С.В. Захаров

КОГОРТНЫЙ АНАЛИЗ СМЕРТНОСТИ НАСЕЛЕНИЯ РОССИИ
(ДОЛГОСРОЧНЫЕ И КРАТКОСРОЧНЫЕ ЭФФЕКТЫ НЕРАВЕНСТВА ПОКОЛЕНИЙ ПЕРЕД ЛИЦОМ СМЕРТИ) 1

В статье рассматриваются методологические и практические вопросы изучения дифференциации смертности мужчин и женщин в России в послевоенный период в трех измерениях: возраста, поколений по году рождения и календарного времени. Результаты анализа подтверждают гипотезу о наличии значительной вариации уровня смертности в России в зависимости от года рождения поколений (демографических когорт).

Общая постановка проблемы и краткая история ее изучения. Россия была одной из последних среди развитых европейских стран, вступивших на путь эпидемиологического перехода, связанного со снижением смертности, глубокой перестройкой структуры смертности по возрасту и причинам смерти. Начав последовательное движение к более высокой продолжительности жизни в конце XIX - начале XX века, Россия отставала к этому времени от западных стран на полвека и более. Отставание от стран Центральной и Восточной Европы было менее значительным, но также существенным. Кроме того, стартовые позиции по уровню смертности в России были намного менее благоприятными, чем в любой из развитых стран накануне перехода. Основными чертами российской смертности были чрезвычайно высокая детская и особенно младенческая смертность (более 300 умерших до года на тысячу родившихся), а также особо неблагоприятная ситуация с инфекционно-паразитарными заболеваниями, включая такие смертельно опасные как холера, тиф, дифтерия, скарлатина, корь, оспа. Хотя туберкулез выступал в качестве одной из ведущих причин смерти в то время, Россия не выделялась среди других европейских стран особо высоким уровнем смертности от него2.

Путь, пройденный Россией по пути эпидемиологического перехода с начала нашего века и вплоть до середины 50-х годов, отличался от пути, пройденного другими развитыми странами, главным образом по причи-не длинной цепочки социальных катастроф, в которую оказалось втянуто российское население в первой половине ХХ века.3 В результате российская траектория динамики смертности отличается извилистостью, огромными скачками в периоды наибольшего обострения социально-экономической ситуации. Определенные успехи, достигнутые в контроле над инфекционной патологией и детской смертностью в относительно спокойные годы, сводились на нет частыми кризисами социальной этиологии, которые вызывали новые витки подъема общей и детской смертности из-за насилия, голода, недоедания и новых вспышек эпидемий. Повидимому, среди развитых стран Россия выделяется наибольшими абсолютными и относительными демографическими потерями, понесенными в ХХ веке по причине войн, революций, голода, эпидемий, массового насилия государства по отношению к собственному народу. В связи с этим, естественно, встает вопрос, как отразилась столь массовая хроническая депривация на жизнестойкости поколений, переживших катастрофы. Обнаруживается ли повышенная смертность у когорт, оказавшихся в наименее благоприятных условиях на том или ином отрезке своей жизнедеятельности?

В мировой литературе уже накоплен достаточно обширный материал, позволяющий утверждать, что условия жизни, при которых происходили вынашивание беременности, физическое развитие и социализация ребенка и подростка, оказывают едва ли не решающее влияние на способность индивидуума сопротивляться болезням и смерти во взрослой жизни4. К заболеваниям, для которых клинически и демографически многократно доказана связь с условиями жизни в детстве, относятся туберкулез легких, респираторные инфекции, бронхиты, гепатит В, цирроз и рак печени, ревматическая и ишемическая болезни сердца, да и вся сердечно-сосудистая патология в целом5.

В последние годы усиленное внимание многих исследователей уделяется такому антропометрическому показателю, как рост человека - вероятно, наилучший на сегодня индикатор условий жизни и физического развития в детстве. Получившие широкую известность исследования показывают, что существует удивительно сильная обратная связь между ростом человека и вероятностью умереть от болезней сердца6. Причем связь остается сильной даже при условии контроля за такими традиционными поведенческими факторами риска, как курение, характер питания, поддержание уровня кровяного давления, а также факторами, непосредственно не связанными с текущим поведением человека: образование, профессия, место проживания, body mass index (характеристика тучности), наличие таких патологий в анамнезе, как ангина, диабет, уровень холестерина и др. Таким образом, в арсенале исследователей появился индикатор, не только обладающий значительной объяснительной силой, но и способный в явном виде внести исторический контекст в изучение факторов, дифференцирующих население по уровню смертности. Проблема высокого распространения низкорослости среди взрослого населения, с которой ассоциируется пониженная сопротивляемость болезням и повышенная смертность, уже заинтересовала исследователей проблем здоровья населения в России, в частности в рамках известного лонгитюдного исследования RLMS (рук. Б.Попкин, Университет Северной Каролины, США).

Применительно к России изучение вопроса о различиях в смертности лиц, принадлежащих к различным поколениям по году рождения, имеет сравнительно недавнюю историю. Если не считать замечаний о повышенной смертности, обнаруженной в 60-70-х годах рядом отечественных исследователей для поколений, родившихся в годы первой мировой, гражданской и Великой Отечественной войн (М.С.Бедный7, В.А.Миняев и И.В.Поляков8), то более или менее внимательное отношение к данному вопросу начинает проявляться лишь с конца 80-х годов. Не нужно забывать, что только в 1987 г. с данных о смертности по возрасту был снят гриф ограниченного пользования и секретности. К этому времени в зарубежной специальной демографической литературе завоевал популярность так называемый АРС-анализ (Age-Period-Cohort analysis), метод, позволяющий при определенных гипотезах статистически разделить общую вариацию коэффициентов смертности за некоторый период времени на составляющие в зависимости от влияния фактора возраста, фактора календарного периода и фактора принадлежности лиц к когортам по году рождения9.

Вначале Б.Андерсон и Б.Сильвер10, а затем Ф.Виллекенс, С.Щербов и Е.Андреев11, применили АРС-анализ в различных модификациях к данным по смертности в СССР, в том числе по отдельным союзным республикам и по отдельным причинам смерти (пятилетние возрастные коэффициенты смертности с 1958/59 по конец 80-х годов). Позднее техника АРС-анализа была применена к более подробным данным за более продолжительный период времени для России и Украины (В.М.Школьников и С.В.Адамец; Э.Годек и В.М.Школьников)12.

Графическое представление результатов АРС-анализа применительно к данным для всего населения бывшего СССР (расчеты Ф.Виллекенса и С.Щербова13) демонстрируется на рис. 1-3.

Рис. 1. Эффект возраста в смертности населения бывшего СССР, 1958-1987 гг., полулогарифмическая шкала (смертность в возрасте 5-9 лет - 1,0)

Обращает на себя внимание, что и возрастной, и периодный, и когортный эффекты в смертности у мужчин выше, чем у женщин. Это еще раз доказывает, что специфическая уязвимость жизнеспособности мужчин выше при любой относительности измерения: по возрасту, календарным годам или годам рождения поколений. Несмотря на несколько разную технику расчетов и соответственно отличающиеся численные оценки возрастных, периодных и когортных эффектов, окончательные выводы у вышеуказанных авторов оказались сходными: а) когортный эффект в российской смертности безусловно присутствует; б) повышенный уровень смертности демонстрируют поколения, рожденные в наиболее неблагоприятный период советской истории - вторая половина 1920-х годов - первая половина 1950-х годов; в) максимальный уровень смертности имеют когорты, родившиеся во время второй мировой войны; г) когортный эффект более ярко выражен у мужчин; д) действительный размер пропорционального вклада каждого из трех эффектов - предмет для дискуссии, поскольку численные результаты АРС-анализа оказываются неустойчивы как к размеру матрицы коэффициентов смертности (фактически к периоду наблюдения), так и к виду математической модели взаимосвязи между коэффициентами смертности.

Рис. 2. Эффект периода в смертности населения СССР, 1958-1987 гг. (смертность в 1970-1971 гг. - 1,0)
Рис. 3. Когортный эффект в смертности населения СССР, 1958-1987 гг. (смертность когорты 1920-1924 гг. рождения - 1,0)

Не обсуждая здесь детально специфику АРС-метода, его достоинства и недостатки, заметим, что этот метод по своей природе не способен учесть весьма важную особенность российской истории смертности, имеющую непосредственное отношение к тому, что подразумевается под долей вариации смертности, объясняемой когортным эффектом. Речь идет о том, что российское население пережило в ХХ веке длительный период всесторонней депривации (чрезвычайно низкий уровень жизни на протяжении многих десятилетий, три войны, три голодных периода, организованное государством массовое насилие, вплоть до геноцида над определенными социальными слоями и этносами, миллионы заключенных в лагерях). Наибольшие жизненные лишения, то усиливаясь, то ослабляясь, охватили поколения людей, родившихся в интервале приблизительно с 1915 по 1955 г. Эта особенность не полностью учитывается АРС-моделью, которая может интерпретировать отдаленные последствия длительного прерывистого ухудшения условий жизни в прошлом как перманентное или периодическое ухудшение более близких для наблюдателя текущих условий жизни. В связи с этим фактор исторических условий, влияющий на текущий уровень смертности, имеет шансы быть недооцененным. Кроме того, как отмечают Ф.Виллекенс и С.Щербов14, АРС-метод не в состоянии правильно разделить эффекты периода и когорты в случае, если текущие условия жизни вызывают различную ответную реакцию в уровне смертности у разных поколений, особенно когда данные представлены в виде коэффициентов смертности для пятилетних или еще более обобщенных возрастных групп. Как будет показано, изначально наиболее ослабленные поколения резче реагируют на изменение условий, чем поколения с более удачной судьбой, по крайней мере в российском случае.

Еще один принципиальный вопрос, требующий уточнения, связан с длиной временного периода, для которого следует интерпретировать изменения коэффициентов смертности, с точки зрения возможного влияния эффекта условий текущего периода и вклада когорт с изначально различной функцией дожития. Методы типа АРС-анализа, базирующиеся на уравнениях регрессии, или, точнее, обобщенных линейных моделях, требуют длинных динамических рядов возрастных коэффициентов смертности. Размерность матрицы коэффициентов смертности (возраст ґ количество лет наблюдения) должна быть достаточна для устойчивой оценки параметров модели. Естественно, что и обнаруженные эффекты, приписываемые возрасту, периоду и когортам, имеют усредненный характер и относятся ко всему достаточно длительному периоду наблюдения. Для исследования кратковременных волнообразных возмущений смертности, подобных тем, с которыми Россия столкнулась в 1980-1990-х годах, подобные методы оказываются в значительной степени беспомощными.

Наконец заметим, что безотносительно к технике анализа данных, т.е. в самом общем случае наблюдения за изменением коэффициентов смертности в фиксированном интервале времени, проблема отделения эффектов действия долгосрочных от средне- и краткосрочных факторов без привлечения дополнительной информации не имеет однозначного решения вообще. Это было очевидно исследователям задолго до появления широких возможностей компьютерной обработки и изощренных математических форм представления данных. Ведь по содержанию и информативности исходные статистические данные с тех пор мало изменились, тем более в России.

В своих более ранних работах мы продемонстрировали неравенство смертности в российских когортах, не прибегая к помощи АРС-анализа15. Различия в смертности лиц, сгруппированных по годам рождения, оказываются весьма значительными при сравнении показателей в одном и том же возрасте для соседних более "удачных" и менее "удачных" когорт. Чтобы в этом убедиться, следует обратиться к числам умерших в России за послевоенное время, распределенных по однолетним возрастным группам. К сожалению, в нашей стране не велся подсчет смертей одновременно по возрасту и году рождения, что усложняет расчеты и несколько снижает точность в смысле отнесения демографических событий к той или иной когорте по году рождения.

Неравенство поколений в России в смысле неравенства их уровня смертности и продолжительности жизни - уже не гипотеза, а доказанный факт, подобно тому как можно считать доказанным неравенство поколений во Франции, Италии, Германии, Польше, Японии16. Важно этот факт описать по возможности подробнее, проиллюстрировать примерами, показать, в частности, как он проявляется в различные периоды жизни поколений и в различные периоды календарного времени и какие имеет последствия для динамики общего уровня смертности.

Особенности исходных данных. Как уже было сказано, российская, как и советская и дореволюционная статистика, не располагала соответствующим образом организованной сводкой демографических событий, чтобы можно было представить данные для параллельного когортного, возрастного и моментного анализа в духе известной демографической сетки Лексиса. Имеются только ежегодные распределения чисел умерших по однолетним возрастным группам, но не одновременно по году рождения и возрасту, как того требует идеальная схема. Более или менее надежный ряд возрастных распределений умерших для России, которыми мы пока располагаем, относится ко всем годам, начиная с 1959.

Таким образом, переход от возрастного распределения к когортному требует применения некоторых аппроксимирующих процедур, которые не способны идеально трансформировать одно суммарное фактическое число умерших в каждом возрасте в два неизвестных числа умерших, принадлежащих двум соседним когортам по году рождения. Задача усложняется в случае резких годовых изменений в окружающих условиях и соответственно резких колебаний в числах родившихся и умерших в ответ на изменение этих условий. Любая, даже самая изощренная аппроксимация так или иначе приводит к некоторому сглаживанию эффекта различий в уровне смертности последовательности когорт.

Вторая проблема, с которой приходится считаться, это повышенная аккумуляция чисел умерших в специфических возрастах и годах рождения, связанная с ошибочным отнесением умершего (родившегося) лица к конкретному возрасту или году рождения. Не обсуждая причины этого достаточно сложного явления, отметим, что возрастная аккумуляция в России хорошо обнаруживает себя на возрастах, оканчивающихся на 0 и 5, и отчасти у 12-летних. Заметим, что возрастная аккумуляция в России чисел не только умерших, но и живущих в момент переписей населения заметно ослабла в течение 60-80-х годов по мере увеличения доли лиц в старших возрастах, точно знающих дату своего рождения и получивших паспорт с указанием возраста в соответствии с метрическими записями (свидетельствами ЗАГСа о рождении). В 90-х годах возрастная аккумуляция вновь несколько усилилась, повидимому, в связи с увеличением числа умерших, личность и время смерти которых не установлены или установлены не полностью. Помимо чисто возрастной аккумуляции имеет место и квазивозрастная аккумуляция, связанная с отнесением лиц к специфическим годам рождения (самоприписывание желательного года в момент начала всеобщей паспортизации?). Так, популярными годами рождения являются года, оканчивающиеся на 0 в XIX веке, и особенно 1900 г.

Повидимому, никакими формальными методами сглаживания идеально устранить искусственную аккумуляцию и получить действительное возрастное (когортное) распределение чисел живущих и умерших невозможно, особенно применительно к российским данным, когда в каждый момент на возрастной структуре отражается интерференция действительных демографических волн высокой частоты, связанных с колебаниями чисел родившихся в прошлом, и искусственных колебаний, вызванных возрастной аккумуляцией. Речь может идти только о том, чтобы близким к эвристическим методам способом минимизировать случаи, когда указанные волны попадают в резонанс, вызывая колебания с неправдоподобно высокой амплитудой. Кроме того, опыт работы подсказывает нецелесообразность предварительного сглаживания чисел умерших по шкале возраста до того, как данные не будут преобразованы в когортный вид и на их основе получены показатели смертности (вероятности умереть). Ошибки, связанные с возрастной идентификацией, наиболее ясно демонстрируют себя именно в когортном представлении за исключением случаев систематического приписывания людям ошибочного года рождения, которые несравненно менее выражены в сравнении с чисто возрастной аккумуляцией.

Однако как ни серьезно выглядят проблемы чистоты российских данных со статистической точки зрения, они кажутся не столь важными по сравнению с проблемой ограниченности периода непрерывного наблюдения.

Когортное изучение смертности, учитывая величину средней продолжительности жизни индивидов, предполагает наличие непрерывных рядов данных за длительный период, желательно не менее чем за 100 лет. Мы же располагаем данными о смертности россиян лишь за период меньше 50 лет. В нашем распоряжении отсутствует более или менее надежная информация о смертности в раннем возрасте для всех когорт, родившихся до 1959 г.17 Обеспеченные информацией отрезки календарного времени оказываются зачастую слишком короткими, чтобы сравнивать смертность достаточно длинной последовательности когорт по мере достижения ими различных возрастов от молодости до старости. Попросту говоря, получается, что для одной короткой серии когорт можно оценить различия только в молодых возрастах, для другой серии - только в средних, а для третьей - только в старших. (Cм. табл.1 и 2 Приложения.)

Очевидно, что снятие данного ограничения связано с расширением информационного массива на более отдаленную ретроспективу. Теоретически это возможно. Российские архивы содержат необходимые данные в требуемой форме за достаточно длительный период, по крайней мере с конца 20-х годов. Однако практическое использование этой информации упирается в многочисленные трудности, связанные с оценкой полноты имеющихся данных (значительный недоучет числа смертей, различные системы учета смертности гражданского населения и специальных контингентов, нестабильность административно-территориальной привязки числа событий и др.). По мере отдаления в прошлое указанные трудности превращаются в сложнейшие проблемы. Остается надеяться, что в ходе расширения историко-демографических исследований значение проблемы недостатка данных будет постепенно уменьшаться. В то же время ее быстрого решения ожидать не приходится.

Результаты анализа. Мы разбили весь период наблюдения на два неравных отрезка: 25-летний период медленных эволюционных изменений смертности до начала осознанного вмешательства государства с целью улучшить ситуацию (фактически до начала антиалкогольной кампании) и 10-летний период после такого вмешательства, одновременно совпавший с грандиозными социально-экономическими изменениями в России.

Неравенство поколений перед лицом смерти в 1959-1984 гг. В табл.1 и 2 представлены вероятности смерти для всех мужских и женских когорт с 1900 по 1960 г. рождения для укрупненных интервалов возрастов (q20-30, q30-40, q40-50, q50-60, q60-70) и для всего периода наблюдения с 1959 по 1995 г. (См. Приложение.)18

Заметим, что повышенный риск смерти помимо поколений, указанных выше, имеют также поколения, родившиеся в 50-х годах. Этот вопрос требует дополнительного изучения, тем более что данный феномен обнаружен не только нами на российских материалах, но и другими исследователями когортных различий в смертности, например, во Франции19. С одной стороны, эти поколения в России первыми в детском возрасте испытали на себе внедрение новых методов лечения, в частности, антибиотиков, что, возможно, имело отдаленные последствия двоякого рода: а) повысилась изначальная гетерогенность поколений за счет выживания ослабленных детей, которые в более зрелом возрасте спровоцировали повышенную смертность; б) применение новых лекарственных средств имело отдаленные побочные эффекты. С другой стороны, эра антибиотиков во Франции наступила на полтора десятилетия раньше, чем в России. Применительно к Франции специалисты дают другое объяснение - в этот период в стране был осуществлен массовый переход к централизованным, больничным формам родовспоможения, что, возможно, имело также противоречивый, двоякий результат: позитивный в целом для первых периодов жизни и отрицательный отложенный эффект в смысле воздействия на усредненное дожитие поколений менее гомогенных в смысле жизнестойкости.

Можно выдвинуть еще одну гипотезу, которая, безусловно, требует дополнительной проверки, но по логике, пожалуй, способна объяснить сходный когортный эффект, обнаруженный в разных странах. Поколения, рожденные в 50-х годах, - дети тех, кто появился на свет в тяжелейший период конца 20-х - первой половины 30-х годов. В западных странах это ужасающий экономический кризис, в России - еще более страшные коллективизация и голод. То, что когорты 1920-1930-х годов имеют повышенную смертность во многих странах, подтверждает, что исторические условия, при которых они появлялись на свет, были крайне неблагоприятными.

Гипотеза, что менее жизнестойкие поколения производят на свет менее жизнестойкое потомство, не только логична сама по себе, но и имеет ряд эмпирических обоснований. Так, при изучении последствий голодной зимы 1944-1945 гг. в Голландии на основе специальной когортной разработки полных регистров родившихся в эти годы была обнаружена не только повышенная смертность когорт, рожденных в этот период, но и повышенная смертность их последующих детей - "внуков" войны20. В России мы также обнаружили повышенную смертность детей у матерей, родившихся в период Великой Отечественной войны, правда, опираясь на другой источник информации - о числе рожденных и живых детей в однолетних возрастных группах матерей21. Так, по нашей оценке, смертность детей, матери которых родились в наиболее тяжелые 1942-1943 гг., была на 5-10% выше, чем смертность детей, матери которых родились в последние предвоенные годы. Подобный анализ отдаленных последствий голода 30-х годов невозможен ввиду отсутствия таких же подробных данных по когортам матерей, родившихся в те годы.

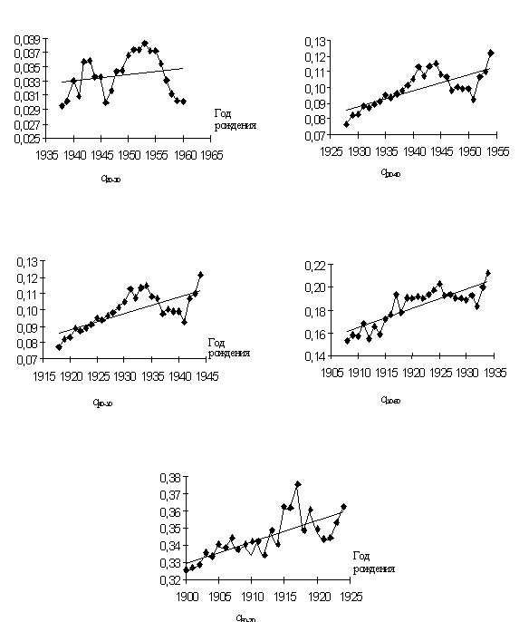
Данные табл. 1 и 2 позволяют оценить уровень повышенной смертности у поколений с наименее удачной судьбой. Сравним когорты с пиковым уровнем смертности с когортами, появившимися на свет в более благоприятные годы. Так, если остановиться на мужчинах (рис. 4), то, например, когорта 1917 г. на интервале возрастов от 50 до 60 лет имела смертность на 15,3% выше, а в возрастах от 60 до 70 лет - на 9,7% выше, чем когорта 1911 г. рождения. Смертность когорты 1934 г. на интервале от 30 до 40 лет была на 16,9% выше, а на интервале от 40 до 50 лет - на 26,8% выше смертности когорты 1928 г. рождения. Родившиеся в 1942 г. демонстрировали смертность на интервале возраста от 20 до 30 лет на 20,8% выше, а на интервале от 30 до 40 лет - на 23,4% выше, чем когорта 1938 г.

Рис. 4. Вероятность смерти у мужчин в различных возрастных интервалах для поколений, родившихся в 1900-1960 гг.

Похожая ситуация и с женскими поколениями, хотя у них перепады в смертности в целом несколько ниже, чем у мужчин, но также ярко выражены. Когорта 1917 г. на интервале возраста от 50 до 60 лет имела смертность на 13,2% выше, а в возрастах от 60 до 70 лет - на 10,9% выше, чем когорта 1911 г. Смертность когорты 1934 г. в возрасте от 30 до 40 лет была на 6,3% выше, а на интервале от 40 до 50 лет - на 14,1% выше смертности когорты 1928 г. рождения. Когорта 1942 г. демонстрировала смертность на интервале возраста от 20 до 30 лет на 5,0% выше, а на интервале от 30 до 40 лет - на 22,6% выше, чем когорта 1938 г.

Анализ динамики российской смертности в поколениях позволил прийти к важному, но, к сожалению, неутешительному выводу. Налицо тенденция роста смертности и соответственно - к худшим показателям дожития поколений, начиная с когорт 1915-1916 гг. рождения и вплоть до поколений, рожденных в годы второй мировой войны, у мужчин и у женщин, причем у первых она выражена сильнее. Кроме того, если послевоенные поколения женщин демонстрируют отчетливую тенденцию к снижению уровня смертности в молодом возрасте, то у мужчин пока нельзя засвидетельствовать появление каких-либо обнадеживающих моментов кроме успехов в снижении детской смертности. Так, вероятность смерти в 30-40 лет у поколений мужчин, родившихся в начале 1950-х годов, в 1,5-2 раза выше, чем в том же возрасте у поколений, родившихся в 20-е годы, т.е. у тех, кто участвовал в боевых действиях на фронтах Отечественной войны!

Еще предстоит проанализировать, какой фактор оказался здесь решающим: чрезвычайно ослабленное здоровье поколений, родившихся в первое десятилетие после войны, абсолютно неадекватное, не способствующее сохранению здоровья витальное поведение этих поколений или же своеобразный селективный эффект предвоенных и военных лет, приведший к выживанию сильнейших из поколений, родившихся в 20-е годы22. Ведь вряд ли можно утверждать, что общая социально-экономическая ситуация, положение в здравоохранении, бытовые условия жизни россиян в конце 70-х - начале 80-х годов были хуже, чем в начале 50-х годов, а именно эти периоды должны сравниваться, когда сопоставляется уровень смертности в одном и том же возрасте для указанных поколений. В любом случае совершенно очевидно, что советское общество оказалось неспособным противостоять столь мощным отрицательным тенденциям в здоровье населения, в результате которых смертность поколения "детей" оказывается выше, чем смертность поколения их "родителей", взятых в том же возрасте.

Итак, в отличие от других развитых стран, для которых известны данные по поколениям, в России "неблагополучные" когорты демонстрируют повышенную смертность на фоне долговременного отрицательного тренда. В западных странах "проблемные" когорты выделяются кратковременным подъемом смертности или даже всего лишь некоторым замедлением ее снижения на фоне общего позитивного тренда, показывающего уменьшение смертности от поколения к поколению. Это говорит о том, что наращиваемые достижения современной цивилизации в принципе способны в значительной мере компенсировать ущербность в состоянии здоровья, заложенную при рождении или приобретенную в детстве, и тем самым нивелировать неравенство людей, принадлежащих разным поколениям, по крайней мере недалеко отстоящим друг от друга по году рождения. В России же в ХХ веке либо различия в условиях появления на свет и последующей жизни поколений оказались очень большими, либо поколения нездоровых родителей производили на свет нездоровое потомство, либо общее развитие страны в советский период было направлено не в сторону предоставления возможностей для выживания слабых (в отличие от официально декларируемых идеологами), но фактом остается то, что неравенство демографических поколений по уровню смертности в стране чрезвычайно велико. Это неравенство проявило себя в мирные послевоенные годы, задолго до социально-экономического кризиса 80-90-х годов и современных потрясений, связанных с реформированием общества.

Внимательное рассмотрение долговременных тенденций смертности под углом зрения поколений позволяет несколько скорректировать распространенную периодизацию динамики смертности в России. Так, принято считать, что текущий эпидемиологический кризис берет свое начало в середине 60-х годов. Однако когортный анализ позволяет засвидетельствовать, что отрицательные тенденции в смертности населения средних и пожилых возрастов имеют более протяженную историю и отчетливо прослеживаются с 1959 г. Вероятнее всего, эти тенденции проявили себя еще раньше.

Неодинаковая реакция поколений в период резких изменений смертности во второй половине 80-х - первой половине 90-х годов. Указанное десятилетие ознаменовано большими социальными потрясениями в жизни российского общества. Осознание необходимости реформ и первые шаги по демократизации, резкое начало и противоречивое протекание реформ во всех сферах общественной жизни и изменений во всех сторонах каждодневной деятельности людей - все переплелось в непрерывном потоке событий и обстоятельств, среди которых бывает непросто выделить то главное, что имеет непосредственное отношение к динамике смертности населения. Между тем с середины 80-х годов Россия переживает невиданное ранее в цивилизованном мире колебание смертности, заслуженно приковавшее к себе внимание специалистов, политиков, средств массовой информации во всем мире. Достаточно сказать, что уровень смертности по отдельным возрастным группам в России колебался не на несколько процентов, как это нередко бывает в других странах в обычной ситуации, а на несколько десятков процентов. Благодаря целенаправленным усилиям ряда международных коллективов, в том числе и с участием российских специалистов, уже известно многое о внутренних механизмах столь значительных изменений23. Поэтому не будем здесь останавливаться на детальном описании череды резких перепадов уровня смертности - снижение смертности в 1985-1987 гг., повышение в 1988-1994 гг. и вновь снижение с 1995 г. по сегодняшний день, - как не станем вдаваться и в детали гипотез, выдвинутых для интерпретации столь необычного феномена, тем более что и сами гипотезы, и их критика изложены в литературе. Остановимся только на той стороне фактов, которые имеют прямое отношение к теме статьи.

Представители различных поколений по году рождения по мере старения и прохождения через одни те же возраста имеют различную вероятность смерти. Смертность в России не только возрастно-неоднородна, но и когортно-неоднородна. Прохождение год за годом через одни и те же возраста последовательности когорт с различной судьбой и соответственно с различной подверженностью заболеваниям и смерти отзывается колебаниями смертности, которые при прочих равных условиях могут быть не связаны с текущим изменением окружающей среды. Когда же ситуация в окружающем мире вдруг резко меняется по тем или иным причинам в положительную или отрицательную сторону с позиции смертности, то разные когорты с присущей им специфической резистентностью также по-разному могут реагировать на изменение ситуации, усиливая или ослабляя присущую возрасту избирательность смерти. Эти рассуждения нам потребовались, чтобы попытаться c несколько необычной стороны - с позиций когортного подхода - взглянуть на феномен резких изменений уровня смертности в последнее десятилетие в России. Каким образом неравенство поколений в смысле неодинаковой подверженности риску смерти проявило себя в ситуации резких социальных изменений?

У большинства специалистов уже нет сомнений, что антиалкогольная кампания была ведущей причиной резкого снижения интенсивных показателей смертности в 1985-1987 гг., в результате чего ожидаемая продолжительность жизни (ОПЖ) для новорожденных выросла у мужчин более чем на 4 года (с 61,7 в 1984 г. до 65,0 лет в 1987 г.), а у женщин - на 1,5 года (с 73,0 до 74,6 лет). Дальнейшие исследования24, позволили показать, что принципиальное изменение ситуации на алкогольном рынке после 1991 г. также сыграло роль решающего обстоятельства обвального увеличения смертности в 1992-1994 гг. (ОПЖ у мужчин опустилась до 57,4 лет, у женщин - до 71,0 лет.)

Итак, обратимся к двум периодам - сокращения смертности в середине 80-х годов и ее роста в начале 90-х годов, - сравнив изменение возрастных коэффициентов смертности в двух крайних точках 1987 и 1994 гг. относительно коэффициентов смертности в базовом 1980 г. В качестве базы для сравнения был избран 1980 г. в силу того, что в этот момент уровень смертности и ее возрастной профиль без всякого сомнения были результатом естественного развития долговременных тенденций, не нарушенных целенаправленными попытками государства воздействовать на него25.

В специальной литературе часто отмечается, что снижение и подъем смертности в рассматриваемый период пришлись на одни те же возрастные группы. В принципе это верно, если рассматривать укрупненные возрастные интервалы типа: дети, лица в средних и трудоспособных возрастах, старики и т.д. Однако если взглянуть внимательно на однолетние возрастные группы, то становится ясно, что снижение и последующий подъем смертности приходятся не совсем точно на те же возраста. Налицо некоторое систематическое смещение вправо (к более старшим возрастам) относительного прироста смертности в 90-х годах по сравнению с относительным снижением в 80-х (рис. 5). Можно было ставить вопрос, что кризис смертности затронул в большей степени лиц предпенсионных возрастов, из которого следовали далеко идущие социально-экономические выводы о факторах и последствиях, никак не связанных с периодом предшествовавшего снижения. (Mнение о том, что лица в предпенсионных возрастах едва ли не главные жертвы реформ, весьма распространено.) Но не слишком ли поспешны подобные выводы?

Посмотрим на изменение показателей смертности за тот же период, но не в возрастном, а в когортном представлении, т.е. не относительно фиксированной шкалы возраста, а относительно шкалы года рождения поколений (рис. 6).

Видно, что рисунок становится более симметричным - относительные снижение и подъем смертности как бы уравновешивают друг друга. Получается, что относительная выраженность реакции в периоды снижения и повышения смертности у одних тех же когорт оказалась близкой по значению, но разной по знаку, т.е. те поколения, что получили максимальный выигрыш от снижения смертности, оказались в максимальном проигрыше чуть позже, и наоборот, поколения, в наименьшей степени отреагировавшие на изменения ситуации в период снижения смертности, также минимально отреагировали и в период ее повышения. Симметричный эффект отмечен и у женщин, и по отдельным причинам смерти.

Рис.5. Отношение возрастных коэффициентов смертности мужчин в 1987 и 1994 гг. к коэффициентам в 1980 г.
Рис. 6. Относительные изменения коэффициентов смертности в 1980-1987 и 1987-1994 гг. в мужских поколениях 1895-1975 гг. рождения

Ось симметрии, разделяющая две кривые относительных изменений на рис. 6, не проходит через единицу и вообще не линейна по отношению к годам рождения поколений, отложенным на абсциссе. Объяснение этому простое - возрастной эффект. Каждая когорта постарела на семь лет в течение каждого из рассматриваемых периодов, и поэтому естественно, что коэффициенты смертности в когортах изменялись в силу не только внешних причин, связанных с изменением ситуации в стране (в силу "периодного эффекта"), но и в силу старения когорт. Удивительно другое, что для целого ряда поколений, рожденных в первое послевоенное десятилетие, положительный эффект антиалкогольной кампании оказался настолько мощным, что смог превысить отрицательный эффект старения представителей этих когорт. (На рис. 6 относительное изменение коэффициентов смертности для них меньше единицы.) В соответствии с паспортными данными люди стали старше на семь лет, а в соответствии со средней вероятностью умереть - более чем на семь лет моложе! Могла ли быть устойчива в длительной перспективе столь уникальная ситуация? Конечно, нет! Последующий обвал смертности был неизбежен хотя бы потому, что практическая геронтология еще не продемонстрировала миру возможности массового омоложения, сходные с результатами, достигнутыми в первые два года после введения жестких мер антиалкогольной кампании. Рисунок 6 напомнил о еще одной важной демографической закономерности, которую надо всегда иметь в виду, сравнивая изменения коэффициентов смертности во времени. Возрастной эффект, связанный с биологическим свойством старения людей, всегда усиливает отрицательный эффект периода, действующего в сторону повышения смертности, и, напротив, всегда ослабляет положительный эффект благоприятных условий, когда смертность снижается.

В целях дальнейшего анализа целесообразно элиминировать влияние фактора старения когорт (возрастного эффекта). Этого можно достичь сужением каждого из сравниваемых периодов наблюдения до величины одного года. В этом случае приращение календарного времени станет равным приращению возраста у представителей когорт по году рождения.

На рис. 7 демонстрируются годовые темпы снижения и роста коэффициентов смертности в однолетних когортах, достигнутые в пиковые годы максимальных темпов снижения и повышения общего уровня смертности, соответственно в 1986 и 1993 гг. Наличие абсолютной симметрии снижения и роста смертности в поколениях бесспорно, даже несмотря на то что когортная дихотомия несколько выше в 90-х годах.

Рис. 7. Относительные изменения коэффициентов смертности в 1985-1986 и 1992-1993 гг. в мужских поколениях 1895-1985 гг. рождения

Столь строгое когортное соответствие относительных изменений смертности подводит к гипотезе, что:

  1. ведущий фактор или, вернее, комплекс внешних факторов должен быть одним и тем же в период как снижения смертности, так и ее роста, а именно "алкогольный фактор";
  2. одни и те же люди, оказавшиеся спасенными в период антиалкогольной кампании, оказались в значительной мере жертвами последовавших событий, по крайней мере пропорционально численности когорт это выглядит именно так.
Проиллюстрируем последнее на конкретных примерах.

Зададимся вопросом, как бы менялось дожитие поколений, если бы на протяжении 80-х и 90-х годов сохранялись неизменными возрастные вероятности умереть на среднем уровне за 1978-1980 гг. Затем сравним полученные расчетным путем ожидаемые числа доживающих и накопленное число смертей по поколениям с теми, которые мы имели фактически, исходя из официальной статистики. Результаты для мужских поколений, которые мы получили, выглядят ошеломляюще даже для специалиста-демографа, имеющего немалый опыт работы с подобными данными.

1.Максимальный положительный эффект от снижения смертности в терминах чисел умерших когортных таблиц смертности (dx) был достигнут к 1992 г. (имеется в виду кумулята d(x), или проще - суммарный накопленный эффект). Максимальный накопленный отрицательный эффект еще не был достигнут к 1996 г., и его следует ожидать в ближайшие годы в силу того, что начиная с 1995 г. смертность в России быстро сокращается и уже практически вернулась к уровню, наблюдаемому в конце 70-х годов, т.е. модельному для нас уровню.

2.Все когорты, родившиеся после 1950 г., в конечном итоге "выиграли" от динамики смертности в рассматриваемое десятилетие. К 1996 г., несмотря на то что смертность повышалась и у них, они все еще имели лучшее дожитие, чем если бы они вымирали в соответствии с моделью 1978-1980 гг. Все когорты, родившиеся до 1925 г. (за исключением близких к 1920 г. рождения), либо не имеют статистически значимых отличий от модельной функции дожития, либо получили незначительный выигрыш. (См. рис. 8, где представлено фактическое и модельное дожитие характерных когорт.) Для данных поколений фактическая кривая дожития совпадает с модельной, отличия можно разглядеть на графиках только с помощью сильного масштабирования.

Рис. 8. Дожитие мужских когорт с 1981 по 1995 г.: фактическое и ожидаемое в соответствии с неизменностью возрастных коэффициентов смертности на уровне 1978-1980 гг. (численность каждой когорты в 1981 г. принята за 100 тыс.)

3.В итоге больше всех "проиграли" за период динамики смертности в 1981-1995 гг. когорты, родившиеся в 1925-1949 гг. Максимальный "проигрыш" к 1997 г. может быть оценен всего лишь в размере 2% в терминах функций чисел умерших d(x) и чисел доживающих l(x) из таблиц смертности, или 5% от фактического числа смертей для каждого из поколений, родившихся в 1923-1932 и 1942 гг. Максимальный "выигрыш" имеют когорты, родившиеся в 1955-1969 гг. - 5% от фактического числа умерших для каждой когорты.

4.Если не произойдет каких-либо катастрофических событий в ближайшей и более отдаленной перспективе, то результатом пертурбаций смертности в 80-90-х годах может стать не снижение, а увеличение фактической средней продолжительности жизни для большинства ныне живущих поколений. Средняя продолжительность жизни демографической когорты представляет собой не что иное, как средневзвешенный возраст смерти (в качестве весов выступают числа умерших в каждом возрасте), и любые сдвиги в распределении умерших в когортах в сторону более старших возрастов автоматически приводят к более высокой средней продолжительности жизни.

Незначительное расхождение между фактической и модельной функциями дожития к 1996 г. по всем когортам еще раз подтвердило главный вывод о практически полной симметричности двух периодов: снижения смертности в 80-х годах и ее роста в 90-х годах. Отклонения результатов от нуля для отдельных когорт легко могут быть интерпретированы в смысле когортной избирательности смертности или неравенства поколений. Специфическая уязвимость отдельных поколений с еще большей силой проявила себя в период быстрых социальных перемен по сравнению с периодом более плавных эволюционных изменений.




  1. Работа выполнена в рамках двух проектов: Международного проекта по изучению смертности взрослого населения России в 80-90-х годах (коллектив участников состоял из российских, британских и французских специалистов, финансовая поддержка - Know-HowFund, Великобритания) и проекта "Социальное неравенство перед лицом смерти в России" (рук. проекта В.М.Школьников, ЦДЭЧ, Москва, финансовая поддержка - Фонд Рокфеллера, США).
  2. Новосельский С.А. Статистический материал по вопросу о высокой смертности в России. СПб: Типография МВД. (Репринт статьи, опубликованной в "Вестнике общественной гигиены". 1908. № 1-2.)
  3. Подробнее см.: Захаров C., Блюм А. Демографическая история СССР и России в зеркале поколений // Мир России. 1997. № 4. C. 3-11; Андреев Е.М. Основы изучения человеческого развития / Под ред. Н.Б.Баркалова и С.Ф.Иванова. М., 1998. С. 59-75.
  4. Начало подобным исследованиям было положено еще в 30-е годы при исследовании временных рядов возрастных коэффициентов смертности для Англии, Шотландии и Швеции. Тогда была показана принципиальная роль здоровья матери в момент беременности и жизненных условий в первые 15 лет жизни ребенка в уровне смертности в последующей взрослой жизни. (См.: Kermack W.O., McKendrick A.G., McKinlay P.L. Death rates in Great Britain and Sweden: Expressions of specific mortality rates as products of two factors, and some consequences threof // Journal of Higiene. 1934. Vol.34. P.433-457.) Интерес к данной теме вновь возрос в конце 1970-х годов в ходе реконструкции демографической истории Европы. (Cм.: Preston S., Van de Walle E. Urban French mortality in the Nineteenth Century // Population Studies. 1978. Vol.32. P.275-297.)
  5. См. обширный обзор: Elo I.T., Preston S.H. Effects of Early-Life Conditions on Adult Mortality: A Review // Population Index. 1992. Vol. 58 (2). P. 186-212.
  6. По данному вопросу уже имеется достаточно представительная библиография. См., например: Waaler H.T. Height, weight and mortality // Acta Medica Scandinavica. 1984. ? 679; Marmot M.G., Shipley M.J., Rose G. Inequalities in death-specific explanations of a general pattern? // Lancet. 1984. May 5. P.1003-1006; Smith G.D., Shipley M.J., Rose G. Magnitude and causes of socioeconomic differentials in mortality: further evidence from the Whithall Study // Journal of Epidemiology and Community Health. 1990. Vol. 44 (4). P. 265-270; Walker M.A., Shaper A.G, Phillips A.N., Cook D.G. Short stature, lung function and risk of a heart attack // International Journal of Epidemiology.1989. Vol. 18(3). P. 602-606; Notkola V.S., Punsar S., Karvonen M.J., Haapakovski J. Socioeconomic conditions in childhood and mortality and morbidity caused by coronary heart disease in rural Finland // Social Science and Medicine. 1985. Vol. 21 (5). P. 517-523 и др.
  7. Бедный М.С. Демографические процессы и прогнозы здоровья населения. М.: Статистика, 1972. C. 167-168, 181-182; он же. Медико-демографическое изучение народонаселения. М.: Статистика, 1979. C. 121-122.
  8. Миняев В.А., Поляков И.В. Здравоохранение крупного социалистического города (здоровье населения, организация поликлинической и стационарной помощи). М.: Медицина, 1979. C. 81-82
  9. См., например: Hobcraft J., Menken J., Preston H. S. Age, Period and Cohort Effects in Demography: A Review // Population Index. 1982. Vol. 48. P. 4-43; Hobcraft J., Gilks W. Age, period and cohort analysis in mortality studies // Methodologies for the Collection and Analysis of Mortality Data / J.Vallin et al. (eds). Liиge: Ordina Editions for IUSSP, 1984. P. 245-264; Holford T.R. Understanding the Effects of Age, Period and Cohort on Incidence and Mortality Rates // Annual Reveiw of Public Health. 1991. Vol.12. P.425-457; Wilmoth J. Age-Period-Cohort models in Demography // Dйmogrаqphie: analyse et synthиse. Causes et consйquences des йvolution dйmographiques // Actes du Sйminaire international. Pise, 17-19 dйcembre 1997. Vol.2. P.187-203.
  10. Anderson B.A., Silver B.D. Patterns of Cohort Mortality in the Soviet Population // Population and Development Review. 1989. Vol. 15(3). P.471-501.
  11. Willekens F., Scherbov S. Age-period-cohort (APC) Analysis of Mortality with Application to Soviet Data. WP-91-42. Laxenburg: IIASA, 1991; Willekens F., Scherbov S. Analysis of Mortality Data from The Former USSR: Age-Period-Cohort Analysis // World Health Statistics Quarterly. 1992. Vol.45 (1). P. 29-49; Andreev E., Scherbov S., Willekens F. Mortality in the Former Soviet Union: Past and Future. WP-93-13 (March 1993). Laxenburg: IIASA, 1993.
  12. Доклады, представленные на 23-й Генеральной конференции по населению (Пекин, 11-17 октября 1997).
  13. Willekens F., Scherbov S. 1992. P. 34-36
  14. Willekens F., Sherbov S.1992. P. 39, 40, 46.
  15. Blum A., Ely M., Zakharov S. Dйmographie Soviйtique - 1920-1950, une redйcouvert // Annales de Dйmographie Historique. Paris: EHESS, 1992. P. 7-22; Adametz S., Blum A., Zakharov S. Geographical and cohort disparities in Soviet demographic catastrophs // INED. Dossiers et Recherches. 1994. ? 42 (Janvier). An English revised version prepared for the Conference on Soviet Population in the 1920s and 1930s. Toronto, January 27-29, 1995; Захаров C., Блюм А. 1997.
  16. Okubo M. Increase in mortality of middle-aged males in Japan // Research Paper Series. ? 3. Tokyo, Japan: Nihin University, Population Research Institute. 1981; Horiuchi S. The long term impact of war on mortality: old age mortality of First World War survivors in the Federal Republic of Germany // UN Population Bulletin. 1983. Vol.5; Caselli G., Vallin J., Vaupel J., Yashin A. Age-specific mortality trends in France and in Italy since 1900: period and cohort effects // European Journal of Population. 1987. ? 3. P.33-60; Caselli G., Capocaccia R. Age, period, cohort and early mortality: an analysis of adult mortality in Italy // Population Studies. 1989. Vol.43. P. 133-153; Boleslawski L. Roznice w umieralnosci miedzy generacjami jaka skutck wojen swiatowych // Studia demograficzne. 1985. ? 4 (82). P. 51-71; Tango T., Kurashina S. Age, Period and Cohort analysis of trends in mortality from major diseases in Japan, 1955 to 1979: peculiarity of the cohort born in the early Showa Era // Statistics in Medicine. 1987. Vol.6 (6). P. 709-726; Wilmoth J., Vallin J., Caselli G. When does a cohort mortality differ from what we might expect? // Population. An English Selection. 1990. Vol.2. P. 93-126.
  17. В статье не использовались оценки возрастной смертности населения России для периода 1927-1958 гг., выполненные Е.М.Андреевым (см. Андреев Е.М., Дарский Л.Е., Харькова. Т.Л. Демографическая история России: 1927-1958. М.: Отделение демографии НИИ Госкомстата России, 1998. С. 167-170), по причине того, что книга, в которой они приводятся, вышла совсем недавно.
  18. Метод определения вероятности умереть в реальных поколениях описан в нашей более ранней совместной работе: Avdeev A., Blum A., Zakharov S., Andreev E. Rйaction d'une population hйtйrogиne а une perturbation. Un modиle d'interprйtation des йvolutions de mortalitй en Russie // Population. 1997. ? 1. P. 7-44.
  19. Wilmoth J. et al. 1990. P. 108, 114-115.
  20. Lumey L.H. et al. The Dutch Famine Birth Cohort Study: design, validation of exposure? And selected characteristics of subjects after 43 years of follow-up // Paediatric and Parinatal Epidemiology. 1993. Vol. 7. P. 354-367; Lumey L.H., Van Poppel F.W.A. The Dutch Famine of 1944-1945: mortality and morbidity in past and present generations // Social History of Medicine. 1994. Vol. 7. P. 229-246; Lumey L.H. The Dutch Famine of 1944-1945: short term and long term consequences // Santй et Mortalitй des Enfants en Europe. Inйgalitйs Sociales d'Hier et d'Aujourd'hui. Chaire Quetelet 1994 / G. Masuy-Stroobant et al. (eds). Louvain-la-Neuve: Academia-Bruylant/L'Harmattan, 1996. P. 299-310.
  21. Этот результат был получен, исходя из данных переписи населения 1989 г., когда был впервые в нашей стране поставлен вопрос о числе рожденных и умерших детей. Подробнее см.: Zakharov S.V. Unexpected Advance in Infant Mortality in Russia During the Second World War. Paper presented at 123rd APHA Annual Meeting, October 29 - November 2 1995, San Diego, CA.
  22. С другой стороны, мобилизации на войну подлежали наиболее крепкие здоровьем. В связи с массовой гибелью на фронте в поколениях, подлежащих призыву, в послевоенный период должно было увеличиться число не воевавших из-за изначально плохого здоровья, к которым добавились инвалиды войны, в связи с чем вклад данных поколений в смертность должен быть повышенным. На это первым обратил внимание Р.Динкель. (См.: Dinkel R.H. The seeming paradox of increasing mortality in a highly industrialized nation: The example of the Soviet Union // Population Studies. Vol.39. P. 87-97.)
  23. См.: Школьников В., Милле Ф., Валлен Ж. Продолжительность жизни и смертность населения России: новое наступление несчастных случаев, травм и насильственной смерти // Рабочие Доклады ЦДЭЧ. 1994. Вып. 15 (март); Они же. Ожидаемая продолжительность жизни и смертность населения России в 1970-1993 годах: анализ и прогноз. М.: Фонд "Здоровье и Окружающая среда", 1995; Shkolnikov V., Meslй F., Vallin J. La crise sanitaire en Russie // Population. 1995. № 4-5. P. 907-982; Милле Ф, Школьников В.М., В.Эртриш, Валлен Ж. Современные тенденции смертности по причинам смерти в России 1965-1994 // INED. Donnйes Statistiques. 1996. ? 2; Carlisle D. The Russian mortality crisis: New evidence on the role of alcohol // FSG Communication Ltd. 1997; Shkolnikov V.M. The Russian Health Crisis of 1990s in Mortality Dimensions. Harvard Center for Population and Development Studies. Working Paper Series. 1997. March; Вишневский А., Школьников В. Смертность в России: главные группы риска и приоритеты действия. Московский Центр Карнеги. Научные доклады. 1997. Вып. 19; Andreev E. The Dynamics of Mortality in the Russian Federation. Paper presented at the UN Population Division Symposium on Health and Mortality (Brussels, November 19-22, 1997). ESA/POP/1997/ SYMP.1/5.3 и др.
  24. Avdeev A., Blum A., Zakharov S. La mortalitй a-t-elle vraiment augmentй brutalement entre 1991 et 1995? // INED. Dossiers et Recherches. 1996. ? 51 (Mars); Leon D.A., Chenet L., Shkolnikov V.M., Zakharov S. et al. Huge variation in Russian mortality rates 1984-94: artefact, alcohol, or what? // The Lancet. 1997. Vol.350 (August 9). P. 383-388; Avdeev A., Blum A., Zakharov S., Andreev E. 1997.
  25. В 1981 г. ЦК КПСС и советское правительство, осознав нарастание негативных моментов в демографической сфере, приняли курс на проведение "эффективной демографической политики", которая не сводилась только к стимулированию рождаемости, как нередко считают.



ПРИЛОЖЕНИЕ

Таблица 1

Интервальная вероятность смерти у мужчин: Россия, 1959-1995 гг.

Год рождения поколений q 20-30 q 30-40 q 40-50 q 50-60 q 60-70
1900         0,32577
1901         0,32701
1902         0,32890
1903         0,33546
1904         0,33356
1905         0,34041
1906         0,33875
1907         0,34428
1908       0,15358 0,33769
1909       0,15820 0,34039
1910       0,15727 0,33537
1911       0,16797 0,34243
1912       0,15542 0,33426
1913       0,16509 0,34871
1914       0,15890 0,34063
1915       0,17222 0,36254
1916       0,17622 0,36172
1917       0,19375 0,37549
1918     0,07700 0,17800 0,34900
1919     0,08211 0,19076 0,36088
1920     0,08299 0,18961 0,34922
1921     0,08826 0,19154 0,34373
1922     0,08726 0,19032 0,34437
1923     0,08894 0,19344 0,35341
1924     0,09086 0,19781 0,36226
1925     0,09529 0,20310  
1926     0,09369 0,19252  
1927     0,09606 0,19336  
1928   0,04504 0,09808 0,19065  
1929   0,04926 0,10151 0,18991  
1930   0,04934 0,10520 0,18880  
1931   0,05520 0,11268 0,19229  
1932   0,05192 0,10747 0,18327  
1933   0,05622 0,11335 0,20057  
1934   0,05710 0,11467 0,21236  
1935   0,05546 0,10840    
1936   0,05729 0,10688    
1937   0,05465 0,09790    
1938 0,02959 0,05827 0,10017    
1939 0,03010 0,06052 0,09924    
1940 0,03302 0,06352 0,09905    
1941 0,03092 0,06018 0,09234    
1942 0,03575 0,07190 0,10703    
1943 0,03578 0,06781 0,10991    
1944 0,03362 0,06568 0,12160    
1945 0,03354 0,06331      
1946 0,02993 0,05383      
1947 0,03161 0,05289      
1948 0,03427 0,05342      
1949 0,03453 0,05083      
1950 0,03654 0,05103      
1951 0,03739 0,04966      
1952 0,03740 0,05016      
1953 0,03818 0,05477      
1954 0,03718 0,05791      
1955 0,03717        
1956 0,03541        
1957 0,03315        
1958 0,03122        
1959 0,03028        
1960 0,03009        

Таблица 2

Интервальная вероятность смерти у женщин: Россия, 1959-1995 гг.

Год рождения поколений q 20-30 q 30-40 q 40-50 q 50-60 q 60-70
1900         0,15692
1901         0,16500
1902         0,16042
1903         0,16641
1904         0,16480
1905         0,16690
1906         0,16734
1907         0,16942
1908       0,06422 0,16624
1909       0,06936 0,16961
1910       0,06459 0,16901
1911       0,07286 0,17218
1912       0,06382 0,16082
1913       0,07024 0,17688
1914       0,06335 0,16346
1915       0,07193 0,18013
1916       0,07298 0,17782
1917       0,08247 0,19099
1918     0,03296 0,07409 0,17613
1919     0,03554 0,07913 0,18403
1920     0,03466 0,07828 0,18003
1921     0,03623 0,07891 0,18248
1922     0,03301 0,07524 0,17532
1923     0,03259 0,07552 0,17849
1924     0,03256 0,07894 0,18114
1925     0,03342 0,07953  
1926     0,03307 0,07642  
1927     0,03414 0,07718  
1928   0,01622 0,0333 0,07351  
1929   0,01725 0,03496 0,07432  
1930   0,01660 0,03438 0,07172  
1931   0,01832 0,03765 0,07612  
1932   0,01626 0,03472 0,07010  
1933   0,01756 0,03748 0,07823  
1934   0,01724 0,03801 0,08256  
1935   0,01661 0,03582    
1936   0,01668 0,03476    
1937   0,01562 0,03175    
1938 0,01036 0,01605 0,03189    
1939 0,01056 0,01623 0,03148    
1940 0,01088 0,01758 0,03212    
1941 0,00974 0,01636 0,02970    
1942 0,01091 0,01967 0,03501    
1943 0,01108 0,01954 0,03657    
1944 0,01021 0,01859 0,04022    
1945 0,00985 0,01808      
1946 0,00847 0,01553      
1947 0,00869 0,01532      
1948 0,00901 0,01517      
1949 0,00875 0,01443      
1950 0,00910 0,01457      
1951 0,00911 0,01411      
1952 0,00886 0,01411      
1953 0,00880 0,01524      
1954 0,00859 0,01578      
1955 0,00868        
1956 0,00820        
1957 0,00792        
1958 0,00776        
1959 0,00773        
1960 0,00743