|
|
Понравилась статья? Поделитесь с друзьями:
|
|
|
|
|
|
|
|
|
 |
Рубрику ведет
Илья КАШНИЦКИЙ
|
Seeding the gender revolution: Women's education and
cohort fertility among the baby boom generations
|
Van Bavel, J., Klesment, M., Beaujouan, E., Brzozowska,
Z., Puur, A., Reher, D., Requena, M., Sandstrom, G., Sobotka,
T., Zeman, K. (2018). Seeding the gender revolution: Women's
education and cohort fertility among the baby boom generations.
Population Studies, 0(0), 1-22. https://doi.org10.1080/00324728.2018.1498223
|
Группа исследователей под руководством Яна Ван Бавела
раскрывает увлекательную историю гендерной революции, зарождавшейся
в странах западной культуры в когортах женщин, появившихся на свет
в первой половине 20 века. Авторы раскрывают удивительную историю,
казалось бы, парадоксального роста рождаемости во второй половине
20 века на фоне взрывного роста массового женского образования (Рис.
1).

Рисунок 1. Экспансия женского образования в когортах
рождения 1901-1944
Ключевой тезис работы заключается в том, что вместе
с тотальной образованностью установилась твердая норма двухдетности
- значительно снизилась вариативность числа детей в семьях. Этот
феномен авторы измерили с помощью коэффициента вариации, отношения
стандартного отклонения к среднему значению по выборке (Рис. 2).

Рисунок 2. Коэффициент вариации в итоговом числе детей
у женщин 1901-1944 когорт рождения
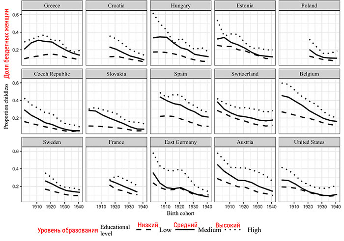
Еще одним значимым фактором, обеспечившим бэби-бум,
стало значительное снижение бездетности. Как это ни удивительно,
массовость женского образования отменила извечный выбор - либо семья,
либо карьера. В поколениях женщин, рожденных в Венгрии, Эстонии,
Бельгии, Испании, Германии, Австрии и получивших высшее образование
(да, конечно, это случалось еще исчезающе редко), более половины
(!) остались без детей. В последующих поколениях бездетность резко
снижалась, особенно среди образованных женщин (Рис. 3).

Рисунок 3. Доля окончательной бездетности в когортах
рождения 1901-1944
Авторам статьи удалось убедительно показать, как экспансия
женского образования внесла заметный вклад в резкий рост рождаемости
в западноевропейских странах после Второй Мировой, даже несмотря
на сохранившийся образовательный градиент в уровне рожадемости.
|