную зону, эксплуатирующую
другие зоны, а ту зону Мир-Системы, которая имеет наивысшее соотношение
между сгенерированными внутри нее (и получившими распространение
в других зонах) и заимствованными из других зон инновациями, которая
выступает в качестве донора инноваций в несравнимо большей степени,
чем в качестве их реципиента.
Компактная математическая модель экономического и демографического
роста Мир-Системы
На базе модели М. Кремера мы (Коротаев, Малков, Халтурина 2005б)
разработали математическую модель, которая описывает не только гиперболический
рост населения мира, но и экономическую макродинамику мира вплоть
до 1973 г.:
, |
(10)
|
, |
(11)
|
, |
(12)
|
где G это мировой ВВП, T - уровень технологического
развития Мир-Системы, N - численность населения Земли, а S - "избыточный"
продукт, производимый на одного человека сверх продукта m, минимально
необходимого для простого (с нулевой скоростью роста) (таким образом,
S = g - m, где g обозначает уровень производства ВВП на душу населения);
k1, k2, k3, и α (0 < α< 1) - параметры.
Мы также показали (Коротаев, Малков, Халтурина 2005б;
Korotayev, Malkov, and Khaltourina 2006a: 34-66), что система (10)
- (12) может быть упрощена до следующего вида:
. |
(12a)
|
. |
(13)
|
при этом мировой ВВП (G) может быт рассчитан при помощи следующего
уравнения:
Отметим, что математический анализ базовой системы уравнений
(10) - (12) позволил сделать предположение, что в "мальтузианско-кузнецианский"
макропериод человеческой истории (т.е. до 70-х гг. ХХ в.) значение
S (объем производства ВВП на душу населения при данном уровне развития
Мир-Системы) должно быть в тенденции пропорционально численности
населения Мир-Системы: S = kN (Коротаев, Малков, Халтурина 2005б:
25-28). Проделанный нами статистический анализ долгосрочных исторических
данных подтвердил эмпирическую обоснованность данного теоретического
вывода (Коротаев, Малков, Халтурина 2005б: 28-29; Korotayev, Malkov,
and Khaltourina 2006a: 49-50). Таким образом, в правой части уравнения
(12а) S может быть заменено kN, что дает нам следующее уравнение27:
Как мы помним, решение данного уравнения выглядит следующим
образом:
,
а графическое выражение этой функции представляет собой
гиперболу.
Так как, согласно нашей математической модели, S может
быть аппроксимировано как kN, то долгосрочная динамика этого показателя
может быть аппроксимирована при помощи следующего соотношения:
|

|
(15)
|
Таким образом, изменение наиболее динамичной компоненты
мирового ВВП, SN, "мирового избыточного продукта", может
быть аппроксимировано следующим образом:
|

|
(16)
|
Итак, долгосрочная динамика мирового ВВП вплоть до начала
70-х гг. прошлого века может быть аппроксимирована при помощи квадратичной,
а не простой гиперболы; и, как мы могли видеть это выше (см. рис.
7)28, эта аппроксимация работает с
неожиданно высокой точностью.
Таким образом, вплоть до 70-х гг. ХХ в. гиперболический
рост численности населения мира сопровождался квадратично-гиперболическим
ростом мирового ВВП, как это и должно было быть согласно нашей математической
модели. Подчеркнем, что гиперболический рост численности населения
мира и квадратично-гиперболический рост мирового ВВП представляют
собой два теснейшим образом связанных процесса, две стороны одной
медали, двумя измерениями единого процесса развития Мир-Системы,
поддерживаемого механизмом нелинейной положительной обратной связи
между технологическим развитием и демографическим ростом (см. рис.
10):

Рисунок 10. Блок-схема нелинейной положительной обратной
связи между технологическим развитием и демографическим ростом (третий
вариант)
Таким образом, система нелинейных положительных обратных
связей второго порядка с неизбежностью порождает гиперболический
рост. Другими словами, долгосрочная тенденция к гиперболическому
росту основных показателей развития Мир-Системы является логичным
результатом нелинейных положительных обратных связей между ее основными
подсистемами.
Динамика роста мировой грамотности
Ранее (Коротаев, Малков, Халтурина 2005а) нами было
показано, что динамика роста грамотности населения Мир-Системы (l)
очень точно описывается следующим дифференциальным уравнением:
|
.
|
(17)
|
где l - доля грамотного населения, S - "избыточный"
продукт, производимый при данном уровне технологического развития
Мир-Системы на одного человека, a - константа. По сути дела, это
разновидность автокаталитической модели. Данное уравнение имеет
тот смысл, что рост уровня грамотности пропорционален доле грамотного
населения l (потенциальные учителя), доле неграмотного населения
(1 - l) (потенциальные ученики) и наличию излишков S, которые могут
использоваться на образовательные программы (кроме того, S связано
с уровнем технологий T, в том числе образовательных, увеличивающих
скорость обучения). С математической точки зрения, уравнение (18)
аналогично логистическому уравнению, где насыщение достигается при
уровне грамотности l = 1, а S отвечает за скорость выхода на этот
потолок.
Важно отметить, что при низких значениях l (а это абсолютно
большая часть человеческой истории), порождаемый этой моделью рост
может быть достаточно точно аппроксимирован гиперболически (см.
Диаграмму 11):

Рисунок 11. Динамика мировой грамотности, 1-1980 гг.
(в %): соответствие гиперболической модели наблюдаемым данным
Примечания: R = 0,997, R2 = 0,994, α <<
0,0001. Черные маркеры соответствуют оценкам ЮНЕСКО (World Bank
2006) для периода после 1970 г.; для предшествующего периода использованы
оценки, полученные на основе данных, опубликованных В. А. Мельянцевым
(1996, 2003, 2004; Meliantsev 2004). Сплошная серая кривая сгенерирована
следующим уравнением:

Параметры С (3769,1) и t0 (2040) определены методом
наименьших квадратов.
Число грамотных людей пропорционально, с одной стороны,
уровню грамотности, а с другой стороны, общему числу людей. Так
как обе эти переменные испытывали вплоть до 60-х гг. ХХ в. гиперболический
рост, следует ожидать, что вплоть до самого недавнего времени число
грамотных людей на Земле (L)29 росло
не просто гиперболически, а квадратично-гиперболически (подобно
мировому ВВП). Наша эмпирическая проверка этой гипотезы подтвердила
ее - оказалось, что квадратично-гиперболическая модель описывает
рост числа грамотных обитателей этой планеты с необычайно высокой
точностью (рис. 12):

Рисунок 12. Динамика численности грамотного населения
мира (L, в млн чел.), 1-1980 гг.: соответствие квадратичной гиперболической
модели наблюдаемым данным
Примечания: R = 0,9997, R2 = 0,9994, α <<
0,0001. Черные маркеры соответствуют эмпирическим оценкам ЮНЕСКО
(World Bank 2005) для периода после 1970 г.; для предшествующего
периода использованы оценки, полученные на основе данных, опубликованных
В. А. Мельянцевым (1996, 2003, 2004; Meliantsev 2004) с учетом
изменения возрастной структуры населения (UN Population Division
2006). Сплошная серая кривая определяется следующей формулой:
Параметры С (4958551) и t0 (2033) определены методом наименьших
квадратов.
Динамика роста мировой урбанизации
Сходные процессы наблюдаются и применительно к урбанизации,
макродинамика которой описывается сходным дифференциальным уравнением
(см. Коротаев, Малков, Халтурина 2007):
|
,
|
(18)
|
где u - доля городского населения, S - "избыточный"
продукт, производимый при данном уровне технологического развития
Мир-Системы на одного человека, b - константа, а ulim
- предельно возможная доля городского населения. Отметим, что данная
модель предполагает, что в эпоху развития в режиме с обострением
гиперболический рост мировой урбанизации в тенденции сопровождался
квадратично-гиперболическим ростом городского населения мира, что
подтверждается нашими эмпирическими тестами (см. рис. 13 и 14):

Рисунок 13. Динамика мировой мегаурбанизации (% населения
мира, живущего в городах с числом жителей > 250 тыс.), 10000
г. до н.э. - 1960 г. н. э.: соответствие простой гиперболической
модели эмпирическим оценкам
Примечания: R = 0,987, R2 = 0,974 ,α <<
0,0001. Черные маркеры соответствуют оценкам Д. Р. Уайта и др.
(White et al. 2006) с учетом данных Т. Шандлера (Chandler 1097)
и ООН (UN Population Division 2006). Сплошная серая кривая определена
формулой:

Параметры С (403,012) и t0 (1990) определены методом
наименьших квадратов. Для сравнения: лучшее соответствие (R2),
получаемое для экспоненциальной модели, составляет 0,492.

Рисунок 14. Динамика численности жителей крупных городов
(> 250 тыс. чел.), в млн. чел., 10000 г. до н. э. - 1960 г. н.
э.: соответствие квадратичной гиперболической модели эмпирическим
оценкам
Примечания: R = 0,998, R2 = 0,996, α <<
0,0001. Черные маркеры соответствуют оценкам Д. Р. Уайта и др.
(White et al. 2006) с учетом данных Т. Шандлера (Chandler 1987)
и ООН (UN Population Division 2006). Сплошная серая кривая сгенерирована
следующей формулой:
.
Параметры С (912057,9) и t0 (2008) определены методом наименьших
квадратов. Для сравнения: лучшее соответствие (R2),
получаемое для экспоненциальной модели, составляет 0,637.
В связи с этим не вызывает удивления, что квадратично-гиперболическую
динамику демонстрирует и динамика численности населения самого крупного
поселения Мир-Системы (см. рис. 15):

Рисунок 15. Динамика размеров крупнейшего поселения
мира, в тыс. чел., 10000 г. до н. э. - 1950 г. н. э.: соответствие
квадратичной гиперболической модели эмпирическим оценкам
Примечания: R = 0,992, R2 = 0,984, α <<
0,0001. Черные маркеры соответствуют оценкам Г. Моделски (Modelski
2003), Т. Шандлера (Chandler 1987) и ООН (UN Population Division
2005). Сплошная серая кривая определяется уравнением:

Параметры С (104020618,573) и t0 (2040) определены
методом наименьших квадратов. Для сравнения: лучшее соответствие
(R2), получаемое здесь для экспоненциальной модели,
составляет 0,747.
Как было показано культурными антропологами (см., например:
Naroll and Divale 1976; Levinson and Malone 1980: 34), размер самого
крупного поселения в доаграрных, аграрных и раннеиндустриальных
обществах является неплохим индикатором общего уровня социокультурной
сложности соответствующей системы, что заставляет предполагать,
что и этот интегративный показатель рос в эпоху развития в режиме
с обострением по квадратично-гиперболическому закону.
Выход Мир-Системы из режима с обострением
Конечно же, для уровня грамотности особенно очевидно,
что его рост после середины 1960-х гг. не мог продолжиться сколько-нибудь
долго - ведь он по определению не может превысить 100 %. Тем более,
что с конца 1970-х гг. стал сказываться и эффект насыщения30,
описываемый нашей моделью, и темпы роста мировой грамотности стали
замедляться (см. рис. 16):

Рисунок 16. Динамика роста мировой грамотности, 1975-1995
гг., прирост процента грамотного населения мира, по пятилетиям
Однако еще до этого рост мировой грамотности и других
показателей уровня развития человеческого капитала успел привести
к началу процесса выхода Мир-Системы из режима с обострением. Как
было показано нами ранее, гиперболический рост населения (а также,
соответственно: городов, школ и т.д.) наблюдается только при относительно
низких (< 0,5, т. е. < 50 %) значениях уровня мировой грамотности.
Чтобы описать демографическую динамику Мир-Системы и в последние
десятилетия, оказывается необходимым расширить систему уравнений
(12)-(13) добавлением к ней равенства (17) и прибавлением в уравнение
(12) множителя (1 - l), в результате чего мы получаем математическую
модель, описывающую не только гиперболическое развитие Мир-Системы
вплоть до 60-х - 70-х гг. ХХ в., но и наблюдающийся в настоящее
время выход из режима с обострением:
Мы ни в коем случае не утверждаем, что рост грамотности
- это единственный фактор глобального демографического перехода
и выхода из режима с обострением. Очень важную роль здесь, конечно,
играли и многие другие факторы, такие как развитие систем здравоохранения
или социального обеспечения (см., например, Chesnais 1992). Однако
все эти переменные вместе с грамотностью могут рассматриваться как
разные параметры одной интегративной переменной - уровня развития
человеческого капитала (см., например: Мельянцев 1996, 2003, 2004,
Meliantsev 2004). Стоит также отметить и то обстоятельство, что
эти переменные связаны с демографической динамикой образом, очень
сходным с тем, что был описан применительно к грамотности. В начале
демографического перехода развитие системы социального обеспечения
очень тесно коррелирует с уменьшением смертности, так как динамика
обеих переменных в своей основе детерминируется, в конечном счете,
одним и тем же фактором - растущим ВВП на душу населения. Однако
на второй фазе демографического перехода развитие системы социального
обеспечения оказывает достаточно сильное и независимое отрицательное
воздействие на рождаемость через устранение одного из важнейших
стимулов к максимизации числа детей в семье.
Влияние на демографическую динамику развития системы
здравоохранения демонстрирует еще более тесные параллели с тем,
что мы наблюдали для роста грамотности. Отметим, прежде всего, что
развитие современной системы здравоохранения самым прямым образом
связано с развитием современной системы образования (которая, наряду
с прочим, готовит медицинские кадры, без которых современная система
здравоохранения была бы просто невозможна). С одной стороны, во
время первой фазы демографического перехода развитие современной
системы здравоохранения выступает в качестве одного из важнейших
непосредственных факторов снижения смертности. С другой стороны,
когда потребность в снижении рождаемости достигает критического
уровня, именно современная медицина разрабатывает все более и более
эффективные технологии, практики и средства планирования семьи.
Примечательным представляется, что рост данной потребности наблюдается
во многом в результате снижения смертности, которая не могла бы
достичь критически низких значений без достаточно развитой системы
здравоохранения.
Стоит вспомнить, что механизмы воздействия грамотности
на демографическую динамику имеют почти идентичную структуру: максимальные
значения относительных темпов роста населения не могут быть достигнуты
без выхода на определенный (достаточно высокий) уровень экономического
развития, который, в свою очередь, не может быть достигнут без достаточно
заметного развития системы образования. Таким образом, тот факт,
что система достигла максимальных темпов относительного роста населения,
почти по определению подразумевает, что и уровень грамотности достиг
таких значений, что отрицательное воздействие женской грамотности
на рождаемость выросло до такого уровня, который повлечет за собой
снижение относительных темпов роста населения. С другой стороны,
как уровень развития системы социального обеспечения, так и уровень
развития системы здравоохранения демонстрируют очень тесную корреляцию
с уровнем грамотности31. В результате,
если мы знаем, что уровень грамотности в стране А достигает 90%,
а в стране Б грамотна лишь четверть взрослого населения, мы можем
быть уверены, что и системы здравоохранения и социального обеспечения
в стране А находятся на несравнимо более высоком уровне развития,
чем в стране Б. Таким образом, уровень грамотности оказывается очень
сильным индикатором уровня развития и таких важных факторов уменьшения
рождаемости, какими являются системы социального обеспечения и здравоохранения.
Так как и в реальности, и в нашей макромодели как спад
смертности в начале процесса демографического перехода (приведший
к демографическому взрыву), так и спад рождаемости на его второй
фазе (приведший к радикальному уменьшению относительных [а затем
и абсолютных] темпов роста населения) были, в конечном счете, произведены
одним фактором (ростом человеческого капитала), оказалось возможным
избежать включения в нашу модель смертности и рождаемости в качестве
самостоятельных переменных. С другой стороны, грамотность оказалась
крайне чутким индикатором уровня развития человеческого капитала,
что сделало возможным избежать включения в макромодель в качестве
самостоятельных переменных других параметров этой интегративной
переменной (например, разного рода показателей уровня развития систем
здравоохранения или социального обеспечения).
Отметим, что гиперболический рост целого ряда других
важнейших показателей развития Мир-Системы (таких как уровень грамотности
или урбанизации) перестал быть в последние десятилетия гиперболическим
в силу действия элементарного эффекта насыщения - скажем, грамотность
просто по определению не может превысить 100 %, и в силу описанных
выше механизмов ее рост начинает все больше замедляться при приближении
к этому уровню, неизбежно трансформируясь из гиперболического в
логистический.
Модель (19)-(13)-(17) описывает математически выход
из режима с обострением не только динамики роста мирового населения
и мировой грамотности, но и мировой экономической динамики. Однако
эта модель не описывает замедления темпов экономического роста Мир-Системы
после 1973 г., ведь согласно этой модели темпы роста мирового ВВП
продолжают расти и после начала выхода Мир-Системы из режима с обострением,
но все более медленными темпами. В реальности после 1973 г. замедлилась
не просто скорость увеличения темпов роста мирового ВВП, но и сами
эти темпы. Представляется, что приблизить описание мировой экономической
динамики к реально наблюдаемой можно было бы добавлением множителя
(1 - l) и в уравнение (14). Этот множитель имел бы следующий смысл:
более грамотное население более склонно направлять больше средств
в ресурсовосстановление, что, с одной стороны, открывает перспективу
выхода на траекторию устойчивого развития, но, с другой стороны,
замедляет темпы экономического роста (ср. Люри 2005). Отметим, что
развитие по такому сценарию не отменяет правильности уравнения технологического
роста (12). Таким образом, модифицированная модель предполагает,
что полный выход Мир-Системы из режима с обострением будет означать
стабилизацию численности населения мира, производства мирового ВВП
и ряда других показателей (таких как мировые урбанизированность
и грамотность - в связи с насыщением, т. е. выходом на предельно
возможный уровень); однако технологический рост будет продолжаться,
но уже не гиперболически, а экспоненциально. Таким образом, прекращение
роста мирового ВВП не будет означать прекращения роста уровня жизни
населения мира. И достигаться это будет благодаря т. н. эффекту
Нордхауса (Nordhaus 1997).
Суть этого эффекта можно пояснить следующим образом.
Допустим вы получили 1000 долларов и отправились в магазин покупать
себе компьютер. Теперь представьте себе, какой компьютер вы смогли
бы купить на ту же тысячу долларов пять лет назад. Конечно же, тот
компьютер, который вы сможете купить на тысячу долларов сейчас будет
гораздо лучше, эффективнее, удобнее и т. п., чем тот компьютер,
который вы смогли бы купить на ту же тысячу долларов пять лет назад.
Однако если вы посмотрите в справочник Всемирного банка, вы обнаружите,
что в паритетах покупательной способности 1000 долларов сегодня
заметно меньше, чем 1000 долларов пять лет назад.
Дело в том, что традиционные меры экономического роста
(и прежде всего, ВВП, измеряемый в международных долларах в паритете
покупательной способности) во все большей и большей степени перестают
улавливать реальный рост уровня жизни (и в особенности, в наиболее
развитых странах). Допустим, некая фирма, выпускавшая в 2000 г.
по миллиону компьютеров в год, и продающая их по 1000 долларов за
штуку, сняла с производства старые компьютеры, и запустила новые,
значительно более эффективные (а что делать? иначе ведь фирма разориться),
и в 2005 г. выпускает их уже в количестве 1 миллион сто тысяч и
продает по прежнему по тысяче долларов за штуку (а если цену увеличить,
то кто их купит?). Как это отразится на показателе ВВП страны, где
эта фирма расположена, и на мировом ВВП? Никак. В 2005 г. фирма
выпустила компьютеров на 110 миллионов долларов. Допустим, что при
этом ей удалось уменьшить издержки, увеличив за счет этого и прибыль
и зарплату работникам. Но Всемирный банк пересчитает эту цифру на
международные доллары 2000 г., и выяснится, что 110 миллионов долларов
2005 г. в паритетах покупательной способности равны 100 миллионов
международных долларов 2000 г. Следовательно, ощутимый технологический
прорыв, достигнутый фирмой и приведший к заметному росту уровня
жизни заметного числа людей, никак не отразится на сводках Всемирного
банка, который не зафиксирует никакого прироста ВВП ни для данной
страны, ни для мира в целом.
Дело здесь в том, что рост производства будет фиксироваться
в традиционных мерах, только если он связан с увеличением потребления
ограниченных ресурсов (включая и рабочую силу). Если он достигается
в отсутствие такого увеличения, то его вроде бы как и нет. Модифицированная
макромодель и прогнозирует такую ситуацию, предполагая, что выход
Мир-Системы из режима с обострением завершится прекращением роста
мирового ВВП в традиционных мерах его измерения, при переходе к
экспоненциальному (но не гиперболическому) росту технологии и уровня
жизни, который будет достигаться без роста потребления ограниченных
ресурсов.
Необходимо подчеркнуть, что нынешнее падение темпов
роста коренным образом отличается от спадов и колебаний прошлого.
Это не очередное колебание, это фазовый переход на новый, не типичный
для всей прежней истории, режим развития. Если все предыдущие спады
численности населения мира происходили на фоне катастрофического
падения уровня жизни населения и были вызваны, прежде всего, увеличением
смертности вследствие различных катаклизмов: войн, голода, эпидемий
- и по мере завершения этих бедствий человечество быстро восстанавливалось
и выходило на прежнюю траекторию, то нынешний спад происходит на
фоне экономического подъема и вызван качественно отличными причинами:
резким снижением рождаемости, происходящего как раз из-за роста
уровня жизни основной массы населения Мир-Системы и вызванного этим
роста уровня образованности, обеспеченности медицинским обслуживанием
(включая разнообразные методы и средства планирования семьи), социальным
страхованием и т. п. Снижение темпов роста грамотности и урбанизированности
также нередко наблюдалось в предшествующие эпохи, но тогда оно было
связано с нехваткой экономических ресурсов, а сейчас это наблюдается
на фоне высочайших темпов экономического роста и связано с выходом
на уровень насыщения.
Таким образом, развитие Мир-Системы было гиперболическим
лишь до 60-х - 70-х гг. прошлого века. Гиперболическая тенденция,
наблюдавшаяся вплоть до этого времени не могла продолжаться далее
сколько-нибудь долго просто по определению. Ведь если бы тенденция
роста, наблюдавшаяся вплоть до этого времени, продолжилась бы и
дальше, то население Земли должно было бы стать бесконечным уже
в 20-е гг. этого века, а мировой ВВП должен был бы уйти в бесконечность
еще раньше - в 2005 г. (см. выше рис. 7). Естественно, что еще задолго
до этого развитие Мир-Системы перестало быть гиперболическим, и
она начала свой выход из режима с обострением.
Заключение. Макропропорции мирового развития
В результате того, что макродинамика развития Мир-Системы
подчиняется набору достаточно простых законов, имеющих к тому же
исключительно простое математическое выражение, мы наблюдаем, что
соотношение между основными параметрами уровня развития Мир-Системы
для эпохи гиперболического роста описывается с высокой степенью
точности следующей серией аппроксимаций:
N ~ S ~ l ~ u,
G ~ L ~ U ~ N2 ~ S2 ~ l2 ~ u2
~ SN ~ и т.д.,
где, напомним, N - это численность населения мира, S
- "избыточный" продукт, производимый при данном уровне
технологического развития Мир-Системы на одного человека сверх продукта
m, минимально необходимого для простого (с нулевой скоростью роста)
воспроизводства населения; l - мировая грамотность, пропорция грамотных
среди взрослого населения мира, u - мировая грамотность, часть населения
мира, живущая в городах, G - мировой ВВП, L - численность грамотного
населения мира, U - численность городского населения мира.
Да, для эпохи гиперболического роста абсолютные темпы
роста N (как впрочем и S, l и u)32с
высокой степенью точности описываются как kN2,
но они с такой же точностью могут быть описаны как k2SN,
k3S2 или (по всей видимости,
с несколько меньшей точностью) как k4G, k5L,
k6U, k7l2,
k8u2 и т. д.
Литература
- Abel, W. 1974. Massenarmut und Hungerkrisen im vorindustriellen
Europa. Versuch einer Synopsis. Hamburg: Parey.
- Abel, W. 1980. Agricultural Fluctuations in Europe from the
Thirteenth to the Twentieth Centuries. New York, NY: St. Martin's.
- Aghion, P., and P. Howitt. 1992. A Model of Growth through Creative
Destruction. Econometrica 60: 323–352.
- Aghion, P., and P. Howitt. 1998. Endogenous Growth Theory.
Cambridge, MA: MIT Press.
- Artzrouni, M., and J. Komlos. 1985. Population Growth through
History and the Escape from Malthusian Trap: A Homeostatic Simulation
Model. Genus 41: 21–39.
- Bielenstein, H. 1947. The Census of China during the Period
2–742 A.D. Bulletin of the Museum of Far Eastern Antiquities
19: 125–63.
- Bielenstein, H. 1986. Wang Mang, the Restoration of the Han
Dynasty, and Later Han. The Cambridge History of China. 1.
The Ch'in and Han Empires, 221 B.C. – A.D. 220
/ Ed. by D. Twitchett and M. Loewe, pp. 223–90.
Cambridge, UK: Cambridge University Press.
- Bielenstein, H. 1987. Chinese Historical Demography A.D. 2 to
1982. Bulletin of the Museum of Far Eastern Antiquities 59:
1–288.
- Biraben, J.-N. 1980. An Essay Concerning Mankind's Evolution.
Population 4: 1–13.
- Boserup, E. 1965. The Conditions of Agricultural Growth:
The Economics of Agrarian Change under Population Pressure. Chicago,
IL: Aldine.
- Cameron, R. 1989. A Concise Economic History of World.
New York, NY: Oxford University Press.
- Chandler, T. 1987. Four Thousand Years of Urban Growth: An
Historical Census. Lewiston, NY: Mellen.
- Chase-Dunn, C., and T. Hall. 1997. Rise and Demise:
Comparing World-Systems Boulder, CO.: Westview Press.
- Cohen, J. E. 1995. Population Growth and Earth's Carrying Capacity.
Science 269(5222): 341–6.
- Diamond, J. 1999. Guns, Germs, and Steel: The Fates of Human
Societies. New York, NY: Norton.
- Durand, J. D. 1960. The Population Statistics
of China, A.D. 2–1953. Population Studies 13: 209–56.
- Durand, J. D. 1977. Historical Estimates
of World Population: An Evaluation. Population and Development
Review 3(3): 255–296.
- Foerster, H. von, P. Mora, and L. Amiot. 1960. Doomsday:
Friday, 13 November, A.D. 2026. At this date human population
will approach infinity if it grows as it has grown in the last
two millennia. Science 132: 1291–1295.
- Frank, A. G. 1990. A Theoretical Introduction to 5,000 Years
of World System History. Review 13(2): 155–248.
- Frank, A. G. 1993. The Bronze Age World System and its Cycles.
Current Anthropology 34: 383–413.
- Frank, A. G., and B. Gills. 1994 (Eds.).
The World System: 500 or 5000 Years? London: Routledge.
- Grossman, G., and E. Helpman. 1991. Innovation and Growth
in the Global Economy. Cambridge, MA: MIT Press.
- Haub, C. 1995. How Many People have ever Lived on Earth? Population
Today 23(2): 4–5.
- Hoerner, S. J. von. 1975. Population Explosion and Interstellar
Expansion. Journal of the British Interplanetary Society 28:
691–712.
- Johansen, A., and D. Sornette. 2001. Finite-time Singularity
in the Dynamics of the World Population and Economic Indices.
Physica A 294(3–4): 465–502.
- Jomard, E. F. 1818. Mémoire sur la population contemporaine
de l'Egypte ancienne et moderne. Description de l'Égypte,
ou, Recueil de observations et des recherches qui ont été
faites en Égypte pendant l'éxpédition de l'armée
française / Ed. E. F. Jomard, vol. II–1, pp. 87–142.
Paris: Imprimerie impériale.
- Jones, Ch. I. 1995. R & D-Based Models of Economic Growth.
The Journal of Political Economy 103: 759–784.
- Jones, Ch. I. 2003. Population and Ideas: A Theory of Endogenous
Growth. Knowledge, Information, and Expectations in Modern
Macroeconomics: In Honor of Edmund S. Phelps / Ed.
by P. Aghion, R. Frydman, J. Stiglitz, and M. Woodford, pp. 498–521.
Princeton, NJ: Princeton University Press.
- Jones, Ch. I. 2005. The Shape of Production Functions and the
Direction of Technical Change. The Quarterly Journal of Economics
120: 517–549.
- Komlos, J., and S. Nefedov. 2002. A Compact Macromodel
of Pre-Industrial Population Growth. Historical Methods
35: 92–94.
- Korotayev, A., A. Malkov, and D. Khaltourina. 2006a.
Introduction to Social Macrodynamics: Compact Macromodels of
the World System Growth. Moscow: URSS.
- Korotayev, A., A. Malkov, and D. Khaltourina. 2006b.
Introduction to Social Macrodynamics: Secular Cycles and Millennial
Trends. Moscow: URSS.
- Korotayev, A., A. Malkov, and D. Khaltourina. 2006c.
Introduction to Social Macrodynamics: Secular Cycles and Millennial
Trends in Africa. Moscow: URSS.
- Kremer, M. 1993. Population Growth and Technological Change:
One Million B.C. to 1990. The Quarterly Journal of Economics
108: 681–716.
- Kuznets, S. 1960. Population Change and Aggregate
Output. Demographic and Economic Change in Developed Countries
/ Ed. by G. S. Becker, pp. 324–40. Princeton,
NJ: Princeton University Press.
- Lee, R. D. 1986. Malthus and Boserup: A Dynamic Synthesis.
The State of Population Theory: Forward from Malthus /
Ed. by D. Coleman and R. Schofield, pp. 96–130. Oxford:
Blackwell.
- Levinson, D., and M. Malone. 1980. Toward Explaining Human
Culture. New Haven, CT: HRAF Press.
- Loewe, M. 1986. The Former Han Dynasty. The Cambridge History
of China. 1. The Ch'in and Han Empires, 221 B.C. – A.D.
220 / Ed. by D. Twitchett and M. Loewe, pp. 103–222.
Cambridge, UK: Cambridge University Press.
- Maddison, A. 2001. Monitoring the World Economy:
A Millennial Perspective. Paris: OECD.
- Malthus, T. 1978 [1798]. Population: The First
Essay. Ann Arbor, MI: University of Michigan Press.
- McEvedy, C., and R. Jones. 1978. Atlas of World Population
History. New York: Facts on File.
- Meliantsev, V. A. 2004. Russia's Comparative Economic Development
in the Long Run. Social Evolution & History 3: 106–36.
- Modelski, G. 2003. World Cities: –3000 to 2000. Washington,
DC: FAROS 2000.
- Naroll, R., and W. T. Divale. 1976. Natural Selection
in Cultural Evolution: Warfare versus Peaceful Diffusion. American
Ethnologist 3: 97–128.
- Nefedov, S. A. 2004. A Model of Demographic Cycles in Traditional
Societies: The Case of Ancient China. Social Evolution &
History 3(1): 69–80.
- Nordhaus, W. 1997. Do Real Output and Real Wage Measures Capture
Reality?: The History of Light Suggests Not. The Economics
of New Goods / Ed. by T. Bresnahan and R. Gordon, pp. 29–66.
Chicago: University of Chicago Press.
- Peregrine, P. 2003. Atlas of Cultural Evolition. World
Cultures 14: 2–88.
- Peregrine, P. and M. Ember (Eds.). 2001. Encyclopedia
of Prehistory. 9 vols. New York, NY: Kluwer.
- Podlazov, A. V. 2004. Theory of the Global Demographic
Process. Mathematical Modeling of Social and Economic Dynamics
/ Ed. by M. G. Dmitriev and A. P. Petrov,
pp. 269–72. Moscow: Russian State Social University, 2004.
- Postan, M. M. 1950. Same Economic Evidence of Declining Population
in the Later Middle Ages. Economic History Review. 2nd
ser. 2: 130–67.
- Postan, M. M. 1973. Essays on Medieval Agriculture and General
Problems of the Medieval Economy. Cambridge: Cambridge University
Press.
- Ricardo, D. 1817. On the Principles of Political Economy
and Taxation. London: John Murray.
- Simon, J. 1977. The Economics of Population Growth.
Princeton: Princeton University Press.
- Simon, J. 1981. The Ultimate Resource. Princeton,
NJ: Princeton University Press.
- Simon, J. 2000. The Great Breakthrough and
its Cause. Ann Arbor, MI: University of Michigan Press.
- SPSS. 2006. World95 Database. Chicago, IL: SPSS Inc.
- Thomlinson, R. 1975. Demographic Problems: Controversy over
Population Control. 2nd ed. Encino, CA: Dickenson.
- Tsirel, S. V. 2004. On the Possible Reasons for
the Hyperexponential Growth of the Earth Population. Mathematical
Modeling of Social and Economic Dynamics / Ed. by M. G. Dmitriev
and A. P. Petrov, pp. 367–9. Moscow: Russian State
Social University, 2004.
- Turchin, P. 2003. Historical Dynamics: Why States Rise and
Fall. Princeton, NJ: Princeton University Press.
- Turchin, P. 2005a. Dynamical Feedbacks between Population Growth
and Sociopolitical Instability in Agrarian States. Structure
and Dynamics 1.
- Turchin, P. 2005b. War and Peace and War: Life Cycles of
Imperial Nations. New York, NY: Pi Press.
- Turchin, P., and A. Korotayev. 2006. Population Density
and Warfare: A reconsideration. Social Evolution & History
5(2): 121–158.
- U.S. Bureau of the Census. 2006. World Population Information
(http: //www.census.gov/ ipc/ www/ world.html).
- UN Population Division. 2006. United Nations. Department of
Economic and Social Affairs. Population Division (http://www.un.org/
esa/population).
- Wallerstein, I. 1987. World-Systems Analysis. Social Theory
Today / Ed. by A. Giddens and J. Turner, pp. 309–24.
Cambridge: Polity Press.
- Wallerstein, I. 2004. World-Systems Analysis: An Introduction.
Durham, NC: Duke University Press, 2004.
- Wallerstein, I. 1974. The Modern World-System.
Vol.1. Capitalist Agriculture and the Origin of the European
World-Economy in the Sixteen Century. New York: Academic Press.
- White, D. R., N. Kejzar, C.
Tsallis, C. Rozenblat. 2006. City-size hierarchies, 430 BCE –
2005: Generative models toward a millennial geopolitical theory.
Structure and Dynamics 2 (forthcoming).
- World Bank. 2006. World Development Indicators. Washington,
DC: World Bank.
- Гринин, Л. Е. 2006. Производительные силы и исторический
процесс. 4-е изд. М.: УРСС.
- Капица, С. П. 1992. Математическая модель
роста населения мира. Математическое моделирование 4(6):
65–79.
- Капица, С. П. 1996. Феноменологическая
теория роста населения Земли. Успехи физических наук 166(1):
63–80.
- Капица, С. П. 1999. Сколько людей жило,
живет и будет жить на земле. М.: Наука.
- Князева, Е. Н., и С. П. Курдюмов. 2005. Основания
синергетики. М.: УРСС.
- Коротаев, А. В. 1991. Некоторые экономические
предпосылки классообразования и политогенеза. Архаическое общество:
узловые проблемы социологии развития / Ред. А. В. Коротаев
и В. В. Чубаров, т. I, c. 136–191. М.: Институт
истории СССР АН СССР.
- Коротаев, А. В. 2006. Периодизация истории
Мир-Системы и математические макромодели социально-исторических
процессов. История и Математика: Проблемы периодизации исторических
макропроцессов / Ред. Л. Е. Гринин, А. В. Коротаев
и С. Ю. Малков, c. 116–167. М.: УРСС.
- Коротаев, А. В., А. С. Малков и Д. А. Халтурина.
2005а. Законы истории: Математическое моделирование исторических
макропроцессов (Демография. Экономика. Войны). М.: УРСС.
- Коротаев, А. В., А. С. Малков и Д. А. Халтурина.
2007. Законы истории: Математические макромодели развития
Мир-Системы. Демография. Экономика. Культура. М.: УРСС.
- Коротаев, А. В., А. С. Малков и Д. А. Халтурина. 2005b. Компактная
математическая макромодель технико-экономического и демографического
развития Мир-Системы (1–1973 гг.). История и синергетика:
Математическое моделирование социальной динамики / Ред.
С. Ю. Малков и А. В. Коротаев, с. 6–48.
М.: УРСС.
- Курдюмов, С. П. (Ред.). 1999. Режимы с обострением.
Эволюция идеи: Законы коэволюции сложных структур. М.: Наука.
- Люри, Д. И. 2005. Устойчиво ли "устойчивое развитие".
История и синергетика: методология исследования / Ред.
С. Ю. Малков и А. В. Коротаев, с. 164–180.
М.: УРСС.
- Малков, С. Ю. 2002. Математическое моделирование исторических
процессов. Новое в синергетике. Взгляд в третье тысячелетие
/ Ред. Г. Г. Малинецкий и С. П. Курдюмов,
сс. 291–323. М.: Наука.
- Малков, С. Ю. 2003. Математическое моделирование динамики
общественных процессов. Связь времен / Ред. И. Л. Жеребцов,
т. 2, сс. 190–214. М.: МГВП КОКС. .
- Малков, С. Ю. 2004. Математическое моделирование исторической
динамики: подходы и модели. Моделирование социально-политической
и экономической динамики / Ред. М. Г. Дмитриев,
сс. 76–188. М.: РГСУ.
- Малков, С. Ю., Н. Б. Селунская и А. В. Сергеев.
2005. Социально-экономические и демографические процессы в аграрном
обществе как объект математического моделирования. История
и синергетика: Математическое моделирование социальной динамики
/ Отв. ред. С. Ю. Малков, А. В. Коротаев,
с. 70–87. М.: УРСС.
- Мельянцев, В. А. 1996. Восток и Запад во втором
тысячелетии. М.: МГУ.
- Мельянцев, В. А. 2003. Три века российского
экономического роста. Общественные науки и современность (5):
84–95.
- Мельянцев, В. А. 2004. Генезис современного
(интенсивного) экономического роста. М.: Гуманитарий.
- Нефедов, С. А. 2000. О законах истории и
математических моделях. Известия Уральского государственного
университета 15: 15–23.
- Нефедов, С. А. 2001. Метод демографических
циклов. Уральский исторический вестник 7: 93–107.
- Нефедов, С. А. 2002a. Опыт моделирования
демографического цикла. Информационный бюллетень ассоциации
"История и компьютер" 29: 131–142.
- Нефедов, С. А. 2002б. О теории демографических
циклов. Экономическая история 8: 116–121.
- Нефедов, С. А. 2003. Теория демографических
циклов и социальная эволюция древних и средневековых обществ Востока.
Восток (3): 5–22.
- Нефедов, С. А. 2005. Демографически-структурный
анализ социально-экономической истории России. Конец XV – начало
XX века. Екатеринбург: Издательство УГГУ.
- Подлазов, А. В. 2000. Теоретическая демография
как основа математической истории. М.: ИПМ РАН.
- Подлазов, А. В. 2001. Основное уравнение
теоретической демографии и модель глобального демографического
перехода. М.: ИПМ РАН.
- Подлазов, А. В. 2002. Теоретическая демография.
Модели роста народонаселения и глобального демографического перехода.
Новое в синергетике. Взгляд в третье тысячелетие / Ред.
Г. Г. Малинецкий и С. П. Курдюмов, сс. 324–45.
М.: Наука.
- Чешков, М. А. 1999. Глобальный контекст
постсоветской России: Очерки теории и методологии мироцелостности.
М.: МОНФ.
- Чубаров, В. В. 1991. Ближневосточный локомотив:
темпы развития техники и технологии в древнем мире. Архаическое
общество: узловые проблемы социологии развития / Ред. А. В. Коротаев
и В. В. Чубаров, т. 1, сс. 92–135. М.: Институт
истории СССР АН СССР.
- Шишков, Ю. В. 2005. Демографические похождения физика.
Общественные науки и современность (2): 155–64.
1 - Эта статья адресована всем интересующимся социальной
эволюцией и законами мирового развития, включая тех, кто не имеет
специального математического образования. Поэтому она содержит все
пояснения, необходимые для того, чтобы и такие читатели могли ее
понять. Математически подготовленным читателям мы можем порекомендовать
такого рода пояснения пропускать.
2 - Точнее говоря, уравнение, полученное Х. фон
Ферстером и его коллегами, выглядит следующим образом: .
Однако, как было показано С. фон Хернером (von Hoerner 1975) и С.
П. Капицей (1992, 1996, 1999), это уравнение имеет смысл использовать
в следующем аппроксимированном виде . 
3 - Отметим, что используемое нами значение коэффициента
k (представляющего собой эквивалент параметра С в уравнении (1))
несколько отличается от того, что было определено Х. фон Ферстером
и его коллегами.
4 - Thomlinson 1975; Durand 1977; McEvedy and Jones
1978; Biraben 1980; Haub 1995; Modelski 2003; UN Population Division
2006; U.S. Bureau of the Census 2006.
5 - Thomlinson 1975; McEvedy and Jones 1978; Biraben
1980; Modelski 2003; UN Population Division 2006; U.S. Bureau of
the Census 2006.
6 - -Thomlinson 1975; McEvedy and Jones 1978; Biraben
1980; Maddison 2001; Modelski 2003; U.S. Bureau of the Census 2006.
7 - 350 млн. чел. (McEvedy and Jones 1978), 374
million (Biraben 1980).
8 - Вторая характеристика корреляции (α) представляет
собой меру статистической значимости корреляции. Несколько контринтуитивным
образом чем меньше значение ?, тем выше статистическая значимость
соответствующей корреляции. Это объясняется тем, что ? обозначает
вероятность того, что данная корреляция является результатом чистой
случайности. Таким образом, ? = 0,99 обозначает крайне низкую статистическую
значимость, так как это значит, что существуют 99 шансов из 100,
что наблюдаемая корреляция является результатом чистой случайности,
и мы можем быть вполне уверенны что никакой систематической закономерной
связи (по крайней мере, того типа, который нас интересует) между
двумя соответствующими переменными просто нет. С другой стороны,
? = 1 ? 10-16 (как это наблюдается в нашем случае) обозначает крайне
высокую статистическую значимость, так как речь идет о том, что
существует лишь один шанс из 10000000000000000, что наблюдаемая
корреляция является результатом чистой случайности (собственно говоря,
корреляция обычно считается статистически значимой уже при α
< 0,05).
9 - Собственно говоря, при несколько иных значениях
параметров (С = 164890,45; t0 = 2014) уровень соответствия
(R2) между динамикой, генерируемой уравнением фон Ферстера
и макровариацией численности населения мира в 1000 - 1970 гг. (в
том виде, как она эмпирически оценена Мак-Эведи и Джоунсом [McEvedy
and Jones 1978], а также Бюро переписей США [U.S. Bureau of the
Census 2006]) достигает 0,9992 (99,92%), при этом для периода 500
г. до н.э. - 1970 г. н.э. этот уровень соответствия даже вырастает
до 0,9993 (99,93%) (при следующих значениях параметров: С = 171042,78;
t0 = 2016).
10 - В последующий период начался выход Мир-Системы
из режима с обострением, о чем будет подробно рассказано ниже.
Собственно говоря, М. Кремер прослеживает эту тенденцию начиная
с 1 000 000 г. до н.э., а 11 - С. П. Капица - даже
с 4 000 000. Со своей стороны, мы не готовы идти в подобные временные
глубины, так как нам не понятно, из кого население мира состояла
миллион лет тому назад при полном отсутствие тогда на планете людей
(т.е. представителей вида Homo sapiens sapiens), не говоря уже о
том, что сколько-нибудь обоснованная эмпирическая оценка численности
этого "населения" (по всей видимости, представителей разных
видов гоминид, лишь ничтожную часть из которых можно отнести к нашим
предкам?) в настоящее время не представляется возможной.
12 - Отметим, что экономика всех человеческих сообществ
была в это время исключительно присваивающей (хотя в некоторых областях
мира присваивающее хозяйство и было достаточно интенсивным [см.,
например: Гринин 2006]).
13 - В связи с отделением в первой половине XVIII
в. процесса сбора сведений о численности населения Китая от процесса
регистрации этого населения с целью обложения налогами китайцы в
1800 г. не имели серьезных оснований уклоняться от переписей. Поэтому
для этого времени данные по численности населения Китая оказываются
ощутимо более достоверными, чем для любого из предшествующих периодов
(см., например: Durand 1960: 238; а также: Коротаев, Малков, Халтурина
2005а: 177-227).
14 - Ввиду проведения первой научной оценки численности
населения Египта членами научной миссии, сопровождавшей в военный
поход Наполеона в эту страну (Jomard 1818).
15 - С заметным исключением Китая, где система
учета численности населения была разрушена в результате Тайпинского
восстания и была восстановлена лишь в начале 50-х гг. прошлого века
(Durand 1960; см. также: Коротаев, Малков, Халтурина 2005а: 177-227).).
16 - Ответы на вопросы, относящиеся к квадратично-гиперболическому
росту мирового ВВП, могут быть не вполне очевидны и тем читателям,
которые имеют представление о математических моделях гиперболического
роста численности населения Земли.
17 - Кроме того, конечно же, надо иметь в виду,
что абсолютные темпы роста населения также пропорциональны самой
численности населения - при данных относительных темпах роста в
десять раз большее население будет расти в десять раз более высокими
абсолютными темпами, чем в десять раз меньшее население. За этим
стоит то простое обстоятельство, что, при прочих равных условиях,
10 миллионов женщин будет в тенденции рожать в десять раз больше
детей, чем 1 миллион женщин.
18 - У М. Кремера для величин используются обозначения
Y - производимый продукт, p - численность населения, A - уровень
технологии и т.п., мы же при описании запишем его модель в обозначениях,
используемых в предложенной нами модели, и более близких к обозначениям
С. П. Капицы (1992, 1996, 1999), не искажая при этом, естественно,
сути уравнений М. Кремера.
19 - Особое внимание М. Кремер не без оснований
обращает здесь на то обстоятельство, что "издержки на изобретение
никак не зависят от того, сколько человек этим изобретением будет
пользоваться" (Kremer 1993: 681).
20 - Отметим, что под "темпами технологического
роста" М. Кремер имеет здесь в виду именно относительные темпы
технологического роста (т.е. приращение уровня технологического
развития за некий промежуток времени в отношении к уровню технологического
развития, наблюдаемому на момент начала промежутка).
21 - В экономической антропологии (см., например:
Lee 1986) подобная динамика часто обозначается как "босерупианская"
по имени датской исследовательницы, впервые исследовавшей феномен
демографического давления как позитивного фактора технологического
в рамках экономической антропологии (Boserup 1965).
22 - М. Кремер не провел прямой эмпирической проверки
этой гипотезы. Вместе с тем, подобная эмпирическая проверка, проведенная
нами (Коротаев 2006: 146-149), полностью подтвердила обоснованность
этой гипотезы.
23 - Здесь имеются в виду животные.
24 - Здесь имеются в виду люди.
25 - Мы считаем это возражение совершенно обоснованным,
ибо авторы гиперболических моделей роста населения Земли до сих
пор не дали на него аргументированного ответа. И речь здесь идет
не только о Капице, но и о фон Ферстере и его коллегах, Кремере
и других авторах математических моделей гиперболического роста народонаселения
Земли (Подлазов 2000, 2001, 2002; Cohen 1995; Hoerner 1975; Johansen
and Sornette 2001; Tsirel 2004).
26 - Подчеркнем, что и в том, и в другом случае
население соответствующих поясов включало в себя бoльшую часть населения
мира соответствующей эпохи.
27 - Таким образом, мы теоретически выводим то
самое дифференциальное уравнение, которое было эмпирически открыто
С. фон Хернером (von Hoerner 1975) и С. П. Капицей (Kapitza 1992,
1996, 1999).
28 - Детальное обоснование этого тезиса приводится
в нашей следующей работе: Коротаев, Малков, Халтурина 2005б.
29 - Уже с тех пор, как грамотность появилась,
практически все грамотное население Земли обитало в рамках Мир-Системы,
поэтому грамотное население Земли и грамотное население Мир-Системы
почти всегда совпадали.
30 - На "уровне почвы" действие эффекта
насыщения сказывается, например, в том, что для того, чтобы ликвидировать
неграмотность среди последних 2% взрослого населения, требуется
несравненно больше времени и сил, чем для того, чтобы поднять уровень
грамотности населения с 50 до 52 %.
31 - Например, наш кросс-национальный анализ базы
данных World Development Indicators (World Bank 2006) на 1975 г.
дал следующие показатели корреляции между уровнем грамотности и
процентом рождений, принимаемых квалифицированным медицинским персоналом:
R = 0,83; α < 0,0001, сходные результаты были получены и
при корреляционном анализе данных за другие годы. С другой стороны,
наш анализ данных за 1995 г. показывает, что уровень грамотности
менее 30 % является максимально сильным (y = 1,0) предиктором того,
что взносы в фонды социального страхования будут составлять менее
5 % текущих доходов (а при уровне грамотности менее 75 % они будут
составлять менее 15 % текущих доходов). А, скажем, число врачей
на 1000 человек коррелирует с уровнем грамотности экспоненциально
(R = 0,844). (В последнем случае данные по грамотности были взяты
из базы данных World95 [SPSS 2006]; данные по другим параметрам
были взяты из базы данных World Development Indicators [World Bank
2006]).
32 - Впрочем, для u эта точность, по всей видимости,
несколько меньше.
|