|
|
Репродуктивное поведение женщин Вологодской области.
Тенденции и перспективы
А.А. Шабунова, М.А. Копейкина, Е.Л. Вологдина
(Опубликовано в журнале "Управление здравоохранением"
№1-2 2005, адрес: http://www.healthmanagement.ru/html/N14/Vologda14.htm)
В режиме суженного воспроизводства населения живет большая
часть регионов Российской Федерации. Однако, по сравнению со среднероссийским
показателем естественной убыли населения, уровень депопуляции в
Вологодской области в 1,5 раза выше (6,2 на 1000 человек в
2003 году по России и 9,4 — по Вологодской области). Одной
из главных причин депопуляции является интенсивное снижение рождаемости,
которое началось с конца 1960-х годов (рис. 1), когда она опустилась
ниже уровня, необходимого для простого воспроизводства населения.
Поменялись социальные и психологические установки к рождению детей,
т.е. изменилось само репродуктивное поведение.
Рисунок 1. Суммарный коэффициент рождаемости (СКР) по
России
Негативные тенденции в демографической ситуации проявляются
снижением числа детей в семье. В широком смысле это означает не
просто одну из форм демографического кризиса, но и неблагоприятные
последствия для развития страны в целом в силу недостаточности трудовых
ресурсов в будущем. Вместе с тем потребность в детях — социально-психологическое
состояние индивида, когда без детей и надлежащего их числа и пола
человек не может состояться как личность. Потребность в детях, установки
на рождение детей — внутренние регуляторы репродуктивного поведения,
тогда как социальные нормы детности — внешние детерминанты отношения
личности к детям. Эмпирические исследования репродуктивных установок
показывают, что для потребности в пяти и более детях ведущими являются
экономические мотивы рождаемости, для потребности в трех-четырех
детях — социальные и для потребности в одном—двух детях — психологические1.
Отсюда следует необходимость поиска резервов расширения воспроизводства
населения, среди которых наиболее значимые — разработка мероприятий,
направленных на социально-гигиеническое просвещение населения, снижение
частоты искусственных прерываний беременности, повышение соматического
и репродуктивного здоровья женщин фертильного возраста, сокращение
случаев потерь плодов и детей, обеспечение условий для рождения,
а затем воспитания физически и психически здорового молодого поколения2.
Изучение репродуктивного поведения и репродуктивных
установок (потребностей) существенно и необходимо для понимания
и прогнозирования тенденций рождаемости в регионе, для разработки
конкретных мероприятий эффективной демографической и семейной политики.

Рисунок 2. Число абортов на 1000 родов (2003 год)
Вологодский научно-координационный центр ЦЭМИ РАН в
мае—июле 2004 года провел опрос беременных женщин (с различным
исходом беременности: родивших ребенка и прервавших беременность
абортом) в целях выяснения репродуктивных ориентаций населения региона3.
В ходе исследования был получен срез по следующим основным аспектам:
желаемое число детей в разных возрастных группах опрошенных; репродуктивные
намерения на ближайшие три года; обстоятельства, препятствующие,
по мнению женщин, рождению детей и способствующие аборту, а также
степень информированности по вопросам репродуктивного здоровья.
При анализе результатов опроса важно иметь в виду основные
социально-демографические характеристики респонденток. Возраст женщин,
закончивших беременность рождением ребенка, составляет преимущественно
20–29 лет (72,4% опрошенных), возраст же респонденток, прервавших
беременность абортом, значительно ниже — от 14 до 24 лет (72,2%).
Одним из факторов, влияющих на состояние репродуктивной
функции, является предупреждение нежелательной беременности. Нередко
женщина стоит перед непростым вопросом: родить ребенка или сделать
аборт? Особенно сложно решается этот вопрос у девушки-подростка.
Именно аборты, особенно до первых родов, провоцируют наиболее распространенные
факторы бесплодия4.
Хотя в последнее время, согласно статистике, произошло сокращение
числа абортов, их уровень очень велик и превышает число родов в
1,7 раза (в среднем по области; рис. 2)5.
Необходимо также отметить, что аборт используется женщинами как
метод регулирования деторождения.
В связи с этим в исследовании задавался вопрос: "При
каких обстоятельствах Вы считаете допустимым искусственное прерывание
беременности абортом?" Большинство респонденток указывают прежде
всего следующие причины: плод имеет порок в развитии, беременность
представляет угрозу для жизни женщины или является результатом изнасилования
(от 65,9 до 31,2%). Женщины, прервавшие беременность абортом, в
отличие от родивших (табл. 1), больше внимания обращают на
"материальные трудности семьи" — 34,9% (против 9,0% среди
родивших) или на то, что "женщина не замужем", — 21,1%
(3,2%). То есть воздействие жизненных обстоятельств на репродуктивные
установки "абортирующих" женщин6
в большей степени происходит через субъективную оценку материальных
условий жизни, семейного благополучия.
Таблица 1. При каких обстоятельствах Вы считаете допустимым
искусственное прерывание беременности абортом?* (в % от числа
опрошенных)
|
Вариант ответа
|
Роды**
|
Аборт***
|
|
Плод имеет порок в развитии
|
65,9
|
51,8
|
|
Беременность представляет угрозу для жизни женщины
|
55,9
|
41,3
|
|
Беременность является результатом изнасилования
|
31,2
|
38,5
|
|
Беременность может повредить здоровью женщины
|
15,8
|
27,1
|
|
Материальные трудности семьи
|
9,0
|
34,9
|
|
Женщина не замужем
|
3,2
|
21,1
|
|
Другое
|
2,2
|
5,0
|
|
Затрудняюсь ответить
|
13,3
|
11,0
|
* Сумма ответов по столбцу может превышать 100%, поскольку можно
было давать любое число ответов.
** Роды — женщины, окончившие беременность родами.
*** Аборт — женщины, прервавшие беременность абортом.
Непосредственную характеристику репродуктивных предпочтений
респонденток дает показатель "желаемого" числа детей.
Он означает число детей, которое индивид предпочел бы иметь в своей
семье "вообще", исходя из собственных потребностей, без
учета конкретных обстоятельств жизни и индивидуальной биографии7.
При анализе результатов опроса оказалось, что основная масса опрошенных
женщин как родивших, так и сделавших аборт, изъявили желание иметь
одного-двух детей (86,7 и 87,5% соответственно). Причем среди родивших
доля тех, кто хотел иметь двоих детей, почти в 2,5 раза больше,
чем тех, кто хотел иметь одного ребенка, а среди прервавших беременность
— лишь в 1,4 раза (табл. 2). Таким образом, репродуктивные
установки родивших женщин нацелены на многодетность в большей степени,
чем прервавших беременность абортом. Так, трех и более детей желают
иметь 4,2% родивших женщин, тогда как среди сделавших аборт — только
2,3%. А 3,2% женщин, прервавших беременность, вообще не хотят иметь
детей. Обращает на себя внимание то, что при нежелании иметь детей
все же родили ребенка 2,5% женщин моложе 19 лет и 0,8% — в
возрасте от 20 до 24 лет, и причиной этого послужило настояние
родителей, родственников или медицинских работников.
Таблица 2. Мнение женщин о желаемом числе детей в семье
в зависимости от возраста ( в % )
|
Возрастная группа
|
Желаемое число детей в семье
|
Затрудняюсь ответить
|
Число ответивших (абс. / %)
|
|
Ни одного
|
Один
|
Два
|
Три и более
|
|
Роды
|
Аборт
|
Роды
|
Аборт
|
Роды
|
Аборт
|
Роды
|
Аборт
|
Роды
|
Аборт
|
Роды
|
Аборт
|
|
До 19 лет
|
2,5
|
1,5
|
30,0
|
40,0
|
60,0
|
46,2
|
5,0
|
–
|
2,5
|
12,3
|
40/100
|
65/100
|
|
20–24 года
|
0,8
|
2,2
|
31,5
|
34,1
|
55,1
|
54,9
|
2,4
|
1,1
|
10,6
|
7,7
|
127/100
|
91/100
|
|
25–29 лет
|
–
|
6,3
|
18,8
|
43,8
|
65,0
|
40,6
|
6,3
|
9,4
|
10,0
|
–
|
80/100
|
32/100
|
|
30–34года
|
–
|
12,5
|
10,0
|
25,0
|
83,3
|
62,5
|
3,3
|
–
|
3,3
|
–
|
30/100
|
16/100
|
|
35 лет и старше
|
–
|
–
|
33,3
|
25,0
|
44,4
|
66,7
|
11,1
|
8,3
|
11,1
|
–
|
9/100
|
12/100
|
|
Всего в исследовании
|
0,7
|
3,2
|
25,5
|
36,1
|
61,2
|
51,4
|
4,2
|
2,3
|
8,3
|
6,9
|
286/100
|
216/100
|
Показатель желаемого числа детей практически совпал
среди женщин в возрасте от 20 до 24 лет в обеих группах респонденток
(рис. 3). Наибольшие различия по данному показателю между родившими
и сделавшими аборт обнаружены среди желающих иметь двух детей (женщины
старше 25 лет) и среди желающих иметь одного ребенка (женщины
25–34 лет) — в среднем разница составляет 21,5%.

Рисунок 3. Доля респонденток, желающих иметь одного
и двух детей, в зависимости от возраста (в %)
Анализ показал, что существуют большие различия во мнениях
представительниц разных поколений о "желаемом" числе детей
в семье, т.е. в их репродуктивных установках. "Пик" репродуктивной
активности по желаемому числу детей приходится на возраст от 30
до 34 лет. Данный факт необходимо учитывать при формировании
демографической политики.
Ведущие демографы в развитых странах ведут оживленные
дискуссии о том, как правильно оценить "истинный" текущий
и перспективный уровни рождаемости в условиях продолжающейся трансформации
ее возрастной ("тайминговой") модели. Оценка итогового
показателя рождаемости для России, выполненная с использованием
различных методологических приемов, составляет 1,5–1,6 ребенка
в расчете на одну женщину за всю ее жизнь — для когорт, которые
сегодня находятся в активных репродуктивных возрастах8.
По нашим расчетам суммарный коэффициент рождаемости для Вологодской
области может быть равен 1,67 (на основе данных опроса о желаемом
числе детей респонденток), при этом фактический составляет 1,3 ребенка.
Сравнительный анализ показателей у родивших женщин и прервавших
беременность абортом подтвердил значимые различия: первые при реализации
своих "желаний" обеспечили бы суммарный коэффициент рождаемости
1,75, а вторые — 1,49.
Тренд возрастных коэффициентов рождаемости, по данным
исследования (рис. 4), в целом соответствует тенденции статистических
данных 2003 года (рис. 5), что свидетельствует о представительности
проведенного исследования.

Рисунок 4. Возрастные коэффициенты рождаемости (данные
опроса 2004 года)

Рисунок 5. Возрастные коэффициенты рождаемости в Вологодской
области (Росстат, 2003 год)
Что касается трансформации модели рождаемости — откладывания
браков и рождения детей на все более поздний возраст, то подобная
тенденция изменения в Вологодской области (как в целом по Российской
Федерации) стала отмечаться уже с середины 1990-х годов. Принципиальные
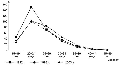
отличия в возрастной модели рождаемости произошли в промежуток с
1992 по 1998 год, когда в 1,5 раза сократилось число детей,
рожденных матерями в возрасте 15–19 и 20–24 лет, причем доля
последних внесла максимальный вклад в уровень рождаемости (рис. 6).
Спустя еще пять лет, в 2003 году, отмечается падение уровня
рождаемости у молодых женщин 15–19 лет, а рождаемость у женщин
старше 25 лет растет. Подобный факт — это результат реализации
рождений детей молодой когортой женщин 15–24 лет, которые были
отложены в 1990-х годах и реализовались в 2000-х годах уже в более
позднем возрасте — 25–34 лет.

Рисунок 6. Возрастные коэффициенты рождаемости в Вологодской
области (данные статистической отчетности)
Таким образом, мы наблюдаем процесс, ведущий к более
позднему материнству. Откладывание рождений на более поздний возраст
есть результат давления неблагоприятной социально-экономической
конъюнктуры, и едва ли стоит ожидать, что произойдет возврат к традиционной
модели брака и ранней рождаемости. Возможно, подобная тенденция
— отражение более глубинных изменений в русле "второго демографического
перехода", которому следуют все развитые страны.
Стержнем новейших тенденций рождаемости выступает поиск
оптимальной модели жизненного цикла человека, отвечающего реалиям
современной политической и экономической ситуации, среди которых
— высокие требования к образованию и уровню материального благосостояния,
увеличивающаяся роль женщин в формировании семейных доходов. Современный
человек настраивает календарь важнейших событий в своей жизни, все
более согласуя их с наиболее принципиальными переменами в экономической
среде, и все менее оглядываясь на традиционные представления и нормативные
ограничения. Ключевыми моментами наблюдаемых перемен, имеющих непосредственное
отношение к формирующейся новой модели рождаемости, выступает расширение
свободы выбора форм совместной жизни, переоценка моральных принципов
поведения, появление новых технологий в области репродукции человека9.
Репродуктивное поведение на разных этапах жизненного
цикла в силу различных условий может подвергаться изменениям. Для
прогнозов рождаемости важно знать о намерениях населения иметь или
не иметь детей, поэтому женщинам был задан вопрос: "Через какой
промежуток времени Вы бы хотели иметь следующего ребенка?"
Репродуктивные планы большинства родивших женщин, желающих
иметь одного ребенка, естественно, уже осуществились (65,8% ответили,
что больше не хотят иметь детей), но одна треть из них все-таки
допускают возможность рождения еще одного ребенка. Репродуктивные
планы женщин, желающих иметь двух детей, отодвинуты на более поздние
сроки — 35,6% ответивших планируют рождение второго ребенка более
чем через три года. Отметим, что наиболее благоприятный интервал
между родами составляет не менее 2–2,5 лет и является важным
условием наиболее удачного течения беременности и родов, послеродового
периода, способствует улучшению жизнеспособности ребенка и сохранению
здоровья матери10.
Репродуктивные планы женщин, прервавших беременность абортом, также
отложены на будущее.
Что касается репродуктивных планов различных возрастных
групп, то можно отметить, что они совпадают у родивших женщин в
возрасте до 30 лет и у 30-летних и старше (рис. 7). Совпадают
и репродуктивные планы обеих групп на следующие 1–3 года, а
вот планы на более длительный срок имеют различия: преобладающая
доля женщин старшего репродуктивного возраста (30 лет и старше)
уже осуществила свои репродуктивные намерения и больше не желает
иметь детей (60,0 и 66,7%), женщины же в возрасте до 30 лет
в основном планируют беременность более чем через три года — 23,8—32,5%.

Рисунок 7. Репродуктивные планы возрастных групп наивысшей
репродуктивности (от 20 до 29 лет; в %)
Однородность репродуктивных планов женщин, прервавших
беременность абортом, наблюдается лишь в возрасте наивысшей репродуктивности
(от 20 до 24 и от 25 до 29 лет). Причем планы старших возрастных
групп (в отличие от родивших женщин) нацелены на рождение ребенка
в будущем, так как их репродуктивные намерения еще не выполнены.
В ходе исследования респондентам был предложен еще один
контрольный вопрос: "Как Вы думаете, каков будет исход следующей
беременности?" 25% женщин указали, что ни в коем случае не
допустят наступления следующей беременности. В основном это женщины
старших возрастных групп, репродуктивные планы которых уже осуществились.
В целом имеется сходство в ответах родивших женщин, относящихся
к младшим и средним возрастным группам. Так, половина опрошенных
родивших женщин в случае наступления беременности будут рожать.
Среди женщин, прервавших беременность абортом, доля решивших рожать
в следующий раз сокращается с увеличением возраста (от 81,5% в 15—19 лет
до 12,5% в 30—34 года). Наибольший показатель ожидаемого аборта
в возрастной группе от 30 до 34 лет среди родивших — 43,3%,
а среди сделавших аборт — 56,3% (рис. 8).

Рисунок 8. Исход следующей беременности возрастной группы
женщин 20–29 лет (период наивысшей репродуктивности; в %)
Проведенное нами исследование обнаружило значительное
снижение репродуктивных установок в современном поколении женщин
репродуктивного возраста, что, безусловно, является крайне неблагоприятной
тенденцией. Вместе с тем желаемое число детей оказалось заметно
выше, чем сложившиеся уровни рождаемости, что создает потенциал
для благоприятного изменения ситуации в перспективе.
Значительный научно-практический интерес представляют
результаты анализа степени информированности женщин по вопросам
репродуктивного здоровья. Большинство женщин во всех возрастных
группах заинтересованы в расширении своих знаний о профилактике
гинекологических заболеваний (от 60,0 до 93,8%). В обследованной
когорте женщин, прервавших беременность, каждая третья (среди родивших
— каждая шестая) затруднилась ответить на вопрос об удовлетворенности
уровнем своих знаний в вопросах использования различных методов
предохранения от беременности, что отчасти свидетельствует о неграмотности
респонденток в области планирования семьи и репродуктивного здоровья
(табл. 3). Что касается "удовлетворенных" своими
знаниями, то их доля среди женщин, родивших ребенка, во всех возрастных
группах больше, чем среди прервавших беременность абортом. В возрасте
до 19 лет каждая четвертая родившая женщина и каждая третья,
сделавшая аборт, не удовлетворены своими знаниями в вопросах использования
контрацепции; в возрасте от 20 до 24 лет — соответственно каждая
вторая и каждая третья; в возрасте от 25 до 29 лет — 40,0 и
43,8%; в возрасте от 30 до 34 лет — 33,3 и 43,8% соответственно.
Таблица 3. Удовлетворены ли Вы своими знаниями по вопросам
использования различных методов предохранения от беременности? (в
%)
|
Возрастная группа
|
Да
|
Нет
|
Затруднились ответить
|
|
Роды
|
Аборт
|
Роды
|
Аборт
|
Роды
|
Аборт
|
|
До 19 лет
|
45,0
|
30,8
|
25,0
|
33,8
|
30,0
|
35,3
|
|
От 20 до 24 лет
|
31,5
|
28,1
|
49,6
|
36,0
|
18,9
|
36,0
|
|
От 25 до 29 лет
|
48,8
|
43,8
|
40,0
|
43,8
|
11,3
|
12,5
|
|
От 30 до 34 лет
|
50,0
|
25,0
|
33,3
|
43,8
|
16,7
|
31,3
|
|
35 лет и старше
|
77,8
|
33,3
|
22,2
|
8,3
|
–
|
58,3
|
|
Всего в исследовании
|
41,6
|
31,3
|
40,9
|
35,5
|
17,4
|
33,2
|
В целом в исследуемой совокупности каждая четвертая
женщина (24,2%) затруднилась ответить об удовлетворенности своими
знаниями о контрацепции, остальные распределились поровну — на удовлетворенных
(37,2%) и неудовлетворенных (38,6%). Подобное положение дел обусловливает
необходимость кропотливой работы медицинских и социальных служб
по формированию грамотного контрацептивного поведения населения
и повышению информированности женщин по всем вопросам охраны репродуктивного
здоровья.
Таким образом, проведенное исследование раскрывает сущность
репродуктивных установок современных женщин, на формирование которых
непосредственное влияние оказывают меняющиеся моральные, социальные
и экономические условия жизни.
В сложившихся социально-экономических условиях "абортивное"
поведение оказалось характерным прежде всего для женщин молодого
возраста — от 15 до 24 лет (72,2%). А расплатой за ранние аборты,
как известно, является нарастающее бесплодие. Ориентация на искусственное
прерывание беременности — опасно устоявшаяся тенденция репродуктивных
представлений современных женщин, а низкий уровень их информированности
в вопросах контрацепции еще более усугубляет обстановку. Очевидно
то, что для поддержания надлежащего уровня репродуктивного поведения
нужна грамотная демографическая политика, пропаганда активной (правильной)
модели репродуктивного поведения населения, подкрепленная мерами
социально-экономического характера, необходимо сохранение и воссоздание
значимости института семьи.
<…>
1
Кузьмин А.И. Основы демографии: Курс лекций. М., 2003. 2
Шапкайц В.А., Баранов С.П. Комплексная медико-социальная
оценка репродуктивного потенциала сельских женщин Северо-Запада
России // Ремедиум Северо-Запад. 2001. №3. 3
Исследование проводилось в роддомах и гинекологических отделениях
г. Вологды, г. Череповца и шести районов области: Белозерского,
Великоустюгского, Никольского, Харовского, Чагодощенского, Шекснинского.
Было опрошено две группы женщин: 288 — закончивших беременность
родами и 222 — прервавших беременность абортом. 4
Землянова Е.В. Репродуктивное здоровье женщин как фактор
рождаемости в России: Дисс. ... к.э.н. М.: ПрофСоф, 2003. 134 с. 5
Основные показатели деятельности лечебно-профилактических учреждений
Вологодской области за 1999–2004 годы — Бюро медицинской статистики 6
Бодрова В.В. Репродуктивное поведение и репродуктивные права
населения России в переходный период // Народонаселение. 1999. № 2. 7
Андрюшина Е.В., Каткова И.П., Куликова О.А. Планирование
семьи по-российски // Народонаселение. 2000. №3 (9). С. 43–58. 8
Захаров С.В. Перспективы изменения модели рождаемости в России
// Народонаселение. 2004. № 3 (25). 9
Захаров С.В. Перспективы изменения модели рождаемости в России
// Народонаселение. 2004. № 3 (25). 10
Андрюшина Е.В., Каткова И.П., Куликова О.А. Планирование
семьи по-российски // Народонаселение. 2000. № 3 (9). С. 43–58.
|