|
Избранные эссе.
Анализ и оценка нерегистрируемой миграции в России
Шматко Ю.О.
Факультет экономики НИУ ВШЭ, группа № 3105
Демоскоп представляет курсовую работу, выполненную
на Кафедре математической экономики и эконометрики Экономического
факультета НИУ ВШЭ под руководством старшего преподавателя, к.э.н.
Вакуленко Е.С. в 2014 г.
Введение
Лейтмотивом второй половины 20 и начала 21 века можно
по праву назвать процесс необратимой глобализации, охвативший
в той или иной степени абсолютно все сферы общественной жизни и
связавший между собой политически, экономически и культурно дифференцированные
страны и народы мира. Существуют диаметрально противоположенные
взгляды на пользу/ущерб, неизбежно сопутствующий мировым глобализационным
процессам; различные подходы к рассмотрению этих процессов со стороны
различных наук (политологии, социологии, географии, экономики, культурологии
и т.д.). Однако в фокус данной работы поставлено очевидное и, пожалуй,
одно из самых значимых для экономик и стран в целом явление – миграция.
Глобализационные процессы, помимо разнообразных изменений
в глобальных политических и экономических системах, усиления международных
торговых и культурных связей, международного разделения труда и
регионализации, способствуют значительной интенсификации миграционного
оборота, в том числе нелегального. Конец 20 века ознаменовался постоянными
и массовыми перемещениями людей из "третьего" мира в "первый", из
периферии - в центры с более высоким и качественным уровнем жизни.
И если эпоха «железного занавеса» дезинтегрировала советское государство
с тенденциями остального мира, то после распада Советского Союза
страна резко окунулась в мировой миграционный контекст. Среди наиболее
значимых черт новой мировой миграционной ситуации можно выделить:
- беспрецедентный рост масштабов и географии мировой миграции;
- выход на первый план трудовой миграции;
- неуклонное увеличение потоков нелегальной (нерегистрируемой)
миграции;
- бесспорное увеличение значимости международной миграции в демографическом
и экономическом развитии стран современного мира;
- строгая поляризация мира (образование перманентных регионов-«доноров»
и регионов-«реципиентов» иммигрантов);
- двойственный противоречивый характер декларируемой и проводимой
миграционной политики[1].
Согласно последнему докладу ООН о статистике глобальной
миграции[2] наибольшее число
иностранных мигрантов на данный момент проживает на территории США
(45,8 миллиона), Российской Федерации (11 миллионов) и Германии
(9,8 миллиона). По данным из этого же документа, миграционная проблема
особенно обострилась в России за последние годы. По официальной
статистике Федеральной миграционной службы, в 2013 году на территорию
РФ въехало 17,34 млн. иностранных граждан, причем разрешение на
работу получили лишь 1,27 млн. из них. За аналогичный период 2012
года в страну въехало 15,88 млн. человек, из которых только 1,34
млн. получили разрешения[3].
Как можно заметить, оценки миграционных потоков варьируются, что,
безусловно, объясняется спецификой самого предмета исследования
– миграции. Необычайно трудно дать однозначные оценки исследуемой
совокупности по объективным причинам. Среди факторов, влияющих на
различия в оценках: и методы учета мигрантов, и особенности идентификации
исследуемой единицы (то есть что именно включается в понятие мигрант),
и потоки нелегальной миграции, которые тем более не поддаются по
своей природе точным численным оценкам. Для составления оценок могут
быть использованы различные источники информации, включая официальные
публикации и оперативные данные Росстата, результаты проверок ФМС
и других государственных наблюдательных инспекций по проблемам миграции,
разнообразные опросы работодателей и сведения налоговых служб. Метода
оценки с помощью косвенных индикаторов и вовсе могут основываться
на совершенно непредсказуемых и, на первый взгляд, не связанных
с темой источниках информации. В силу многообразия подходов и оценок,
разной степени ангажированности, встает проблема нахождения оптимального
и наиболее точного способа оценки и прогнозирования численности
мигрантов, в том числе нелегальных. Целью данной работы является
оценка численности нелегальных мигрантов в России с использованием
различных методик, а так же сравнение и анализ полученных результатов.
В первой главе будет дано приблизительное определение
центрального понятия работы – нелегального мигранта, а так же будет
сделана попытка объяснить, в чем же состоит сегодня острая актуальность
миграционного вопроса и почему так важно выявить наиболее несмещенные
оценки численности мигрантов в стране. Вторая глава будет полностью
посвящена количественным методам оценки нелегальной миграции в России,
в частности, будет предложен способ прогнозирования объемов нелегальной
миграции с использованием косвенных индикаторов.
Таким образом, объектом исследования данной курсовой
работы является нелегальная миграция. Предмет исследования – способы
оценки объемов нелегальной миграции в России. Для достижения цели
исследования, а именно, получения оценок нелегальной миграции в
России, были поставлены следующие задачи:
- обозначить границы понятия нерегистрируемая миграция,
проработать базовую терминологию данной проблемы;
- изучить страновые особенности явления, обозначить основные
тенденции, географическую и социально-экономическую структуру
незаконных миграционных потоков в Россию в 2010-2014 гг.;
- описать, опираясь на существующие исследования и экспертные
мнения, экономические, социальные, демографические и культурологические
последствия нелегальной миграции для России;
- рассчитать примерную численность нелегальных мигрантов в России
с помощью нескольких методик.
Глава 1. Нелегальная миграция в РФ
1.1. Понятие и основные тенденции
Хотелось бы начать с определения понятия
нелегальная миграция. Если под миграцией в самом общем
смысле понимать «переселение, пространственное перемещение людей»
(это определение исключает типологию миграционных процессов, но
является, по мнению автора, самым универсальным[4]),
то, соответственно, нелегальная миграция – это любое незаконное
перемещение на территорию государства, или, иными словами, нерегистрируемое
пересечение и/или нарушающее законодательство страны, в частности,
условия въезда и пребывания на территории. На официальном сайте
Федеральной миграционной службы незаконная миграция определена как
"въезд в Российскую Федерацию, пребывание и выезд с ее территории
иностранных граждан и лиц без гражданства с нарушением законодательства
Российской Федерации, регулирующего порядок въезда, пребывания,
транзитного проезда и выезда указанных категорий лиц". На основании
наиболее верифицированных источников определения и статьи [Вакуленко
и Цимайло, 2011], в категорию нелегальных мигрантов включаются:
- иностранцы, въезжающие в страну или находящиеся на ее территории
без документов, удостоверяющих личность, или же с поддельными
документами;
- мигранты, незаконно пресекшие границу государства, а также
те, чье право на въезд является сфабрикованным;
- иностранцы, находящиеся на территории государства с просроченной
визой, а также иностранные студенты, не покинувшие страну по истечению
срока учёбы и рабочие с просроченными трудовыми договорами;
- мигранты, имеющие вид на жительство (или разрешение на временное
проживание) с правом или без права на трудовую деятельность, но
работающие нелегально;
- дети, рожденные иностранными гражданами на территории государства
(в России ребенок признается гражданином, если, по крайней мере,
один из родителей является россиянином или оба родителя являются
иностранцами, но их ребенку отказано в гражданстве в стране, гражданами
которой они являются);
- иностранцы, подлежащие изгнанию или депортации[5].
Необходимо уточнить, что в науке и прикладной демографии
существует некоторая путаница вокруг терминологии в области нелегальной
миграции. Различные эксперты, компетентные органы власти и ведомства
различно трактуют понятие «нелегального мигранта». Так, в некоторых
исследованиях можно найти разделение понятий «незаконный мигрант»
и «нелегальный мигрант», а также «нерегулируемая», «неучтенная»
и «недокументированная миграция»[6].
Однако в данной работе, в целях упрощения анализа и вычленения данного
явления будет использовано общее вышеприведенное определение нелегальной
миграции. Если попробовать представить эту классификацию в более
общем виде, то можно условно разделить всех нелегальных мигрантов
в проекции причин возникновения их нелегального статуса: это незаконный
въезд, нелегальное пребывание и нелегальная
занятость. В экспертной литературе по теме миграции можно
встретить такую же классификацию. Так, Е.С. Красинец, Е.С. Кубишин,
Е.В. Тюрюканова относят к незаконным мигрантам лиц, незаконно въехавших
на территорию государства (пересекших границу в неположенных местах,
по недействительным или поддельным документам или без таковых),
незаконно пребывающих в нем (не оформленное должным образом пребывание),
и лиц, ведущих нелегальную экономическую активность (в том числе
совершающих "около экономические" преступления, например, торговля
оружием)[7].
Следует также отметить, что, по своей сути, нелегальная
миграции в России может быть только внешней, поскольку
с 2005 года срок получения регистрации при изменении места пребывания
для российских граждан был продлен до 90 дней, что в принципе исключило
возможность частого применения термина «нелегальный мигрант» к гражданам
РФ, а также, очевидно, существенно снизило волатильность незаконного
миграционного потока. Для иностранных же граждан срок пребывания
без временной регистрации на территории Москвы и Московской области
ограничен 3 днями[8]. Однако
для иностранных граждан, приехавших в безвизовом порядке, предусмотрена
более «гуманная» схема: с 2013 года к 90 дням, предусмотренных законом
для пребывания таких граждан на территории РФ, добавлено еще 20
дней, но при ужесточении санкций к тем, кто нарушил срок легального
нахождения в стране[9].
Если говорить о направлении миграционных
потоков в России, причем как внутристрановых, так и внешних, то
данные Росстата по региональным миграциям[10]
позволяют выявить однозначных «лидеров» среди регионов-реципиентов.
Очевидно, основным центром притяжения населения в России является
Москва и Московская область, туда едет население со всей страны,
особенно – из европейской части[11].
Оба региона в 2012 году привлекли 822 тысячи работников из других
регионов России (без учета маятниковых мигрантов, которые, по оценкам
специалистов, составляют более 1 млн.человек ежедневно для данного
региона)[12]. Среди других
устойчивых федеральных центров «миграционного притяжения» в своем
исследовании [Мкртчян и Карачурина, 2013] Н.В. Мкртчян и Л.Б. Карачурина
выделяют Санкт-Петербург с Ленинградской областью, Краснодарский
край, Татарстан, Белгородскую, Калининградскую и Нижегородскую области.
Специалисты также отмечают Ханты-Мансийский АО как крупнейший центр
трудовой миграции, однако преимущественно он является не пунктом
конечного назначения мигрантов, а лишь точкой на пути «западного
дрейфа», как правило, к столичному региону.
Касательно основных стран-«доноров» нелегальных мигрантов,
тут последние двадцать лет наблюдается полная стабильность миграционной
ситуации вследствие нескольких исторических причин. Во-первых, после
крушения СССР Россия оказалась страной с относительно более высоким,
по сравнению с другими бывшими союзными республиками, уровнем жизни.
Так, Н.О. Гусман приводит в своей статье [Гусман, 2007], можно сказать,
краеугольный камень привлекательности России для мигрантов из ближнего
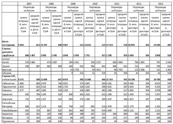
зарубежья. По нижеприведенному рисунку 1 можно легко сопоставить
соотношение величин среднего перевода (во втором квартале 2006 г.)
из России в соседние с ней страны и средней зарплаты в этих странах.
Степень превышения величины перевода над доходом в этой стране и
определяет, по мнению Гусмана, уровень ЭДС - экономической движущей
силы. Эта диаграмма полностью рационализирует Россию как крупный
центр миграционного притяжения на постсоветском пространстве.

Рисунок 1. Соотношение величин среднего перевода
(во втором квартале 2006 г.) из России в соседние с ней страны и
средней зарплаты в этих странах
Источник: Гусман Н.О. (2007)
Во-вторых, трудно отрицать тот факт, что Россия де-факто
была культурным, экономическим и политическим центром Советского
Союза, поэтому для граждан бывшего СССР российское социально-культурное
пространство кажется близким и привычным, «родным», если можно так
выразиться. В-третьих, вооруженные конфликты на периферии бывшей
советской территории и нарастающая социально-экономическая напряженность
в этих регионах (Туркменистан, Грузия, Таджикистан, Узбекистан,
Киргизия и т.д.), наряду с «необустроенностью» и открытостью границ
РФ после падения "железного занавеса", способствовали формированию
перманентного шаблона миграционной мобильности на постсоветском
пространстве. В силу этих и некоторых других обстоятельств, мигранты
из стран-соседей составляют абсолютное большинство среди нелегалов.
По словам руководителя ФМС России К.О. Ромодановского, «выходцы
из ближнего зарубежья составляют более 70 процентов прибывающих
в Россию иностранцев»[13],
а по некоторым оценкам, мигранты из стран бывшего СССР составляют
до 90% всего потока приезжих[14].
Они, как правило, составляют значительную группу мигрантов со статусом
нелегалов не по причине нарушения условий въезда (у России безвизовый
въезд со странами СНГ, кроме Грузии и Туркменистана), а ввиду нарушения
трудового законодательства, сознательного или вынужденного нестановления
на учет в компетентных ведомствах. И, соответственно, около 10-ти
оставшихся процентов приходится на миграцию из стран дальнего зарубежья,
таких как Китай, Индия, Пакистан, Бангладеш, Вьетнам, Афганистан
и другие. Слова директора ФМС подтверждаются официальными статистическими
данными, как можно увидеть из таблицы 1 и рисунка 2, где представлена
динамика численности международных мигрантов в России за 2000-ые
годы по основным странам-донорам.
Таблица 1 Динамика численности внешних мигрантов
(в %) в России за 2003-2013 гг. в России по странам-донорам

Источник: оперативные данные Росстата по миграции, вычисление
долей – автора.

Рисунок 2. Динамика численности внешних мигрантов
в России за 2003-2013 гг.
Источник: Росстат
1.2. Нелегальная миграция: благо, зло, необходимость,
неизбежность?..
Согласно релевантным опросам общественного мнения, проблема
миграции занимает одно из первых мест в общественном сознании по
степени серьезности и значимости для настоящего и будущего России.
По последнему социологическому опросу ФОМ от 29 мая 2012 года, 67%
россиян с опаской относятся к нелегальным мигрантам[15].
А 41% опрошенных поддерживает создание лагерей для нелегальных мигрантов
в своем регионе, при этом самая частая причина несогласия среди
респондентов – мнение, что нелегальных мигрантов и так слишком много,
и требуется их депортация, а не геттоизация[16].
В московском регионе ситуация, как и следовало ожидать, даже более
острая: президент фонда "Общественное мнение" Александр Ослон, основываясь
на данных апрельского исследования 2013 года в столице, заявил,
что москвичей «беспокоят проблемы с приезжими» (3е место в рейтинге
самых актуальных вопросов после пробок и роста цен)[17].
Во многом антимигрантские, доходящие зачастую до ксенофобских,
настроения среди населения «подогреваются» в СМИ и в «экспертной
среде». Надо отметить, что разброс мнений на этот счет столь же
широк, как и разнобой в оценках численности нелегальных иммигрантов.
С одной стороны, эксперты видят в иммиграции «единственную для нашей
страны "палочку-выручалочку"», только благодаря которой, в условиях
продолжительного демографического кризиса и естественной убыли основного
населения, сохраняется неизменной его численность и тем самым обеспечивается
необходимое для экономического роста количество рабочих рук[18].
Таким образом, миграция выступает жизненно необходимым «лекарством»,
буквально панацеей, от депопуляции
в РФ. Кроме того, наиболее драматическая ситуация наблюдается в
связи со стремительным сокращением численности трудоспособного населения,
начавшимся в 2007 году и прогрессирующим с незамедляющимся темпом[19].
И хотя по текущим демографическим данным Росстата[20]
в 2013 году в России впервые за долгое время наблюдался положительный
естественный прирост населения (24013 чел.), общий коэффициент рождаемости,
являющийся ключевым индикатором демографического тренда в общества,
до сих пор не достиг необходимого для простого воспроизводства уровня
и составляет 1,707 детей в расчете на одну женщину. Помимо этого,
важно учитывать, что любой всплеск рождаемости в настоящем приводит
в положительным сдвигам в экономике и социальной сфере только, в
среднем, через 20 лет, по достижении данным поколением трудоспособного
возраста. Поэтому заявление специалистов о том, что в ближайшие
годы миграционный прирост является единственным вариантом «выживания»
для России, имеет под собой основания.
Оппоненты придерживаются диаметрально противоположной
точки зрения. Они убеждены, что появление у нас большого числа нерезидентов
подрывает основы безопасности российского общества
и наносит прямой ущерб этнической, конфессиональной
и культурной целостности нации[21].
Однако наиболее близкими к истине представляются рациональные взвешенные
взгляды на миграционную проблему, сводящиеся к утверждению, что
в XXI веке "реальный выбор для России состоит не в том, быть или
не быть иммиграции, а в ее характере — легальном или нелегальном"[22].
В первом случае страна, при грамотной миграционной политике и продуманном
миграционном законодательстве, приобретает дополнительные трудовые
ресурсы, а, следовательно, и перспективы для экономического роста,
а во втором - наоборот, сталкивается с серьезными проблемами во
многих сферах жизни общества. С какими именно – будет сказано ниже.
По приблизительным оценкам, численность нелегальных
иммигрантов в мире, в среднем, составляет от 10 до 15 % от численности
«классических» международных мигрантов, то есть в России в 2000-х
численность нелегальных мигрантов колебалась от 3,5 до 5 млн. человек[23]
(по самым минимальным оценкам). Для сравнения, на начало 2000-х
в США нелегальных иммигрантов насчитывалось от 10 до 15 млн. человек,
в странах Западной Европы – от 5,6 до 8,4 млн. человек, в Японии
– от 300 тыс.до 1 млн человек, на Ближнем Востоке – от 1 до 3 млн.
человек, в Южной Америке – от 1,5 до 6 млн. человек[24].
В приведенной ниже таблице (табл.2) представлены относительные показатели
для этих регионов, а именно – доля нелегалов в общей численности
населения по данным на 2013 год.
Таблица 2. Для нелегальных мигрантов к общей
численности населения (в %) по странам
|
Страна/регион
|
Международная миграция (всего иностранцев) (млн.чел.)
(1)
|
Нелегальная миграция (млн.чел)**
|
Численность населения (млн.чел)*
|
Доля нелегальных мигрантов в общей численности населения(%)
|
|
Россия
|
11
|
1,65
|
142,5
|
1,16%
|
|
США
|
45,8
|
6,87
|
316,7
|
2,17%
|
|
Япония
|
2
|
0,3
|
127,2
|
0,24%
|
|
Евросоюз (28 стран)
|
72,4
|
10,86
|
505,7
|
2,15%
|
|
Ближний Восток
|
3,3
|
0,495
|
175
|
0,28%
|
|
Латинская Америка
|
3,9
|
0,585
|
401
|
0,15%
|
* на 2013 год, по данным Всемирного банка
** расчеты автора (15% от значения (1)) Источник: данные Всемирного Банка, Евростата,
информ.портала «Страны мира», стат.службы Японии; United Nations,
Department of Economic and Social Affairs (2012).Trends in International
Migrant Stock: Migrants by Destination and Origin (United Nations
database, POP/DB/MIG/Stock/Rev.2012); вычисления автора.
Несмотря на довольно низкую степень точности данной
оценки (дисперсия среднего при оценке численности населения велика),
можно сделать вывод о том, что в России относительно высокий уровень
нелегальной миграции (почти 1,2% ко всему населению, хотя в некоторых
других регионах он составляет по этом приблизительным оценкам гораздо
меньше 1%), однако он не кажется критичным. Тем не менее, если брать
верхнюю границу экспертных оценок нелегального миграционного притока
в Россию, а это 15 млн.чел.[25],
то доля незаконных мигрантов возрастает до 10,53% от общероссийской
численности, что не может не настораживать. В связи с этим, приоритетной
задачей национального развития России на ближайшие годы является
«перевод» нелегальных потоков миграции из «теневого сектора» экономики,
неподконтрольного никаким государственным ведомствам и официальной
статистике, в открытую легальную сферу.
Чем же так опасна нелегальная миграция и почему первоочередной
целью государственной политики в миграционной сфере должен стать
поиск путей по «декриминализации», «выведению из тени» нелегитимных
миграционных потоков и тщательная реализация этих программ? Прежде
всего, хотелось бы подчеркнуть, что речь идет именно об угрозах
нелегальной миграции, а не внешней миграции в принципе. Миграция
выполняет важные положительные функции в современных сбалансированных
рыночных экономиках, восполняет кадровый естественный дефицит на
рынках труда и другие «пробелы» в рыночной системе, не нанося, в
идеале, урона никаким другим сферам жизни общества, что, однако,
зачастую оказывается неверным именно для нелегальной миграции. Ж.А.Зайончковская
даже сравнивает миграцию с легкими общества и проводит аналогию:
миграция так же естественная для здорового нормально функционирующего
общества, как и дыхание для человека. То есть «как здоровый человек
не замечает своего дыхания, так и здоровое общество не слишком замечает
миграцию, если она протекает нормально»[26].
Во-первых, имманентным спутником нелегальной миграции
является неофициальная занятость и разрастание
«теневого сектора» экономики. По оценкам экспертов,
только неуплата налогов в «теневых» секторах экономики, обслуживаемых
нелегитимными мигрантами, лишает страну ежегодно до 8 млрд. долл.,
хотя верифицированные данные о вывозе ими из РФ денежных средств
по понятным причинам отсутствуют[27].
Директор ФМС К.О.Ромодановский говорит о 40 млрд.руб ежегодных потерь
бюджета России от неуплаты налогов нелегальными мигрантами[28].
В свою очередь дополнительное экономическое бремя
ложится на налогоплательщиков, так как иммигрантам приходится пользоваться
медицинскими услугами в общественных медицинских учреждениях, их
дети посещают общественные школы, увеличиваются расходы муниципалитетов
на поддержание правопорядка, санитарных условий, на выявление нелегальных
«обитателей» подвалов и заброшенных зданий и т.п. Так, по данным
УФС по надзору в сфере защиты прав потребителей и благополучия человека
по Санкт-Петербургу, «ежегодно на лечение туберкулёза у гастарбайтеров
из бюджета выделяется 75 миллионов руб.»[29].
Косвенным эффектом от неурегулированного правового статуса мигранта
выступает юридическая бесправность и беспомощность
мигрантов как в связи с возникающими трудовыми отношениями, так
и в целом. Такие «удобные» для работодателей работники не претендуют
на получение гарантированного прожиточного минимума зарплаты, различных
преимуществ, медицинского обеспечения. После увольнения нелегальные
мигранты не станут на учет на биржу труда для получения пособия
по безработице. Из-за этого «замкнутого круга» (бесправие работников
– экономия работодателей) происходит «консервация» неприемлемых
нецивилизованных форм трудовых отношений, складываются
нечеловеческие условия работы и жизни нелегалов
(неотапливаемые бытовки, отсутствие душевых помещений и гигиенических
комнат, пунктов горячего питания, не оборудованные должным образом
туалеты и пр.), что, в свою очередь, приводит к антисанитарии
и повышению заболеваемости. Стремясь избегать контактов
с государственными структурами, нелегальные мигранты оказываются
не в состоянии защитить себя в отношениях с работодателями и фактически
приобретают статус «современных рабов». И совершенно
очевидно, что пока будет происходить "подпитка" трудовых ресурсов
за счет иммиграции, предприниматели, будучи капиталистами и действуя
по принципу максимизации прибыли, никогда не начнут технико-социальную
модернизацию производства, которая только одна и может изменить
условия труда и уровень его оплаты в лучшую сторону[30].
И тут проявляется коренное отличие нелегальной иммиграции от легальной,
заполняющей «пробелы» и компенсирующей дисбалансы на рынке труда
страны-реципиента.
Во-вторых, нелегальная миграция провоцирует институциональный
сдвиг в обществе с неустоявшимися, не до конца
сформировавшимися институтами, к которым и относится Россия. В некотором
роде, эти негативные последствия вытекают из предыдущего пункта
и возникают на стыке экономики и социальной сферы. В частности,
возникает ущерб от особого рода полулегальной "индустрии" теневой
поддержки нелегитимной миграции[31],
в экономике «вырастают» новые криминальные сферы занятости, целые
рынки, например, рынок услуг по оформлению поддельной регистрации,
виз, приглашений, миграционных карт, разрешений на работу, медицинских
книжек и других необходимых мигранту документов. Исследователи нелегальных
миграционных потоков также отмечают эрозию общественной
морали как одно из последствий данного явления[32].
Так, институт фиктивного брака во многом подпитывается за счет нерезидентов,
пытающихся легализовать таким способом своё пребывание в стране.
А уж об эффекте усиления коррупционной составляющей в сферах государственных
инстанций, наиболее тесно соприкасающихся с нелегальными иммигрантами
(миграционная служба, милиция, паспортные столы и т.д.) и, как следствие,
разложении данных государственных органов написано много статей
и проведены исследования, подтверждающие эту взаимосвязь эмпирически[33].
Возвращаясь к сфере теневой занятости, но уже с институциональных
позиций, нелегитимная миграция способствует ухудшению социальных
стандартов в сфере занятости, разрушает институт честной конкуренции,
внедряя и укрепляя в переходной экономике России систему "нечестной
трудовой практики".
В-третьих, не требует подробных доказательств положительная
взаимосвязь между нелегальной иммиграцией и преступностью.
Помимо того, что «нелегалы» сами по себе являются административно-правовыми
нарушителями, общеизвестно, что они представляют собой социально-неблагоприятный
слой, в котором наиболее частыми являются уголовные преступления
и связи с криминалом[34].
Официальная статистика ФМС за последние годы показывает, что «количество
преступлений, совершенных как самими мигрантами, так и против них,
увеличилось в полтора раза», однако эксперты уверяют, что «удельный
вес преступлений, которые совершают иностранные граждане, и это
данные МВД России, - 3,4%» в общем количестве преступлений[35].
По тем же официальным данным «пальма первенства» на протяжении многих
лет принадлежит приезжим из Узбекистана, Таджикистана, Киргизии
и Молдавии, затем следуют китайцы и монголы. Тем не менее, неясно,
насколько эти данные учитывают преступления, совершенные именно
нелегально пребывающими на территории страны иностранцами. По официальным
отчетам ФМС от 2009 года, каждое третье правонарушение среди приезжих
совершается нелегалами, хотя утверждается, что связаны они в первую
очередь с попытками легализации[36].
Кроме того, чтобы подсчитать ущерб от преступлений, совершенных
нерезидентами страны, нужно исходное число умножать на некоторый
Х>1, поскольку такие преступления всегда вызывают широкий негативный
общественный резонанс, усугубляя и без того дискриминационное отношение
к приезжим в обществе. Стоит вспомнить хотя бы октябрьские события
прошлого года вокруг овощной базы в Бирюлево (Москва)[37].
В-четвертых, через открытые, огромные по протяженности
и фактически никак не охраняемые южные границы, в частности через
Таджикистан и граничащие с ним страны, проходит основной поток
наркотиков из Афганистана[38].
Ситуация с наркотрафиком усугубляется отсутствием, де-факто, государственной
границы между Афганистаном и Таджикистаном. В добавление ко всему,
в 2005 году афгано-таджикскую границу покинули охранявшие её до
этого российские военные. Согласно докладу Управления ООН по наркотикам
и преступности, в 2010 году «Северным путем» в Россию транзитом
из Афганистана прошло приблизительно 90 т героина (оценочно - 25%
от совокупного объема произведенного героина, 380 т., в Афганистане)[39].
Это проблема поистине общероссийского масштаба: по данным БСМЭ,
в России в 2012 году от употребления запрещенных наркотических веществ
умерли 7855 человек, причем некоторые эксперты говорят о сильной
заниженности этих оценок[40].
Необходимость бороться с нелегальной иммиграцией обуславливается
ещё и тем, что это явление связано с такими опасными и противоправными
элементами общественной жизни, как терроризм, незаконный оборот
оружия и наркотиков, рабство и торговля людьми[41].
И последнее по счету, но не по значимости: миграционный
прирост в России за последние 20 лет, за счет стран СНГ и Средней
Азии, в совокупности с низкой рождаемостью, привел к заметному увеличению
индекса разнообразия и значительно повысил «пестрость» этнолингвистической
карты[42]. Особенно явственно
меняется этнический ландшафт в крупных, «регионообразующих»
городах страны (Москва, Санкт-Петербург…). И хотя Россия по своей
природе – «плавильный котел», и благодаря многовековой истории сформировалась
как многонациональное государство с ядром национального мировоззрения
– интернациональностью, как уже было упомянуто выше, в российском
обществе с каждым годом усиливаются националистические,
вплоть до ксенофобских, настроения, значительно
нагнетается социальная напряженность. Каким образом
и национальное и расовое разнообразие начало трансформироваться
из предмета исследований ученых в источник повседневной напряженности
в обществе? Вероятно, была перейдена условная черта – общественно
допустимый уровень этнического разнообразия – после которого не
остается места для толерантности. Иными словами, своего рода мальтузианский
закон народонаселения, или эффект «бутылочного горлышка», только
примененный не для популяции в целом, а приложенный к количеству
этнически чуждых для среды элементов. В сочетании с вышеперечисленными
эффектами от нелегальной миграции, а также обширной «эксплуатацией»
темы в СМИ, с приданием ей вместо рационально-экономического оформления
– националистических и истерично-шовинистских интонаций – всё это
объясняет возрастающую в обществе настороженность.
Глава 2. Оценки нелегальной миграции в России
Итак, первая часть была посвящена анализу основных тенденций
миграции в России, в частности, нелегальной миграции, а также приведено
обоснование необходимости минимизировать или, как минимум, контролировать
численности нелегальных иммигрантов. В рамках второй части данной
исследовательской работы будут приведены различные методики оценки
численности нелегальных мигрантов в России, основанные на классификации
из статьи [Вакуленко и Цимайло, 2011]: статистические, опросные,
мультипликативные и косвенные методы. Поскольку вышеупомянутая статья
очень полно и подробно описывает механизм и недостатки каждого из
способов оценки, в данной работе практически не будет уделено внимания
теоретическим особенностям каждого метода, но будут представлены
эмпирические выкладки для актуальной миграционной ситуации в России.
Существует множество методов оценки количества нелегальных мигрантов,
поэтому, конечно, не все из них применимы и дают состоятельные оценки
именно для России в силу специфики доступных баз данных, открытости
источников демографической информации и страновых особенностей сбора
и учета первичных данных[43].
В данном исследовании будут охвачены только самые интересные и эффективные
способы.
2.1 Статистические методы
1. Одним из наиболее простых, доступных, и потому широко
распространенных, способов получить оценку численности нелегальных
мигрантов является, так называемое, уравнение демографического
баланса, которое выглядит следующим образом:

В данной формуле переменные S и S0
представляют собой численность населения, выявленную при проведении
двух последовательных переписей населения; N – число родившихся
за период, M – число умерших за период (N-M, соответственно,
естественный прирост/убыль населения); I – количество прибывших
за период, E – количество убывших (I-E - миграционное сальдо,
или механический прирост). Расхождение между результатами уравнения
между переписями на некоторую величину X и принимается равным величине
нелегальных мигрантов. Однако, чтобы получить более адекватные и
приближенные к реальным ежегодные оценки нелегального потока мигрантов,
а не только в период между переписями, значения численности были
дополнены ежегодными. Они были взяты из официальных статистических
сборников Росстата, Демографического ежегодника России.
Таблица 3. Оценка нелегальной миграции из уравнения
демографического баланса

Источник: данные из официальных сборников Росстата
Как можно увидеть из таблицы 3, уравнение демографического
баланса дает отрицательные оценки нелегальной миграции в России
за 2011 и 2012 годы, что, конечно, в корне противоречит существующим
оценкам и здравому смыслу. Такой результат может быть частично объяснен
несовершенством данного метода: переменная X включает в
себя все ошибки модели, полученные на каждом этапе сбора и обработки
всех параметров уравнения, что приводит к сильной смещённости ее
оценок. Кроме того, возможно, что после переписей были сделаны корректировки
и пересчет ежегодных оценок численности с учетом полученных расхождений,
что приводит к несостоятельности вышеприведенной схемы оценки. Однако,
если оценивать количество нелегальных иностранцев на территории
РФ на 2010 год (год последней переписи), используя исключительно
данные о численности из двух последних переписей населения за 2002
и 2010 годы, соответственно, без промежуточных оценок численности,
то получается цифра в 2 094 607 человека,
что, в целом, совпадает с большинством среднегодовых экспертных
оценок. Тем не менее, метод не очень удобен, поскольку позволяет
получать оценку нелегальной миграции только в привязке к Всероссийским
переписям населения, которые проводятся относительно редко.

2. Метод остаточных чисел
также признается одним из самых универсальных и широко используемых
при оценке численности нелегальной миграции. В данном способе окончательная
оценка нелегальных мигрантов R выводится из следующего
уравнения:

где FB (Foreign-born population) - общее число
иностранных граждан, выявленное в ходе переписи населения или различных
выборочных демографических исследований; L (Legal immigrants)
- число легальных мигрантов; D (Dropout) – количество
выбывших легальных мигрантов по различным причинам, в том числе,
по причине смерти; T (Temporary) - число временных легальных
мигрантов (в данную группу в основном включаются студенты и рабочие,
т.е. получившие разрешение на временное проживание или вид на жительство).
Все вычисления проводились для 2013 года, по текущим
оперативным данным с Росстата и ФМС[44].
Как число временных легальных мигрантов было включено значение выданных
видов на жительство и разрешений на временное проживание, при этом
важно отметить, что в эту группу не включаются приезжие по туристическим
и бизнес-целям. Оценка численности умерших легальных мигрантов была
получена путем экстраполяции общего коэффициента смертности:

на группу законно иммигрировавших граждан (вводится
предпосылка, что для них условия жизни, а значит, и ее продолжительность,
в среднем эквивалентны значениям данных показателей для всего населения).
При подсчёте окончательного значения нелегальной миграции был принят
во внимание тот факт, что часть их, а именно, так называемые, квазилегальные
мигранты, была уже известна и учтена в регистрах ФМС ранее (см.
таблицу 4). К квазилегальным мигрантам, в основном, относят беженцев,
депортированных мигрантов, а также людей, попросивших временное
и политическое убежище в стране. Таким образом, если искомую переменную
R представить как сумму R=R1+R2,
где R1 - квазилегальные мигранты, а R2
- незаконные, то мы получаем следующее число нелегальных мигрантов
в России в 2013 году: 4 128 825 человек.
Таблица 4. Оценка численности нелегальных мигрантов
в России в 2013 году методом остаточных чисел

Источник: статистические данные ФМС, Росстата
2.2. Опросные методы
Методы объектного опроса, по сути, представляют собой
синтез социологии, демографии и искусства, поскольку «выудить» из
респондента честный объективный ответ на многие вопросы, особенно
касающиеся легальности его пребывания на территории страны, чрезвычайно
трудно. Они подразумевают прямое анкетирование респондентов, в отличие
от второго типа опросных методов – экспертного опроса. Однако, существуют
приёмы, стимулирующие респондентов отвечать правдиво на интересующий
исследователей вопрос, или, по крайней мере, увеличивающие вероятность
честного ответа. Отдельным искусством является «трактовка» результатов
в опросах, где не задавалось прямых вопросов по цели исследования,
но из полученных ответов эксперты, на основе косвенных факторов,
вычленяют необходимые показатели. Так, в США при выборочных обследованиях
населения выявляется множество характеристик, как-то: возраст, пол,
национальность, семейное положение, образование, доход, предыдущее
место занятости, опыт работы, состояние здоровья, гражданство, дата
приезда в США, страна рождения, получаемые социальные пособия, семейное
положение, уровень образования и т.д. А дальше, основываясь на других
исследованиях, определяется факторная вероятность, что человек является
нелегалом, для каждого из параметров. Затем на основе всех вышеперечисленных
переменных рассчитывается суммарная вероятность каждого респондента
принадлежать к группе нелегальных иммигрантов. И если суммарная
вероятность превышает 1, то индивида считают незаконным мигрантом[45].
Некоторые из опросных методов, как GAO и RRT[46],
демонстрируют действительно высокую эффективность, особенно по сравнению
с обыкновенным анкетированием. Развитие эконометрических и вероятностных
техник параллельно с совершенствованием психологического аспекта
опросников имеет большие перспективы, хотя эти методики являются
весьма ресурсозатратными.
Как можно догадаться из названия, вторая группа опросных
методов – экспертный опрос – включает в себя мнения различных экспертов
и осведомленных лиц по данной теме, при этом работа по опросу экспертов,
их количество, критерии отбора в «фокус-группу», экспертное взаимодействие
и оценка полученных итогов могут сильно варьироваться. Безусловно,
невозможно полностью избежать субъективности в результатах оценок,
полученных в ходе подобных исследований, однако в синтезе с другими
методами, в особенности со статистическими, они могут давать более-менее
несмещенные оценки.
В силу того, что первичная обработка и анализ микроданных
требует огромных затрат и усилий, и, на самом деле, достойно отдельной
исследовательской работы, в рамках своей курсовой работы я попробую
провести приблизительную оценку количества нелегальных мигрантов,
используя статистические таблицы Комплексного наблюдения условий
жизни населения – выборочного анализа Росстата, проведенного с целью
расширения знаний в области текущих условий жизни населения за период
2011-09-15 - 2011-09-30[47].
Выборка по индивидуальным опросникам составила 19905 наблюдений,
и может считаться репрезентативной, поскольку проводилась по домохозяйствам
во всех регионах Российской Федерации. Итак, основываясь на исследованиях,
посвященных описанию портрета среднестатистического российского
нелегального мигранта[48],
можно выделить следующие характеристики изучаемого субъекта:
- Российский рынок труда наиболее привлекателен для
молодежи из стран Центральной Азии (Узбекистана, Таджикистана,
Киргизии), с низким уровнем образования, плохим
знанием русского языка и отсутствием профессиональной
подготовки (неквалифицированная рабочая сила
составляет треть от общего числа мигрантов). Спроса на высококвалифицированных
рабочих из зарубежья остается на низком уровне, поэтому даже приехавшие
из других стран учителя и врачи вынуждены заниматься трудовой
деятельностью не по специальности;
- Большинство мигрантов устраиваются в сферы с эластичным
спросом на рабочую силу: строительство, розничная торговля;
- Мужчины составляют подавляющее большинство
в гендерной структуре мигрантов;
- Если подробнее рассматривать уровень образования
приезжих, то выясняется, что четверть из них имеет среднее
специальное или среднее профессиональное образование
и только 16,5% имеет высшее или незаконченное высшее[49].
Далее, из последних данных ФМС России о численности
находящихся на территории страны иностранных граждан и лиц без гражданства
– 10847352 чел.- и общей численности населения по оценке Росстата
на 2013 год – 143300000 чел. - мы находим долю лиц, имеющих иностранное
гражданство: примерно 7,57%. В таблице 5 можно увидеть выделенные
ячейки, которые соответствуют составленному нами выше портрету среднестатистического
нелегального мигранта.
Таблица 5. Уровень образования по группам занятости
(в %) для респондентов

Источник: Комплексное наблюдение условий жизни населения
(Росстат)
Иными словами, среди выделенных групп высока вероятность
нахождения мигранта, но поскольку микроданные агрегированы в таблице
без учета гражданства, то для получения конечной доли нелегальных
мигрантов, необходимо скорректировать значения на полученную выше
долю лиц иностранного государства. Поскольку мы рассматриваем только
мужчин, так как в данной гендерной группе выше вероятность нахождения
нелегального мигранта, то и расчеты будут проводиться не на совокупной
численности населения, а на численности мужчин на 2013 год в России,
равной 66,3 млн. чел. Далее получаем приблизительную долю мужчин-иностранцев
на территории РФ в 2013 году:

аналогичную долю получили для показателей поло-возрастной
международной миграции за 2012 и 2011 годы. Предполагается, что
полученная пропорция мужчин и женщин относительно перманентна во
времени. Тогда численность мужчин среди всех проживающих в РФ лиц
иностранных государств и без гражданства равна 6 616 885 чел. (0,61*
10847352 чел.). Таким образом, получаем долю мигрантов среди мужского
населения РФ:

Как уже упоминалось выше, результаты по выборке можно
распространить на генеральную совокупность в силу репрезентативности
выборки. Далее, усреднив доли по занятым в сфере ЖКХ (1ый выделенный
столбец) и неквалифицированным рабочим (последний столбец) для каждой
из подходящих групп по уровню образования, мы получаем следующую
приблизительную оценку численности нелегальных мигрантов в РФ: 3
943 663 чел. Так как нас интересует область пересечения
двух множеств (множества занятых и множества иностранцев мужского
пола), то данная оценка получена путем перемножения доли занятых
в секторе на найденную выше долю мигрантов среди мужчин и на численность
мужчин на 2013 год. Тем не менее, есть опасность, что оценка получилась
несколько заниженной, поскольку именно в рассмотренных специфических
секторах экономики, с преобладанием неквалифицированного труда,
доля иностранных граждан как раз выше, чем в среднем по России.
Также возможно, что в первичную выборку Комплексного наблюдения
условий уровня жизни не попали мигранты или их попало очень незначительное
количество, что также объясняет заниженность полученной оценки.
2.3. Мультипликативные методы
Мультипликативные методы включают
в себя целое семейство разнообразных способов вычисления объемов
нелегальной миграции, основанных на использовании так называемого
«мультипликатора» - коэффициента, отражающего степень коррелированности
между двумя подобранными показателями. Первый показатель – это собственно
исследуемая величина, не поддающаяся прямым оценкам, второй – некоторая
новая переменная, которая характеризуется явной взаимосвязью с первым
показателем (своего рода «инструментальная переменная»). Таким образом,
основная проблема этого метода – в правильной подборке переменной
и корректной оценке самого множителя (мультипликатора), отражающего
зависимость признаков.
Поиски такого высоко коррелированного показателя для
России отняли много времени, однако в открытом доступе не была найдена
ни информация о количестве отказов по визам (сайт МИД), ни статистики
по обращениям иностранцев в медицинские государственные учреждения
(Минздрав), ни пропорции преступлений, совершенных нелегалами и
легальными мигрантами (МВД). К сожалению, такая ограниченность статистических
данных создает существенные ограничения для проведения качественного
исследования нелегальной миграции в России с использованием мультипликативных
методов.
2.4. Косвенные методы
К косвенным методам принято
относить все остальные способы оценки нелегальной миграции, не вошедшие
в вышеперечисленные классификации. Эти методы характеризуются наибольшей
оригинальностью, спецификой и волатильностью инструментария, однако
их же оценки вызывают наиболее критическое отношение среди экспертов.
Значение денежных переводов для экономики развивающихся
стран трудно переоценить. Именно денежные переводы являются важнейшим
источником внешнего финансирования и «мотором» развивающихся экономик,
ключевым фактором сокращения бедности[50],
что верно и для стран бывшего СНГ, на которые приходится в среднем
от 87 до 92% всех прибывших в РФ международных мигрантов[51].
Для многих стран-«экспортеров» рабочей силы денежные переводы мигрантов
на Родину составляют значительную долю их ВВП и является чуть не
единственным стабильным источником национального дохода. Таким образом,
перспективным методом оценки нелегального миграционного оборота
для России является косвенный метод на основе официальной статистике
по денежным переводам (банковским, почтовым, электронным и и.д.).
Однако, необходимо сразу оговориться, что значительным недостатком
данного метода является недоучет неофициальных денежных переводов,
которые являются очень распространенными в среде нелегальных мигрантов,
что обусловлено несколькими объективными причинами. Во-первых, официальный
денежный перевод может быть недоступен мигрантам из-за отсутствия
у них необходимой документации, из-за нежелания контактировать с
органами, в той или иной степени связанными с государством. Во-вторых,
данную ситуацию может усугублять элементарный человеческий фактор:
низкий уровень грамотности, плохое владение местным языком, неумение
пользоваться банковскими услугами или недоверие к ним.
Г.И Глущенко выделяет следующие детерминанты спроса
мигрантов на услуги по денежным переводам:
- число трудящихся мигрантов;
- величина получаемой мигрантом заработной платы;
- экономическая ситуация в стране приема мигрантов;
- обменные курсы валют и ставки процентов по депозитам в посылающих
и принимающих странах;
- политический риск;
- наличие инфраструктуры для осуществления перевода денежных
средств;
- семейное положение, наличие иждивенцев;
- уровень доходов домашнего хозяйства;
- уровень образования мигранта;
- продолжительность времени нахождения за рубежом;
- уровень развития транснациональных сообществ мигрантов в стране
пребывания[52].
Итак, воспользуемся статистикой денежных переводов за
период с 2007 по 2013 годы с сайта ЦБ России[53],
в которую включены данные по трансграничным переводам, осуществленным
через базовые системы денежных переводов[54]
и Почту России по основным странам-контрагентам (по обороту денежных
средств, соответственно). Из статистики были исключены страны дальнего
зарубежья, приток нелегальных мигрантов из которых по всем экспертным
оценкам не является значимым в общем объеме (итоговую таблицу первичных
данных см. в Приложении, табл. 6). Затем была осуществлена проверка
причинно-следственной связи между объемом денежных переводов за
рубеж и численностью международных миграционных потоков по странам
из выборки в год: парный коэффициент корреляции между переменной
N(количество мигрантов) и M (сумма денежных переводов)
стремится к единице (r = 0,97). Это позволяет утверждать, что существует
очень высокая корреляция между двумя переменными.
Заключительный этап состоял из расчета суммы операций,
осуществленных мигрантами, состоящими на учете в ФМС. Предварительно
вводилась предпосылка, что из всех денежных переводов в страны зарубежья
на долю мигрантов приходится в среднем 70% переводов, таким образом,
вводился поправочный коэффициент ? равный 0,7. Затем, из
скорректированного общего объема переводов в рассматриваемые страны
вычиталась сумма переводов легальных иммигрантов. Остаток делился
на среднюю сумму одной операции (в долл.), и так мы получали оценку
численности нелегалов (см. таблицу 7): 31 674 040
чел (2013 год). К сожалению, результаты вряд ли
можно считать адекватными и удовлетворительными. Для получения более
точных оценок в следующих работах возможно уточнить статистику по
легально проживающим в РФ мигрантам из стран-«доноров» – это позволило
бы исключить расхождения между информацией, которой располагает
ФМС и статистические агентства этих стран. Кроме того, необходимо
уточнение поправочного коэффициента ?, с помощью, например,
опросных методов, для определения реальной доли переводов трудовых
мигрантов в общей сумме переводов. Так, например, по данным Е.В.
Тюрюкановой, денежные переводы осуществляют лишь 42-53% мигрантов[55].
А значит необходимо учитывать этот фактор, а также ряд других, при
оценке.
Таблица 7. Оценка численности нелегальных мигрантов
по методу денежных переводов

Источник: вычисления автора на основе данных ЦБ РФ и
ФМС
Именно по причине высокой погрешности результатов косвенные
методы оценки численности нелегальных мигрантов являются одними
из самых редко используемых в различных исследованиях по всему миру,
но от этого они не теряют своей перспективности. Особенно это актуально
для России, потому что создается впечатление, что абсолютное большинство
российских исследований нелегальной миграции посвящены качественному
анализу явления – причины, последствия, региональные особенности
–, при этом обоснованных и реалистичных количественных оценок с
использованием определенных методик до сих пор не создано.
Ф. Шнайдер, эксперт по изучению теневой экономики, называет
стремление к изучению скрытых социальных явлений, к коим относится
и нелегальная миграция, и «теневая» занятость, «научной страстью
к познанию непознаваемого»[56].
Действительно, данная исследовательская работа позволила продемонстрировать
всю сложность получения однозначных объективных оценок данного явления
(получили разброс от 2 млн. до 31 млн. чел. – см. таблицу 7 на стр.
30) в силу принципиальной «скрытости» предмета исследования и путаницы
даже в определении термина «нерегистрируемой миграции». Однако,
несмотря на недостатки каждого из существующих на данный момент
методов оценки нелегальной иммиграции и существенные ограничения
в применении каждого из них, изучение нерегистрируемой миграции
остается на вершине социальной и научной «повестки дня».
Заключение
В заключение, хотелось бы ещё раз подчеркнуть научную
и общественно-прикладную значимость темы нелегальной миграции, и,
как следствие, поиска путей для достижения наиболее адекватных несмещенных
оценок этого явления. Нелегальная миграция на сегодняшний день превратилась
в предмет политических популистских спекуляций, одну из базовых
социальных проблем и своеобразную лакмусовую бумажку состояния общества.
Жаркие дискуссии о миграции, ее роли в жизни страны, необходимости
и оптимальных количествах иностранной рабочей силы, не утихали в
течение всего прошедшего десятилетия и вряд ли прекратятся в ближайшее
время. В данной исследовательской работе была предпринята попытка
оценить масштабы нелегальной миграции в России. Итоговые результаты
представлены в нижеприведенной таблице 7:
Таблица 7. Сводная таблица полученных оценок
нелегальной миграции в России

В целом, результаты можно считать удовлетворительными,
хотя разброс оценок недопустимо велик: уточнение и доработка использованных
для России методов оценивания представляет значительный научный
и практический интерес для последующих исследований. Особенно много
возможностей для корректировок оставляет косвенный метод с использованием
данных по денежным переводам. На основании полученных результатов
можно утверждать, что в России постоянно находятся на проживании
или пребывают в цикличном движении из пункта отправления в пункт
назначения около 4 миллионов незарегистрированных мигрантов, что
подтверждает обоснованность нахождения проблемы нелегальной миграции
на верхушках рейтингов релевантности по опросам общественного мнения
и высказываниям экспертной среды.
Маловероятно, что проблема нелегальной иммиграция будет
окончательно решена, пока существует прогрессирующий разрыв в уровнях
экономического развития между Россией и странами бывшего СНГ, Закавказья,
Средней Азии и других соседствующих государств. С одной стороны,
в стране-«пункте назначения» существует неуменьшающаяся потребность
в рабочей силе, чтобы компенсировать «провалы» на рынке труда из-за
естественной убыли населения, кроме того, сохраняются ниши для незаконного
трудоустройства мигрантов и заинтересованность работодателей ( в
том числе, государства) в дешевой и бесправной рабочей силе для
«экономии издержек». С другой стороны, социальная нестабильность
и экономические проблемы в странах-«донорах» человеческих ресурсов
не перестают быть перманентными миграционными факторами для местного
населения. Но, несмотря на структурную «непобедимость» нелегальной
миграции, существуют способы уменьшения негативных «симптомов болезни»,
как минимум – обеспечение условий для перехода нелегалов в законный
сектор.
Иммиграция имеет многоплановые и неоднозначные, подчас
непрогнозируемые экономические, социальные и демографические последствия
для принимающей страны, дифференцированно проявляющиеся в различных
сферах ее жизни. Зачастую, негативные или позитивные последствия
иммиграции для отдельно взятой страны обусловлены структурой ее
экономики, развитостью базовых общественных институтов, совершенством
рынка труда и миграционного законодательства, а также, безусловно,
характером самой миграции. Так, на мой взгляд, легальная миграция
(особенно если говорить о внутренней мобильности) является естественным
демографическим процессом, способствующим региональному экономическому
балансу. В подтверждение хотелось бы вспомнить исследовательскую
работу Майкла Клеменса [Clemens, 2011][57].
В ней автор приходит к совершенно неожиданным на первый взгляд результатам:
вследствие отмены миграционных барьеров мировая экономика могла
бы вырасти на 50-150% (мировое ВВП), причем всего лишь за счет оптимального
перераспределения рабочей силы без повышения квалификации работников
и при прочих равных. Подобные прогнозы не могут не впечатлять.
Таким образом, необходимо начать осуществление продуманной
миграционной политики, направленной на борьбу с нелегальной миграцией,
но не миграцией в принципе. Переосмысление основных тезисов в отношении
миграционных процессов помогло бы избежать двойственности и неопределенности
в этой сфере[58]. Обеспечение
легитимного поля международной миграции и разумное сбалансированное
использование доступной на постсоветском пространстве рабочей силы,
большая часть которой имеет языковую и культурную общность с Россией
– основные вызовы актуальной общенациональной повестки дня. Решения
может быть найдено только как результат взвешенной хладнокровной
миграционной политики, вне политических спекуляций и триумфа националистического
пафоса.
Приложение
Таблица 6. Динамика трансграничных денежных
переводов
с 2007 по 2013 годы по основным странам-контрагентам

Источник: статистика ЦБ РФ.
Список литературы
- Camarota S.A. Immigrants in the United States, 2007:
A Profile of America’s Foreign-Born Population// Washington, DC:
Center for Immigration Studies Backgrounder, 2007.
- Schneider F., Buehn A., Montenegro C. (2010): New
Estimates for the Shadow Economies All over the World // International
Economic Journal. Vol. 24. № 4. UN (2008): World Population Prospects.
- The Global Afghan Opiate Trade: A Threat Assessment,
2011, UNODC, 9 с.
- Woodbridge, J. (2005), Sizing the unauthorised (illegal)
migrant population in the United Kingdom in 2001, London: Home
Office.
- Архив журналов «Миграция XXI век» [в электронном
формате] (http://mirpal.org/migrjournal.html).
- Вакуленко Е.С., Цимайло В.В. Учёт нелегальной миграции
населения: методы и оценки //Демоскоп-Weekly № 479 - 480 26 сентября
- 9 октября 2011. http://demoscope.ru/weekly/2011/0479/analit02.php
- Гайдар Е.Т. Структурные реформы. Ускорение вместо
паузы // Известия. 2003. 26 февраля, с. 7.
- Глущенко Г.И. Денежные переводы международных трудовых
мигрантов: характеристики и детерминанты// "Вопросы статистики"
№3 2005, с.38-50.
- Григорьев М., Осинников А. Нелегальные мигранты
в Москве. - М., Изд. "Европа", 2009, 260 с.
- Гусман Н.О. Миграция через призму денежных переводов
// Российская миграция, №4, 2007, 18-19 c.
- Егорова Е. Нелегальная миграция в России, (http://russiancouncil.ru/inner/?id_4=2003#top).
- Зайончковская Ж., Молодикова И., Мукомель В. Методология
и методы изучения миграционных процессов: Междисциплинарное учебное
пособие.- Центр миграционных исследований: М., 2007 - 370 с.
- Зайончковская Ж.А. Федеральные округа на миграционной
карте России// "Регион: экономика и социология", 2012, №3, с.
3-18.
- Игнатьев Р. Чье лицо у преступности// «Земляки»,
№ 7, 2009 года (http://www.fms.gov.ru/press/publications/news_detail.php?ID=29440).
- Информационный портал «Страны мира» (http://ru-world.net/).
- Красинец Е.С., Кубишин Е.С., Тюрюканова Е.В. Нелегальная
миграция в Россию. М., 2000, 29-36 с.
- Лопухина Т., Градировский С. Типологии миграционных
процессов, (http://www.archipelag.ru/authors/lopuhina/?library=1108).
- Международная миграция: теория и история изучения
// Международная миграция населения: Россия и современный мир
/ под ред. В. А. Ионцева. – М.: Диалог-МГУ, 1999. –Вып. 3. – С.
53–105.
- Метелев И.С. Демографические аспекты трансграничной
миграции: методы и оценки// Экономическая глобализация и проблемы
национальной и международной безопасности, 94-96 с.
- Миграция населения: экономика и политика // Международная
миграция населения: Россия и современный мир / под ред. В. А.
Ионцева. – Вып. 18. – М.: ТЕИС, 2006. – С. 28–29.
- Мкртчян Н.В., Карачурина Л. Б. Миграция в России:
потоки и центры притяжения // Демоскоп Weekly. 2013. № 595-596.
http://demoscope.ru/weekly/2014/0595/tema01.php
- Мукомель В. Экономика нелегальной миграции в России//
Демоскоп Weekly, 18 августа 2005, (http://polit.ru/article/2005/08/18/demoscope207/#r4).
- Перепелкин Л.С., Стельмах В.Г. Нелегитимная иммиграция
и неофициальная занятость в Российской Федерации: зло, благо или
неизбежность?// «Общество и экономика», № 4, 2005, с. 49-62.
- Поладова Л.Т. Незаконная миграция в Россию: тенденции,
последствия, противодействие, – автореферат дисс.
- Родионов К.В. Почему стоит вести визы для жителей
Средней Азии, (http://www.forbes.ru/mneniya-column/konkurentsiya/234142-pochemu-stoit-vvesti-vizy-dlya-zhitelei-srednei-azii).
- Родионов К.В. Самоликвидация России (Независимая
газета, 17.05.2013, http://www.ng.ru/ideas/2013-05-17/5_samolikvidatsia.html).
- Сайт Всемирного Банка (http://data.worldbank.org/indicator).
- Сайт Евростата (http://epp.eurostat.ec.europa.eu/portal/page/portal/statistics/themes).
- Сайт Международного Валютного Фонда (http://www.imf.org/external/russian/index.htm).
- Сайт Международной организации по миграции (http://www.iom.int/cms/en/sites/iom/home.html).
- Сайт ООН (http://www.un.org/ru/).
- Сатаров Г.А. Тепло душевных отношений: кое-что о
коррупции // Общественные науки и современность. 2002. № 6, с.
22-23
- Статистика сайта ЦБ (http://www.cbr.ru/statistics/).
- Статистика состояния преступности на сайте МИД (http://mvd.ru/Deljatelnost/statistics/reports).
- Статистические данные и официальные публикации/сборники
Росстата (http://www.gks.ru/wps/wcm/connect/rosstat_main/rosstat/ru/).
- Статистические данные с сайта ФМС (http://www.fms.gov.ru/about/statistics/data/).
- Тюрюканова Е.В. (2004). Трудовая миграция в России.
// Отечественные записки, 2004. № 4(18).
- Федоров Л. Почему Москву обживают мигранты? // Московская
правда. 2002.
- Цапенко И.П. Роль иммиграции в экономике развитых
стран// «Мировая экономика и международные отношения», №5, 2004,
с. 27-39.
- Чернина Е.М., Локшин М.М. Мигранты на российском
рынке труда: портрет и заработная плата.
- Чернов Д. Мигранты крадут у России миллиарды //
Время МН. 2002. 10 декабря.
- Чудиновских О.С. К вопросу о методике расчета численности
долгосрочных международных мигрантов в странах СНГ// Вопросы статистики
№11 2005, c.46-47.
- Чудиновских О.С. Учет миграции в России: причины
и последствия кризиса// «Демоскоп Weekly» № 185, 10-23 января
2005. http://demoscope.ru/weekly/2005/0185/analit03.php
[1] Ионцев, В. А. Международная
миграция: теория и история изучения // Международная миграция населения:
Россия и современный мир / под ред. В. А. Ионцева. – М.: Диалог-МГУ,
1999. –
Вып. 3. – С. 53–105.
[2] http://www.un.org/ru/ga/68/meetings/migration/pdf/internationalmigrantsworldwide_totals2013.pdf
[3] Статистические сведения
ФМС по миграционной ситуации в РФ: http://www.fms.gov.ru/about/statistics/data/
[4] Лопухина Т., Градировский
С. Типологии миграционных процессов, http://www.archipelag.ru/authors/lopuhina/?library=1108
[5] Вакуленко Е.С., Цимайло
В.В. Учёт нелегальной миграции населения: методы и оценки //Демоскоп-Weekly
№ 479 - 480 26 сентября - 9 октября 2011. http://demoscope.ru/weekly/2011/0479/analit02.php
[6] Поладова Л.Т. Незаконная
миграция в Россию: тенденции, последствия, противодействие. – автореферат
диссертации.
[7] Красинец Е.С., Кубишин
Е.С., Тюрюканова Е.В. Нелегальная миграция в Россию. М., 2000, с.
29-36
[8] Данные с сайта Московского
бюро миграционных услуг, http://www.in-reg.ru/
[9] Интервью К.О.Ромодановского
журналу «Итоги», 2 декабря 2013 года, http://www.fms.gov.ru/press/publications/news_detail.php?ID=76179
[10] http://www.gks.ru/wps/wcm/connect/rosstat_main/rosstat/ru/statistics/population/demography/#
[11] Мкртчян Н.В., Карачурина
Л.Б. Миграция в России: потоки и центры притяжения // Демоскоп Weekly.
2013. № 595-596. http://demoscope.ru/weekly/2014/0595/tema01.php
[12]Мкртчян Н.В., Карачурина
Л. Б. Миграция в России: потоки и центры притяжения // Демоскоп
Weekly. 2013. № 595-596. http://demoscope.ru/weekly/2014/0595/tema01.php
[13] Интервью К.О. Ромодановского
журналу «Итоги», 2 декабря 2013 года, http://www.fms.gov.ru/press/publications/news_detail.php?ID=76179
[14] Поладова Л.Т. Незаконная
миграция в Россию: тенденции, последствия, противодействие. – автореферат
дисс.
[15] http://fom.ru/obshchestvo/10451
[16] http://fom.ru/obshchestvo/11052
[17] http://newsru.com/russia/15may2013/migranty.html
[18] Зайончковская Ж.А. Федеральные
округа на миграционной карте России// "Регион: экономика и социология",
2012, №3, с. 3-18.
[19] Там же.
[20] http://www.gks.ru/wps/wcm/connect/rosstat_main/rosstat/ru/statistics/population/demography/#
[21] Родионов К.В. Самоликвидация
России (Независимая газета, 17.05.2013, http://www.ng.ru/ideas/2013-05-17/5_samolikvidatsia.html)
[22] Гайдар Е.Т. Структурные
реформы. Ускорение вместо паузы // Известия. 2003. 26 февраля, с.
7.
[23] Миграция населения:
экономика и политика // Международная миграция населения: Россия
и современный мир / под ред. В. А. Ионцева. – Вып. 18. – М.: ТЕИС,
2006. – С. 28–29.
[24] Там же.
[25] Чернов Д. Мигранты
крадут у России миллиарды // Время МН. 2002. 10 декабря.
[26] Интервью с Ж.Зайончковской,
Миграция вышла из тени, http://www.strana-oz.ru/2004/4/migraciya-vyshla-iz-teni
[27] Перепелкин Л.С., Стельмах
В.Г. Нелегитимная иммиграция и неофициальная занятость в Российской
Федерации: зло, благо или неизбежность?// «Общество и экономика»,
№ 4, 2005, с. 49-62.
[28] http://www.baltinfo.ru/2011/11/23/V-RF-ezhegodno-zaderzhivayut-okolo-200-tys-nelegalnykh-migrantov-242928
[29] http://svpressa.ru/all/article/47085/
[30] Перепелкин Л.С., Стельмах
В.Г. Нелегитимная иммиграция и неофициальная занятость в Российской
Федерации: зло, благо или неизбежность?// «Общество и экономика»,
№ 4, 2005, с. 49-62.
[31] Там же.
[32] Там же.
[33] Сатаров Г.А. Тепло
душевных отношений: кое-что о коррупции // Общественные науки и
современность. 2002. № 6, с. 22-23
[34] Федоров Л. Почему
Москву обживают мигранты? // Московская правда. 2002.
[35] Интервью К.О.Ромодановского
радиостанции «Эхо Москвы» от 16 марта 2012 года (http://www.fms.gov.ru/press/publications/news_detail.php?ID=51383).
[36] Игнатьев Р.,Чье
лицо у преступности// «Земляки», № 7, 2009 года (http://www.fms.gov.ru/press/publications/news_detail.php?ID=29440).
[37] http://kommersant.ru/doc/2319430
[38] Родионов К. Почему стоит
вести визы для жителей Средней Азии, http://www.forbes.ru/mneniya-column/konkurentsiya/234142-pochemu-stoit-vvesti-vizy-dlya-zhitelei-srednei-azii
[39] The Global Afghan Opiate
Trade: A Threat Assessment, 2011, UNODC, 9 с.
[40] http://www.grace.org.ru/articles/death_from_drug_russia/
[41] Егорова Е. Нелегальная
миграция в России, http://russiancouncil.ru/inner/?id_4=2003#top
[42] http://www.fms.gov.ru/about/statistics/data/details/54891/
[43] Чудиновских О.С. Учет
миграции в России: причины и последствия кризиса// «Демоскоп Weekly»
№ 185, 10-23 января 2005.
[44] http://www.fms.gov.ru/about/statistics/data/details/81106/;
http://www.gks.ru/wps/wcm/connect/rosstat_main/rosstat/ru/statistics/population/demography/#
[45] Camarota S.A. (2007),
“Immigrants in the United States, 2007: A Profile of America’s Foreign-Born
Population. Washington, DC: Center for Immigration Studies Backgrounder.
[46] Вакуленко Е.С., Цимайло
В.В. Учёт нелегальной миграции населения: методы и оценки //Демоскоп-Weekly
№ 479 - 480 26 сентября - 9 октября 2011. http://demoscope.ru/weekly/2011/0479/analit02.php
[47] http://www.gks.ru/free_doc/new_site/KOUZ/survey0/index.html
[48] Григорьев М., Осинников
А. Нелегальные мигранты в Москве. - М., Изд. "Европа", 2009, 260
с.
[49] Итоги социологического
опроса 8,5 тыс. иностранцев в 8 регионах РФ, проведенного «Центром
этнополитических и региональных исследований» по заказу ВШЭ (ноябрь
2011).
[50] Глущенко Г.И. Денежные
переводы международных трудовых мигрантов: характеристики и детерминанты//
"Вопросы статистики" №3 2005, с.38-50.
[51] Посчитано на основе
данных по международной миграции с Росстата.
[52] Глущенко Г.И. Денежные
переводы международных трудовых мигрантов: характеристики и детерминанты//
"Вопросы статистики" №3 2005, с.38-50.
[53] http://www.cbr.ru/statistics/
[54] Это Anelik, BLIZKO,
Contact, InterExpress, Migom, MoneyGram, PrivatMoney, Travelex Worldwide
Money Ltd, UNIStream, Western Union, АзияЭкспресс, Аллюр, Быстрая
Почта, Гута Спринт, Золотая Корона, Лидер.
[55] Тюрюканова Е.В. (2004).
Трудовая миграция в России. // Отечественные записки, 2004. № 4(18)
[56] Schneider F., Buehn
A., Montenegro C. (2010): New Estimates for the Shadow Economies
All over the World // International Economic Journal. Vol. 24. №
4. UN (2008): World Population Prospects
[57] Clemens M. Economics
and Emigration: Trillion-Dollar Bills on the Sidewalk? //The Journal
of Economic Perspectives, Aug. 2011.
[58] Алешковский И.А., Ионцев
В.А.. Тенденции международной миграции - 87с.
|